Articles | Volume 25, issue 19
https://doi.org/10.5194/acp-25-12657-2025
https://doi.org/10.5194/acp-25-12657-2025
Research article
 | 
10 Oct 2025
Research article |  | 10 Oct 2025

Toxic dust emission from drought-exposed lake beds – a new air pollution threat from dried lakes

Qianqian Gao, Guochao Chen, Xiaohui Lu, Jianmin Chen, Hongliang Zhang, and Xiaofei Wang
Abstract

Many lakes worldwide are shrinking rapidly due to climate change and human activities. Pollutants accumulated in dried lake bed sediments may be released into the atmosphere as dust aerosols. However, whether lake bed dust carries sufficient toxic materials and exceeds threshold atmospheric concentrations to pose a significant health risk is currently unknown. Recently, Poyang Lake and Dongting Lake, the largest lakes in east China, experienced record-breaking droughts, with 99 % and 88 % areas exposed to the air. Here, we demonstrate, through field sampling, laboratory simulations, and model validation, that lake bed dust from these lakes could contribute maximum daily PM10 concentrations up to 637.5 µg m−3. This study provides new evidence, which we show, that the dust generated from lake beds exceeded regional thresholds for short-term non-carcinogenic risk (HQ = 4.13) and Cr carcinogenic risk (2.10 × 10−6). These findings also suggest that lake bed dust could have a greater impact on human health as climate change leads to more extreme drought conditions in the future.

Share
1 Introduction

Globally, lakes possess a total volume of 181.9 × 103 km3 and a total surface area of 2.67 × 106 km2, representing 1.8 % of the Earth's terrestrial land area (Messager et al., 2016). Lakes serve as vital economic resources and are crucial for regional ecology, influencing the hydrological cycle and flood control (Williamson et al., 2009). Recently, many lakes worldwide have undergone rapid changes due to climate change and human activities (Beeton, 2002; Wurtsbaugh et al., 2017). For example, over the past 40 years, Lake Chad, once the sixth largest lake in the world and located in the central Sahel sector at the southern edge of the Sahara, has become a symbol of the current global climate change in the region, having lost over 90 % of its area due to persistent droughts (Gao et al., 2011). Agricultural water development in the Aral Sea watershed has led to a 74 % reduction in area and a 90 % decrease in volume (Micklin, 2007). Similarly, Lake Urmia, the world's second-largest hypersaline lake, plays a vital ecological and socio-economic role in northwest Iran, but has significantly shrunk by nearly 45 % in area and 85 % in volume in recent decades due to reduced inflows (Sima et al., 2021).

Exposed lake beds serve as significant sources of dust in various regions. Owens Lake in California, which had supplied drinking water to Los Angeles since 1913 and originally covered 280 km2, was completely drained by 1926 (Reheis, 1997) and has since become one of the most well-documented point sources of dust emissions in the continental US (Gill and Gillette, 1991). Likewise, the Aral Sea's surface area was reduced by 50 % between 1960 and 1992 due to water diversion for irrigation, leading to frequent dust storms from its exposed seabed (27 000 km2) (Micklin, 1988). In Australia, Lake Eyre contributes up to 3 % of the southeastern dust plume despite its considerable size (Farebrother et al., 2017). Similarly, Lake Urmia's exposed lake bed has become a new dust source, increasing aerosol optical depth, particularly in nearby regions (Hamzehpour et al., 2024; Alizade Govarchin Ghale et al., 2021). The evolution of lake beds in the Chinese Loess Plateau has contributed to enhanced soluble-salt-bearing dust (Sun et al., 2023). In northern China, dry lake beds, sandy grasslands, abandoned farmland, and mobile dunes contribute significantly to dust storms, with dry lake beds containing high levels of fine particles (Yang et al., 2008). Notably, saline dust from these dried lake beds contains high concentrations of sulfates and chlorides, leading to air pollution, soil salinization, vegetation degradation, and accelerated snow/ice melt (Liu et al., 2011). Recently, a study found that the Great Salt Lake, drying due to climate change, has exposed lake bed dust with high oxidative potential and elevated metal concentrations, compared with nearby regions (Attah et al., 2024). These exposed dry lake beds, driven by wind, have become source areas of dust emission (Tegen et al., 2002).

Poyang Lake, located in Jiangxi Province, is the largest freshwater lake in China. The watershed area of Poyang Lake covers 162 000 km2 (Shankman et al., 2006). It is seasonal, exhibiting significant fluctuations in surface area (Guo et al., 2008). From April to September each year, during the wet season, the surface area of the lake can expand to over 4000 km2. In contrast, during the relatively dry months from October to March, the lake's surface elevation drops by more than 10 m, causing the lake area to shrink dramatically to less than 1000 km2 (Zhang et al., 2021). Dongting Lake ranks as the second-largest freshwater lake in China. During the flood season, substantial amounts of water from the Yangtze River pour into the lake, causing its area, which is usually under 500 km2, to swell to 2500 km2. Conversely, in the dry season, from October to April, the lake discharges more water than it receives, leading to a drop in water level, and a significant portion of the lake area turns into dry land (Huang et al., 2012). Previous studies have shown that during extreme drought conditions, especially in 2022, the surface area of Poyang Lake and Dongting Lake drastically decreased to 322 and 311 km2, respectively, with their water levels reaching their lowest in decades (Xu et al., 2024; Xia et al., 2024; Peng et al., 2024; Xue et al., 2023; Chen et al., 2023), exposing large portions of lake bed sediment. These exposed sediments are significant because aquatic environments tend to retain contaminants in sediments over extended periods. Sediments act as reservoirs for pollutants, such as polycyclic aromatic hydrocarbons (PAHs) and other organic pollutants, which strongly adhere to sediments due to their high hydrophobicity and resistance to degradation (He et al., 2014; Warren et al., 2003). Additionally, sediments reflect the historical accumulation of heavy metals from anthropogenic sources and the burden of heavy metals in lake sediments is now increasing rather than declining (Yuan et al., 2011a). Furthermore, Poyang Lake and Dongting Lake have been reported to be contaminated by pollutants such as persistent organic pollutants (POPs) and heavy metals to a certain extent (Meng et al., 2019; Xu et al., 2018; He et al., 2018; Zhi et al., 2015; Li et al., 2013; Lu et al., 2012; Yuan et al., 2011b).

Extreme droughts in East Asia, particularly affecting Poyang Lake and Dongting Lake, have become increasingly frequent and severe, as demonstrated by the unprecedented droughts of 2022. These droughts have severely impacted local hydrology and regional climate, raising concerns about the potential release of pollutants through dust aerosol generation from exposed lake beds. Previous studies have primarily focused on salt lakes, investigating the inorganic ions and associated health risks related to heavy metals in lake bed soils and settled dust (Hosseinpoor et al., 2024; Grineski et al., 2024; Zucca et al., 2021; Ghale et al., 2021; Johnston et al., 2019). In parallel, numerous studies have found that both polycyclic aromatic hydrocarbons (PAHs) and heavy metals are commonly present in atmospheric particulate matter during dust events (Mohammad Asgari et al., 2023; Bai et al., 2023; Wang et al., 2018; Onishi et al., 2015; Li et al., 2008). For example, long-term observations at the Kanazawa University Wajima Air Monitoring Station in Japan recorded 54 Asian dust (AD) events between 2010 and 2021, where total suspended particles (TSP) increased significantly (up to 39.8 µg m−3) yet PAH concentrations (9 PAHs) remained relatively stable, ranging from 404 to 543 pg m−3 depending on transport altitude (Bai et al., 2023). Similarly, in Abadan city, PAH concentrations reached 46.2–91.0 ng m−3 under different dust conditions, with vehicular and petroleum emissions identified as the dominant sources (Mohammad Asgari et al., 2023). Studies in southern Italy reported PM10 concentrations exceeding 50 µg m−3 during African dust intrusions, with crustal metals such as Al, Fe, and Mn reaching levels of 305, 289, and 6.7 ng m−3, respectively, while trace metals like Pb, Zn, and Cd were primarily attributed to anthropogenic sources (Buccolieri et al., 2006). Additionally, during AD events in East Asia, mean Pb, Cr, Mn, and Zn concentrations were found to be 44.4 ± 23.6, 10.2 ± 3.7, 72.8 ± 32.4, and 84.0 ± 40.0 ng m−3, respectively – significantly higher than levels during non-dust periods (Onishi et al., 2015). However, there remains uncertainty about whether the lake bed dust from freshwater lakes, such as Poyang and Dongting, contains sufficient toxic materials to exceed atmospheric thresholds and pose significant health risks. While exposed lake beds are likely to be significant sources of dust aerosols, systematic studies of the health impacts of toxic substances, including PAHs and heavy metals, from freshwater lakes during extreme drought events remain sparse. To address this gap, this study utilizes field sampling, laboratory simulations, and model validation to analyze the composition of lake bed dust and its contribution to atmospheric particulate matter concentrations around these lakes. The analysis specifically focuses on the content of toxic materials (e.g., PAHs and heavy metals) and the mass concentration of lake bed dust aerosols in the air. This comprehensive approach aims to quantify the potential health risks posed by lake bed dust emissions during the extreme drought conditions experienced in 2022 and in a possible long-term scenario, providing crucial insights into the environmental and public health implications of increasing dust emissions under a changing climate.

2 Materials and methods

2.1 Sampling location

In October 2022, during an extreme drought event, a total of nine lake bed soil samples were collected from the top 5 cm of the soil profile at Poyang Lake and Dongting Lake to examine the concentrations of PAHs and heavy metals in exposed lake bed dust. The sampling sites were distributed across three types of hydrological zone: (1) areas typically not submerged throughout the year (PY-D1, PY-D2, and DT-D1); (2) transitional zones that alternate between wet and dry conditions (PY-T1, PY-T2, and DT-T1); and (3) areas usually submerged but exposed due to drought (PY-S1, PY-S2, and DT-S1). The sampling sites around Poyang Lake were all located within 1 km of the lake surface. Details of the sampling locations are provided in Table 1 and shown in Fig. 1. All collected soil samples were air-dried, sieved through a 2 mm nylon mesh to remove debris, thoroughly homogenized, and stored at 4 °C in the dark prior to analysis.

https://acp.copernicus.org/articles/25/12657/2025/acp-25-12657-2025-f01

Figure 1Sampling locations in Poyang Lake and Dongting Lake (marked as red dots). Sites PY-D1, PY-D2, and DT-D1 represent regions that are typically dry and exposed year-round. PY-T1, PY-T2, and DT-T1 are transitional zones that alternate between submerged and dry states. PY-S1, PY-S2, and DT-S1 are areas that are usually submerged but occasionally exposed due to extreme drought conditions. PY-D1, PY-T1, and PY-S1, along with PY-D2, PY-T2, and PY-S2, are located within Poyang Lake, while DT-D1, DT-T1, and DT-S1 correspond to Dongting Lake. A 2020 population density layer from WorldPop (1 km resolution) is overlaid, using a yellow-to-red color ramp to indicate increasing population density. The base map is sourced from National Geographic, Esri, Garmin, HERE, UNEP-WCMC, USGS, NASA, ESA, METI, NRCAN, GEBCO, NOAA, and increment P Corp, as provided in the ArcGIS software.

Table 1Properties of sampling soils.

Download Print Version | Download XLSX

2.2 Laboratory dust aerosol generation and particle sample collection

We employed the GAMEL laboratory dust generator, as described by Lafon et al. (2014), to generate dust aerosols from lake bed soil samples. The GAMEL generator effectively simulates the natural sandblasting process and produces dust aerosols with realistic size distributions and chemical compositions. While wind tunnels are proficient in creating realistic dust aerosol conditions, they present several challenges, including the requirement for large volumes of parent soils and the significant expense of minimizing interference from ambient aerosols (Alfaro et al., 1997; Lafon et al., 2006; Alfaro, 2008). In our experiments using the GAMEL generator, we introduced 10 g of each lake bed soil sample into a PTFE flask. The flask was then vibrated to simulate the sandblasting process and produce dust aerosols. We maintained a steady flow of particle-free air through the setup (Gao et al., 2023a; Gao et al., 2023b). The shaker was optimally set to operate at 500 cycles min−1 (Lafon et al., 2014), with an airflow rate of 8 L min−1, controlled by a mass flow controller (MFC, Sevenstar, Beijing Sevenstar Flow Co., Ltd). The aerosol stream was directed through a cyclone, with particles being captured on a 47 mm PVC film situated in a metal frame filter holder (Pall Gelman, Port Washington, NY, USA). Dust PM2.5 and dust PM10 samples were collected by using an 8 LPM cyclone or without it, respectively. The duration of the operation was set to 1 min. Table S1 in the Supplement presents PM2.5 and PM10 dust aerosol mass (g) collected from nine sites across Poyang and Dongting lakes under dry, transitional, and submerged conditions, based on three replicate measurements. The instrument setup is shown in Fig. S1 in the Supplement.

2.3 Sample extraction and PAH analysis

Approximately 0.5 g of lake bed soil samples containing generated dust PM2.5 and dust PM10 were spiked with 10 ng of hexamethylbenzene (HMB) as a recovery surrogate. These samples were then separately extracted via ultrasonication using 10 mL of dichloromethane, n-hexane, and acetone for 30 min. Following extraction, all liquids were combined and filtered through a 0.22 µm nylon membrane. The clarified extract was then concentrated to dryness using a rotary evaporator (IKA, Germany). The dry residue was reconstituted in dichloromethane and spiked with five internal standards: naphthalene-d8 (NAP-D8), acenaphthene-d10 (ANA-D10), phenanthrene-d10 (PHE-D10), chrysene-d12 (CHR-D12), and perylene-d12 (PERY-D12), each dissolved into 0.5 mL.

An analytical method for characterizing PAHs was developed utilizing a gas chromatograph-mass spectrometer (GC-MS; Thermo Fisher Trace ISQ 7900). This setup included a Thermo Fisher Trace 1300 GC equipped with a TG-5SILMS capillary column (30 m × 0.25 mm I.D., 0.25 µm film thickness). Quantification of the compounds was performed in selective ion monitoring (SIM) mode to improve sensitivity. For data processing, Chromeleon quantitative analysis software (version 7.2.9) was employed. The comprehensive procedures for the identification and quantification of PAHs are detailed in Sects. S1 and S2 in the Supplement.

2.4 Quality assurance and quality control

To mitigate potential contamination of target analytes by background levels, a procedural blank was prepared alongside each batch of samples using an identical protocol. Each batch included three replicates. If PAHs were detected in the procedural blank, the concentrations in the actual samples were adjusted by subtracting the amounts found in the blank. The recovery rates for spiked PAH components ranged from 70 % to 120 %.

2.5 Heavy metal analysis

The heavy metal content of Fe, Mg, Ti, Mn, Ba, V, Zn, Cr, Ni, Cu, As, and Pb was determined using X-ray fluorescence spectroscopy (XRF, S8 Tiger, Germany). The specific procedure involves passing the collected samples through a 200-mesh sieve, pressing them into pellets with boric acid (Analytical Reagent) as a backing material, and then gaining the elements of interest. Detailed information can be found in the study of Oyedotun (2018).

2.6 Enrichment factors

Enrichment factors (EFs) were calculated to investigate the compositional variations between parent lake bed soil and the resulting dust aerosol. EFs are characterized as the ratio of the concentration of an individual PAH and heavy metal in the lake bed soil to that in the generated dust:

(1) EF = C dust C soil ,

where Cdust is an individual PAH and the heavy metal concentration in dust PM and Csoil is the concentration of an individual PAH and heavy metal in the parent lake bed soil. EFs can indicate the redistribution of a compound from the lake bed soil to the dust aerosol. By analyzing the measured EFs along with PAH concentrations and heavy metals in lake bed soils and dust aerosol concentrations, the contribution of lake bed soil pollutants to atmospheric aerosols can be evaluated (Gao et al., 2023a, b).

2.7 The Community Multiscale Air Quality (CMAQ) model configuration and data

The CMAQ model was used to simulate the total PM concentration and the contribution of exposed lake bed dust of Poyang Lake and Dongting Lake, as well as their surrounding areas, during the extreme drought in October 2022. The modified source-oriented CMAQ model v5.0.2, incorporating an expanded Statewide Air Pollution Research Center (SAPRC-99) photochemical mechanism, was employed to simulate atmospheric PM2.5 and PM10 levels, as well as the contribution of windblown dust from the exposed lake bed to PM2.5 and PM10 concentrations. The CMAQ model was run from 26 September to 30 October 2022, with the first 3 days designated as a spin-up period to minimize the impact of initial conditions (Gao et al., 2023b; Ying et al., 2018).

Nested domains of 36 and 12 km resolution were established in central China, including the Dongting and Poyang lakes, as shown in Fig. S2. The 36 km domain (127 × 197 grids) covers China and surrounding countries, while the 12 km domain (118 × 118 grids) covers central China. Anthropogenic emissions are based on the Multi-resolution Emission Inventory for China (MEIC, v1.4, 0.25° × 0.25°, http://www.meicmodel.org, last access: 26 July 2024). Biogenic emissions were generated using the Model of Emissions of Gases and Aerosols from Nature (MEGAN) v2.1 (Guenther et al., 2012). Meteorological inputs were calculated using the Weather Research and Forecasting (WRF) model version 4.1.2, driven by FNL (Final) Operational Global Analysis data from the National Center for Environmental Prediction (NCEP) (https://rda.ucar.edu/datasets/ds083.2, last access: 26 July 2024). Additionally, aerosol optical depth (AOD) at 550 nm, derived from the Modern Era Retrospective-analysis for Research and Application version 2 (MERRA-2) reanalysis dataset, was employed to further assess the simulations (Gelaro et al., 2017).

For model validation, meteorological observations from the National Climate Data Center (NCDC; https://www.ncdc.noaa.gov/, last access: 26 July 2024) were used to validate the simulated WRF output. Hourly observations of air pollutants (PM2.5 and PM10) were collected from the China National Environmental Monitoring Centre (CNEMC; http://www.cnemc.cn/, last access: 26 July 2024) to assess the CMAQ simulation results. All statistics equations related to the model validation are shown in Sect. S3 in the Supplement.

2.8 Model scenario setting

We simulated two scenarios based on different land use types to identify the effects of the exposed lake beds on dust PM due to extreme drought in 2022 (Table S2). CASE_unexposed represents an ordinary scenario without considering lake drying. It is driven by land use data from Moderate Resolution Imaging Spectroradiometer (MODIS) Land Cover Type product (MCD12Q1) (Sulla-Menashe and Friedl, 2018), which provides stable lake areas and represents the typical annual condition of the lake. CASE_exposed represents a real scenario considering the exposed lake beds caused by the extreme drought, driven by modified MODIS land use data. In our study, Sentinel-2A Multispectral Instrument data were used to adjust the land use type. The differences between the two cases were regarded as the contribution of exposed lake bed dust. We performed a median synthesis of the inversion results for the green band (B3) and near-infrared band (B8) of the Sentinel-2 satellite from September to November, marking grid cells with an NDWI value greater than 0 as water bodies (McFeeters, 1996):

(2) NDWI = Green + NIR Green - NIR ,

where Green is a band that encompasses reflected green light and NIR represents reflected near-infrared radiation. By comparing the water bodies detected by Sentinel-2 and MODIS, we modified grid cells detected by MODIS as lakes but grid cells detected by Sentinel-2 as non-water bodies to identify exposed areas of lakes due to extreme drought as dust sources. Other areas remained unchanged as the MODIS land use type (Fig. S2).

2.9 PAH and heavy metal toxic equivalency in lake bed dust PM

The benzo(a)pyrene toxic equivalency factors (TEFs) for individual species obtained by Delistraty (1997) and Nisbet and Lagoy (1992) are provided in Table S3. The toxic equivalent concentration of PAHs (CBaPeq) is calculated as (Wu et al., 2022)

(3) C BaP eq = Σ C i × TEF i ,

where Ci represents the concentration of individual PAH species (ng g−1) and TEFi is the benzo(a)pyrene toxic equivalency factor for each PAH species. BaPeq indicates the toxic equivalent concentration of PAHs (ng g−1). The BaP-equivalent concentrations were calculated by multiplying each individual PAH concentration by its respective TEF.

The Cr toxic equivalency factors (TEFs) for every heavy metal obtained by the US EPA are provided in Table S4. The toxic equivalent concentration of heavy metals (CCreq) is calculated as (Wu et al., 2022)

(4) C Cr eq = Σ C i × TEF i .

2.10 Health risk assessment of modeling transport of lake bed dust aerosol

The non-carcinogenic and carcinogenic risks of PAHs and heavy metals in the modeled transport of lake bed dust (PM10) for residents in the vicinity of lakes and surrounding cities were assessed through inhalation exposure. We derived estimates of short-term non-carcinogenic hazard for dust PM as (U.S. EPA, 1989)

(5) HQ ST = EC ST AV ,

where HQST represents the short-term hazard quotient (HQ) for an individual contaminant, ECST is the exposure concentration, equivalent to the contaminant concentration for short-term exposures (EPA, 2004), and AV is the corresponding acute dose-response value for that contaminant (from Cal EPA OEHHA; Office of Environmental Health Hazard Assessment (OEHHA), 2023). In this study, we assumed the maximum daily concentration of each contaminant as its short-term exposure concentration. A non-carcinogenic risk is indicated when HQ values exceed 1. It is acceptable to combine the individual HQs to calculate a multi-pollutant hazard index (HI), as

(6) HI ST = i HQ ST i ,

where HIST is the short-term hazard index and HQSTi is the short-term hazard quotient for the ith contaminant.

Similar hazard indices of non-carcinogenic risk are used. The exposure concentration for chronic exposures (ECC) was calculated as (Ren et al., 2021a; EPA, 2004; U.S. EPA, 1989)

(7) EC C = C × ET × EF × ED AT ,

where C is the concentration of individual contaminant concentration, ET is the exposure time, EF is the exposure frequency, ED is the exposure duration, and AT is the averaging time (for non-carcinogens, AT = ED × 365 d; for carcinogens, AT = 70 × 365 = 25 500 d). Specifically, given that chronic non-carcinogenic and carcinogenic risks generally require extended assessment over a typical 70-year period, we set parameters to estimate human exposure to lake bed dust. Based on guidelines from the Beijing Municipal Bureau (China) and supporting literature, resident outdoor exposure time was set as 8 h d−1 over a 30-year period (Ren et al., 2021a; Beijing Municipal Environmental Protection Bureau, 2009). Drought in Poyang Lake at Xingzi Station was identified below 7 m, representing an area of 600 km2 (4 % of the lake's total area) (Fig. S3a). Over a 15-year period (2000–2014), the average drought duration was estimated at 80 d yr−1 (Table S5) (Qi et al., 2019). For Dongting Lake, the drought threshold was set at 700 km2 (28 % of the lake's area) (Fig. S3b), with an average drought duration of 140 d yr−1 observed over a 10-year period (2000–2009) (Fig. S4) (Huang et al., 2012). Detailed parameter information can be found in Sect. S4 in the Supplement.

The chronic non-carcinogenic hazard for dust PM was calculated as

(8) HQ C = EC C RfC ,

where HQC is the chronic HQ for an individual contaminant, and RfC is the inhalation reference concentration for that contaminant (Ren et al., 2021a; U.S. EPA, 2015). There is a probability of non-carcinogenic risk with HQ values above 1. The chronic hazard index (HIC) was calculated as

(9) HI C = i HQ C i .

The carcinogenic risk (CR) of each contaminant is calculated as (Ren et al., 2021a; U.S. EPA, 1989)

(10) CR = EC C × IUR ,

where IUR is the inhalation unit risk for each contaminant. For regulatory purpose, a CR value lower than 10−6 is taken to be negligible, while a value above 10−4 is not accepted by most international regulatory agencies (Gao et al., 2023b; Ren et al., 2021a). Of relevance to this study, the World Health Organization (WHO) has provided a IURBaP estimate of 8.7×10-5 (ng m−3)−1, derived from epidemiological studies on coke-oven workers (World Health Organization (WHO), 2000). The inhalation unit risks of the selected metals for carcinogenic risk are 8.4 × 10−2, 2.4 × 10−4, 4.3 × 10−3, 9.0 × 10−3, 1.8 × 10−3, and 8 × 10−5 (µg m−3)−1 for Cr, Ni, As, Co, Cd, and Pb, respectively (Ren et al., 2021a). Detailed information can be found in Table S6.

3 Results and discussion

To evaluate the health effects of lake bed dust generated from Poyang Lake and Dongting Lake, three critical factors need to be studied: (1) the content of toxic materials, including PAHs and heavy metals, in the lake bed dust aerosols; (2) the mass concentration of lake bed dust aerosols in the air surrounding the two lakes; and (3) the duration of human exposure to air containing lake bed dust. We will analyze these factors in the following section.

3.1 PAH contents in the lake bed dust aerosols

As described in Sect. 2, dust aerosols were generated using the GAMEL system, which simulates natural sandblasting and yields realistic particle sizes and compositions. The distribution of concentrations of PAHs in lake bed soil, dust PM10, and dust PM2.5 samples from Poyang Lake and Dongting Lake are shown in Fig. 2. In Poyang Lake, the mean concentration of Σ16 PAHs was in the range 122.7–2015.3, 1331.8–3385.4, and 1780.3–6683.9 ng g−1 in lake bed soil, dust PM10, and dust PM2.5, respectively (Fig. 2a and b). In Dongting Lake, the PAH concentration was 1039.7–3357.9, 5380.6–19748.5, and 8416.5–48473.0 ng g−1 in lake bed soil, dust PM10, and dust PM2.5, respectively (Fig. 2c) (Gao et al., 2025). Among the compounds, naphthalene (NAP), fluorene (FLU), and phenanthrene (PHE) dominated across most samples, while BaP, a carcinogenic PAH, was also consistently present. Compared with Poyang Lake sites (Fig. 2d and e), Dongting Lake samples (Fig. 2f) showed higher overall PAH levels and a greater proportion of high-molecular-weight species, particularly in fine particles. It was found that the PAH concentrations in the dry lake bed soils of Poyang Lake and Dongting Lake (PY-D1, PY-D2, and DT-D1) are generally consistent with those reported for other studies (Zhang et al., 2021; Meng et al., 2019). Higher concentrations were generally observed in Dongting samples, and lower concentrations in Poyang samples. This discrepancy may be due to the locations of the sampling points. The samples from Poyang Lake were collected from a nature reserve area, whereas the samples from Dongting Lake were collected from areas near human activity (0.25 km from a kindergarten and a judicial office).

According to the precise locations of the sampling sites in Poyang and Dongting lakes, generally, among all sampling locations, the highest concentrations of PAHs were found in sites PY-T1, PY-T2, and DT-T1, followed by sites PY-S1, PY-S2, and DT-S1, with the lowest concentrations in sites PY-D1, PY-D2, and DT-D1, indicating that areas along the lake, situated between the water and dry land, are more likely to absorb pollutants and become sinks for PAHs (Figs. 2 and S5). Lakeside areas are indeed prone to accumulating pollutants due to a combination of runoff, sedimentation, human activities, and hydrological changes (Zhang et al., 2010; O'Sullivan and Reynolds, 2004). Fluctuations in water levels caused by weather, such as droughts or seasonal variations, can expose previously submerged sediments and release accumulated pollutants back into the environment via dust production.

Additionally, we observed that PAH emissions from the lake bed demonstrate enrichment effects. Enrichment factors (EFs) are calculated as the ratio of each toxic substance's concentration in lake bed soil to that in the generated dust aerosol, providing a basis for analyzing compositional shifts between the original lake bed soil and the dust aerosol. It is demonstrated that PAHs are highly enriched in fine dust aerosols (PM2.5). Specifically, their absolute concentrations are significantly higher in fine dust particles, compared with the parent lake bed soil (Figs. 2 and S5). The total EFs ranged from 60.4 to 818.7 in dust PM10 and from 164.5 to 1122.4 in dust PM2.5 (Fig. S6). Moreover, the EFs of total PAHs in dust PM2.5 were higher than those in dust PM10, especially NAP, acenaphthylene (ANY), and FLU, showing consistently higher EFs in dust PM2.5 across most sites (Fig. S7), indicating that PAHs are likely to be enriched in finer particles during dust aerosol generation. This finding is consistent with results from previous studies, showing that PAHs are mostly enriched in fine inhalable particles, with a high concentration in atmospheric particles (Gao et al., 2023a; Van Vaeck and Van Cauwenberghe, 1978).

https://acp.copernicus.org/articles/25/12657/2025/acp-25-12657-2025-f02

Figure 2Concentrations and compositional profiles of PAHs in parent lake bed soils and associated dust aerosols from Poyang Lake (PY) and Dongting Lake (DT). (a)(c) Total PAH concentrations (ng g−1) in soils, dust PM10, and dust PM2.5 samples across different hydrological zones: dry (D), transitional (T), and submerged (S) for Poyang Lake (PY-D1, PY-T1, PY-S1; PY-D2, PY-T2, PY-S2) and Dongting Lake (DT-D1, DT-T1, DT-S1). (d)(f) Compositional distribution of 16 priority PAHs in soil and dust aerosol samples from the same zones.

Download

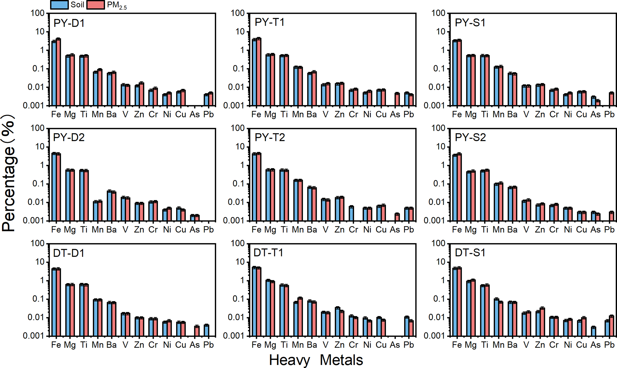
3.2 Heavy metal contents in the lake bed dust

Apart from PAHs, heavy metals were analyzed by XRF to examine their spatial distribution during climate changes. Figures 3 and S8 illustrate the comparative concentration of heavy metals in lake bed soil and dust PM2.5 samples across different sampling sites. In Poyang Lake, Cr (ranging from 0.006 % to 0.0109 %), Ni (ranging from 0.004 % to 0.005 %), Cu (ranging from 0.003 % to 0.0071 %), Zn (ranging from 0.0074 % to 0.0184 %), As (ranging from 0 % to 0.003 %), and Pb (ranging from 0.004 % to 0.005 %) were detected (Gao et al., 2025). Xie et al. (2016) reported that mean concentrations of Cr, Ni, Cu, Zn, As, and Pb in Poyang Lake are 81.39, 30.47, 35.17, 104.17, 11.34, and 32.63 mg kg−1, respectively, which are consistent with our findings but significantly higher than those in natural dust source regions, where Cr, Ni, Cu, Zn, As, and Pb concentrations are from 13.4 to 51.2, 5.5 to 26.5, 5.1 to 27.0, 17.8 to 72.2, 2.6 to 11.6, and 4.9 to 41.1 mg kg−1, respectively (Gao et al., 2023b).

Furthermore, the levels of Fe, Mg, Ti, Mn, Ba, V, Zn, Cr, Ni, Cu, As, and Pb in dust PM2.5 are higher than in the lake bed soil during the process of dust generation. Notably, Cr levels from PY-T2 were 0.0194 % and 0.0184 % in dust PM2.5 and lake bed soil, respectively. Most dust PM2.5 probably originates from small colloids in the lake bed soil. These lake bed soil colloids typically carry large amounts of negative charge, aiding in the adsorption of many cations, including various heavy metal ions (Brady et al., 2008; Gao et al., 2023b). Consequently, heavy metals are enriched in small soil aggregates. During the sandblasting process, the smaller soil grains, which have higher heavy metal concentrations, are more likely to be ejected and form dust aerosols.

Similar to the spatial distribution of individual PAHs in the lake regions under drought conditions, heavy metals also exhibit their highest concentrations along the lakeshore, as shown in Figs. 3 and S8. Therefore, under some climate change conditions, extensive droughts expose lake beds (Attah et al., 2024; Sun et al., 2023; Gao et al., 2011), resulting in the release of accumulated heavy metals from lakeshore areas into the environment, thereby posing risks to regional ecosystems and human health.

https://acp.copernicus.org/articles/25/12657/2025/acp-25-12657-2025-f03

Figure 3Comparison of heavy metal percentage between lake bed soil and generative dust PM2.5. PY-D1, PY-T1, PY-S1, PY-D2, PY-T2, and PY-S2 were obtained in Poyang Lake, and DT-D1, DT-T1, and DT-S1 were obtained in Dongting Lake. PY-D1, PY-D2, and DT-D1 are in regions that are typically dry and exposed year-round. PY-T1, PY-T2, and DT-T1 are in transitional zones that fluctuate between submerged and dry states. PY-S1, PY-S2, and DT-S1 are in areas that are usually underwater but sometimes exposed due to extreme drought.

Download

3.3 Mass concentration of lake bed dust aerosols in the surrounding lake area

With the chemical compositions and concentrations of lake bed dust aerosols identified, the next step was to estimate the particulate matter (PM) contribution from exposed lake bed dust and calculate the PAH and heavy metal concentrations in the atmosphere around Poyang and Dongting lakes based on dust composition profiles. Therefore, we modeled the mass concentration from exposed lake bed dust in Poyang Lake and Dongting Lake and their surrounding area during the extreme drought in October 2022 and validated the results using the observation data of local meteorology and air pollution.

To obtain the mass concentration of lake bed dust aerosols in the surrounding lake area, we designed two scenarios: CASE_unexposed excluded the lake bed dust exposure due to extreme drought, while CASE_exposed included it (Table S2). The differences between the two cases were considered to be the contribution of exposed lake bed dust. The validation results showed that CASE_exposed outperformed CASE_unexposed in terms of PM concentration after accounting for lake bed dust, particularly for PM10 (Tables S7 and S8). For example, the model's mean fractional bias (MFB) and mean fractional error (MFE) for Nanchang of Jiangxi Province in China, a city near Poyang Lake, decreased from 40  % and 56 % in CASE_unexposed to 1 % and 39 % in CASE_exposed, respectively (Fig. S9). This indicates that the prediction met model performance goals (MFB±30 % and MFE≤50 %) after considering lake bed dust (Boylan and Russell, 2006), indicating its non-negligible impact in areas near the lakes. Additionally, we also compared the modeled AOD with the MERRA-2 dataset. The comparison indicated that although discrepancies exist between the simulation and reanalysis results, the overall spatiotemporal distributions were consistent, capturing the relatively high values over the two lake regions (Figs. S10 and S11). Given the uncertainties in both satellite retrievals and model simulations, satisfactory performance in mass concentration validation, and the similar performance between our results and previous studies (Kong et al., 2022; Liu et al., 2021), we consider that the simulation results remain acceptable for this analysis.

The modeling results show that the monthly average PM10 concentrations of lake bed dust were 10.2 and 34.5 µg m−3 in Dongting and Poyang lakes, respectively, while the maximum daily levels could reach 119.9 and 420.1 µg m−3 during the whole of October in 2022 (Fig. 4a and b). Considering transport effects, the maximum daily concentrations of lake bed dust PM10 could reach 17.8–302.3 and 12.2–637.5 µg m−3 within 20 km of Dongting and Poyang lakes, respectively. Furthermore, due to the influences of northeasterly winds, the impact of lake bed dust extended over 60 km, causing maximum daily concentrations exceeding 150 µg m−3 in areas to the south of Dongting Lake and central Jiangxi Province.

We estimated the spatial distribution of PAHs and heavy metals using modeled PM concentrations based on the aforementioned dust composition profiles (Figs. 4c–f and S12–S14). Due to differences in composition, Dongting Lake dust has a higher fraction of PAHs and heavy metals than Poyang Lake dust for an equivalent mass of lake bed dust (Figs. S5 and S8). As a result, although Poyang Lake had a higher lake bed dust concentration, PAH and heavy metal concentrations from lake bed dust displayed distributions around both lakes. For example, in Dongting and Poyang lakes, the monthly average BaP concentrations in Dongting and Poyang lakes were 0.010 and 0.014 ng m−3, respectively, with maximum daily concentrations reaching 0.122 and 0.167 ng m−3. For Cr, the monthly average concentrations were 0.001 and 0.003 µg m−3 in Dongting and Poyang lakes, while the maximum daily concentrations reached 0.013 and 0.031 µg m−3, respectively.

This study shows that the dry lake beds of Dongting and Poyang lakes can emit dust with pollutant levels comparable to or even higher than those from major dust events. Modeled monthly PM10 concentrations reached 10.2 and 34.5 µg m−3, with daily peaks up to 119.9 and 420.1 µg m−3 – exceeding many reported values for Asian and African dust. While BaP concentrations from lake bed dust (0.010–0.014 ng m−3) approached those observed during Asian dust events at background sites in Japan (0.133 ± 0.093 ng m−3; Bai et al., 2023), heavy metals such as Cr reached 13–31 ng m−3 daily, comparable to or higher than Asian dust levels (e.g., 10.2 ± 3.7 ng m−3; Onishi et al., 2015). These findings suggest that drought-exposed lake beds are emerging dust sources with significant implications for air quality and health.

https://acp.copernicus.org/articles/25/12657/2025/acp-25-12657-2025-f04

Figure 4Spatial distribution of predicted monthly average and maximum daily concentrations of lake bed dust PM10, along with its BaP and Cr concentrations. The left panels display the monthly average concentrations of (a) lake bed dust PM10, (c) BaP in lake bed dust PM10, and (e) Cr in lake bed dust PM10. The right panels present the maximum daily concentrations of (b) lake bed dust PM10, (d) BaP in lake bed dust PM10, and (f) Cr in lake bed dust PM10. The monthly average wind is overlaid in (a).

3.4 Assessing health risks from toxic substances of lake bed dust emissions

To assess whether the lake bed dust aerosols pose a significant health risk to people living in the lake shore areas, we analyze their toxicities, which are expressed using BaPeq (benzo(a)pyrene equivalents) for PAHs (Table S3) and Creq (Cr equivalents) for heavy metals (Table S4), normalizing their toxic potential (Delistraty, 1997; Nisbet and Lagoy, 1992; EPA). This approach enables standardized comparisons of different compounds' toxicities under the same aerosol mass, helping evaluate their relative contributions to overall toxicity, as PAHs and heavy metals carry distinct health risks.

To provide a clearer comparison of BaPeq and Creq concentrations in dust aerosols and lake bed soils from Poyang and Dongting lakes, Figs. 5 and 6 present the BaPeq concentrations of the total 16 PAHs and Creq concentrations for heavy metals (ng g−1) in lake bed dust aerosols. The geographical distributions of BaPeq concentrations in lake bed soil, dust PM2.5, and dust PM10 are shown in Fig. 5. Overall, the BaPeq concentrations in Dongting Lake regions (DT-D1, DT-T1, and DT-S1) were higher than those in the Poyang Lake regions (PY-D1, PY-T1, PY-S1, PY-D2, PY-T2, and PY-S2). Interestingly, in the Poyang Lake region, BaPeq per unit mass of dust PM2.5 emitted from PY-S1 was the highest (1470.1 ± 115.3 ng g−1), compared with PY-D1 (296.0 ± 131.9 ng g−1) and PY-T1 (865.3 ± 450.0 ng g−1). Additionally, PY-D2, PY-T2, and PY-S2 showed a similar pattern, with the highest BaPeq concentrations in PY-S2 (1575.6 ± 1058.9 ng g−1). Furthermore, compared with the study of Wu et al. (2022), the BaPeq per unit mass of dust PM2.5 from PY-S1, PY-S2, DT-D1, and DT-T1 was higher than those from coal-fired power plants (CFPPs) (1410 ± 880 ng g−1). The distribution of Creq emissions from the two lake regions is displayed in Fig. 6. Compared with the results of Wu et al. (2022), Creq concentrations emitted from dust PM2.5 were generally 2–3 times higher than Creq concentrations from household coal burning (Wu et al., 2022).

https://acp.copernicus.org/articles/25/12657/2025/acp-25-12657-2025-f05

Figure 5Comparison of BaP-equivalent concentrations of PAHs (BaPeq) in soil, dust PM10, and dust PM2.5 samples at nine sampling sites in Poyang Lake (PY-D1, PY-T1, PY-S1, PY-D2, PY-T2, PY-S2) and Dongting Lake (DT-D1, DT-T1, DT-S1). The stacked bars show the contributions of individual PAH compounds to the total BaPeq at each site. BaPeq was calculated using toxic equivalency factors (TEFs) obtained from the US EPA.

Download

https://acp.copernicus.org/articles/25/12657/2025/acp-25-12657-2025-f06

Figure 6Comparison of Creq (%) values of four toxic metals (Pb, As, Ni, and Cr) in natural soil and dust PM10 samples at nine sampling sites in Poyang Lake (PY-D1, PY-T1, PY-S1, PY-D2, PY-T2, PY-S2) and Dongting Lake (DT-D1, DT-T1, DT-S1). Creq values were calculated based on toxic equivalent factors (TEFs) and the stacked bars represent the relative contribution of each metal to the total Creq.

Download

https://acp.copernicus.org/articles/25/12657/2025/acp-25-12657-2025-f07

Figure 7Comparison of short-term and long-term non-carcinogenic risks, along with long-term carcinogenic risks associated with BaPeq and Cr, derived from modeled atmospheric PAHs and heavy metals in the vicinity of Poyang Lake, Dongting Lake, and surrounding cities, based on the dust PM10 profile. (a) Short-term non-carcinogenic risk (nc: non-carcinogenic risk). (b) Chronic non-carcinogenic risk. (c) Chronic carcinogenic risk of BaPeq. (d) Chronic carcinogenic risk of Cr (ca: carcinogenic risk). An HQ of 1 denotes the threshold for non-carcinogenic risk, suggesting potential health effects if exceeded; individual HQs can be combined to calculate a cumulative HI for multiple pollutants. Similarly, a CR of 1 × 10−6 denotes the carcinogenic risk threshold, beyond which chronic exposure may elevate the risk of cancer.

To assess the inhalation risks posed by the transmission of lake bed dust emissions, we utilized the modeled lake bed dust PM10 and the PAH and heavy metal content modeling results described previously. Figure 7 presents the non-carcinogenic and carcinogenic health risks associated with atmospheric PAHs and heavy metals in the vicinity of the lakes and several cities in Jiangxi and Hunan provinces. It is important to note that we assumed the maximum daily concentration of each contaminant as its short-term exposure concentration for the non-carcinogenic risk assessment, since chronic carcinogenic risks typically necessitate long-term evaluation, often assessed over a 70-year period. To estimate the duration of human exposure to air containing lake bed dust, we established health risk assessment parameters based on reports from the Beijing Municipal Bureau (China) and relevant literature. Outdoor exposure hours and exposure duration for residents were set to 8 h d−1 and 30 years, respectively (Ren et al., 2021a; Beijing Municipal Environmental Protection Bureau, 2009). Drought in Poyang Lake is defined as the water level at Xingzi Station being lower than 7 m, corresponding to the lake surface area shrinking to 600 km2 or 4 % of the whole of Poyang Lake's area (Table S5 and Fig. S3a). The average drought duration over a 15-year period (2000–2014) was 80 d yr−1 (Qi et al., 2019). Similarly, for Dongting Lake, where the drought threshold is 700 km2 (28 % of Dongting's surface area) (Fig. S3b), the average drought duration over a 10-year period (2000–2009) was determined to be 140 d yr−1 (Fig. S4) (Huang et al., 2012), as outlined in Table S6. Additionally, considering that atmospheric Cr (VI) and Cr (III) are typically present in a 1:6 ratio (Liu et al., 2018), Cr (VI) content was estimated as 1/7 of total Cr for evaluating chronic non-carcinogenic and carcinogenic risks, while Cr (III) content was estimated as 6/7 of total Cr to assess short-term non-carcinogenic risks. A hazard quotient (HQ) above 1 is defined as the threshold for non-carcinogenic risk and individual HQs can be combined to calculate a cumulative hazard index (HI) for multiple pollutants (Ren et al., 2021b). For non-carcinogenic risk assessment, short-term exposure is assessed using the maximum daily concentrations of pollutants (As, Cr, Cu, Mn, Ni, and V) from the modeled transport data (Fig. 7a), while chronic exposure is evaluated using the concentrations of pollutants (As, Ba, BaPeq, Cr, Mn, Ni, and V) derived from the modeled monthly average transport (Fig. 7b). In the areas around the lakes, short-term health risks, mainly driven by manganese (Mn) exposure, exceed the acceptable threshold, with HQ values of 1.67 near Dongting Lake and 4.13 near Poyang Lake. Additionally, the HI near Dongting Lake and Poyang Lake reached 2.55 and 5.69, respectively, while the average HI across Nanchang, a city near Poyang Lake, was also elevated at 1.65. By contrast, the calculated chronic risks remain below the EPA threshold (EPA, 1989).

Moreover, we estimated the carcinogenic risk of BaPeq and Cr in PM10 during lake bed dust aerosol transport (Fig. 7c and d). The results show that the chronic carcinogenic risk associated with Cr for the areas surrounding the lakes exceeds the acceptable threshold, with the highest values simulated at approximately 2.10 × 10−6 near Dongting Lake (28.896° N, 112.607° E) and 2.00 × 10−6 near Poyang Lake (29.256° N, 115.906° E), exceeding threshold limits (10−6). However, all estimated carcinogenic risks of BaPeq, with the highest value found in lake surroundings (1.02 × 10−7), remain below the established EPA threshold limits (U.S. Environmental Protection Agency (EPA), Office of Emergency and Remedial Response, 1989). These findings underscore the importance of addressing the health risks posed by dust aerosols originating from lake bed sources.

4 Environmental implications and conclusions

Many of the world's lakes are shrinking at alarming rates due to the combined impacts of climate change and human activities, leading to widespread exposure of lake beds as a significant dust source. In this study, we have used field sampling, laboratory simulations, and CMAQ modeling to demonstrate that the exposed lake beds during extreme drought conditions can become a significant source of dust aerosols, with pollutants deposited in the lake bed re-entering the atmospheric cycle for Poyang and Dongting lakes, two of the arguably most important lakes in China.

Wind erosion produces dust aerosols by driving lake bed soil movements, such as creeping, saltation, and suspension. Laboratory simulations confirm that fine dust particles become enriched in pollutants. Additionally, the concentrations of pollutants are significantly elevated at the lakeshore and within the lake, compared with the areas outside the lake. Hence, PAHs and heavy metals accumulated in the lakeshore and submerged regions of Poyang and Dongting lakes are likely to be reintroduced into the atmosphere through wind-driven sandblasting processes.

The CMAQ simulations, when compared with meteorological and air quality observations, demonstrated that incorporating lake bed dust emissions significantly improved the alignment between observed and simulated results, particularly in predicting elevated PM10 levels (Fig. S9). However, uncertainties still exist in the simulated concentrations due to limitations in model inputs (e.g., satellite-derived land use data, meteorological fields from WRF simulations, and emission inventories), model parameterizations, and observational biases. These findings highlight that exposed lake beds are substantial sources of dust aerosols, capable of reintroducing accumulated contaminants into the atmosphere and posing regional health risks. In this study, we quantified the health risks of the 16 priority PAHs and heavy metals identified by the EPA from lake bed dust. If emissions from other sources are considered, the inhalation risk from PAH transmission would exceed the threshold. Additionally, other persistent organic pollutants, such as halogenated compounds, were also detected in the lake bed sediments, though their health risks were not quantified in this analysis. This is particularly relevant for lake regions with high pollutant concentrations, especially in areas like northeast China, which have historically experienced heavy industrial activity.

East Asia is one of the largest sources of dust aerosols globally (Song et al., 2019). These Asian dust aerosols travel over long distances and can be transported to regions such as eastern China, South Korea, Japan, and even across the Pacific Ocean to North America (Keyte et al., 2013; Ren et al., 2019). During the sampling period, dust events occurred in the regions of Poyang Lake and Dongting Lake. In conjunction with the CMAQ model and considering future global warming trends (Wang et al., 2017), we utilized the 2022 drought period in Poyang and Dongting lakes as a baseline, along with predictive models, to evaluate the acute and long-term health risks associated with lake bed dust aerosol transport to surrounding areas. Notably, as carcinogenic risk is typically assessed over a 70-year period, we adjusted the exposure duration to 30 years, based on the duration of the 2022 drought and the projected drought scenarios in this study. It is important to mention that the short-term non-carcinogenic risk associated with Mn exposure in the regions surrounding Dongting and Poyang lakes exceeds acceptable thresholds, while Cr presents a chronic carcinogenic risk, with concentrations surpassing permissible limits in certain areas. These insights are crucial for understanding a new source of air pollution. As climate change intensifies extreme drought conditions, lake bed dust events in East Asia may become more frequent, worsening pollution problems.

It is worth noting that extreme weather events leading to the drying of lakes on a global scale can result in significant emissions of lake bed dust aerosol, thereby increasing dust loads and atmospheric pollution at regional and global levels. This rise in dust emissions and associated pollutants in the atmospheric circulation requires further investigation to better understand its impact on air quality and climate systems.

Data availability

All data supporting this study and its findings are available in an online data repository at https://doi.org/10.17632/vg8gtxs9nk.1 (Gao et al., 2025).

Supplement

The supplement related to this article is available online at https://doi.org/10.5194/acp-25-12657-2025-supplement.

Author contributions

XW and HZ conceptualized the work and designed the experiments. QG led the experimental work of PAH and heavy metal measurement. HZ and GC led the air quality modeling work. XL helped in experimental work. QG and GC performed the analyses and wrote the manuscript. JC helped in writing. All authors contributed to the paper's writing.

Competing interests

The contact author has declared that none of the authors has any competing interests.

Disclaimer

Publisher’s note: Copernicus Publications remains neutral with regard to jurisdictional claims made in the text, published maps, institutional affiliations, or any other geographical representation in this paper. While Copernicus Publications makes every effort to include appropriate place names, the final responsibility lies with the authors.

Acknowledgements

We thank Zheng Tong for helping with instrument operations.

Financial support

We acknowledge the financial support of the National Key R&D Program (grant nos. 2022YFC3702600 and 2022YFC3702601), the National Natural Science Foundation of China (grant nos. 42377090 and 42077193), the Shanghai Natural Science Foundation (grant no. 23ZR1479700), and the Guangdong Provincial Observation and Research Station for Coastal Atmosphere and Climate of the Great Bay Area (grant no. 2021B1212050024).

Review statement

This paper was edited by Yves Balkanski and reviewed by two anonymous referees.

References

Alfaro, S. C.: Influence of soil texture on the binding energies of fine mineral dust particles potentially released by wind erosion, Geomorphology, 93, 157–167, https://doi.org/10.1016/j.geomorph.2007.02.012, 2008. 

Alfaro, S. C., Gaudichet, A., Gomes, L., and Maille, M.: Modeling the size distribution of a soil aerosol produced by sandblasting, J. Geophys. Res.-Atmo., 102, 11239–11249, https://doi.org/10.1029/97jd00403, 1997. 

Alizade Govarchin Ghale, Y., Tayanc, M., and Unal, A.: Dried bottom of Urmia Lake as a new source of dust in the northwestern Iran: Understanding the impacts on local and regional air quality, Atmos. Environ., 262, 118635, https://doi.org/10.1016/j.atmosenv.2021.118635, 2021. 

Attah, R., Kaur, K., Perry, K. D., Fernandez, D. P., and Kelly, K. E.: Assessing the oxidative potential of dust from great salt Lake, Atmos. Environ., 336, 120728, https://doi.org/10.1016/j.atmosenv.2024.120728, 2024. 

Bai, P., Wang, Y., Zhang, H., Zhang, X., Zhang, L., Matsuki, A., Nagao, S., Chen, B., and Tang, N.: Characteristic variation of particulate matter-bound polycyclic aromatic hydrocarbons (PAHs) during Asian dust events, based on observations at a Japanese background site, Wajima, from 2010 to 2021, Atmosphere, 14, 1519, https://doi.org/10.3390/atmos14101519, 2023. 

Beeton, A. M.: Large freshwater lakes: present state, trends, and future, Environ. Conserv., 29, 21–38, https://doi.org/10.1017/S0376892902000036, 2002. 

Boylan, J. W. and Russell, A. G.: PM and light extinction model performance metrics, goals, and criteria for three-dimensional air quality models, Atmos. Environ., 40, 4946–4959, https://doi.org/10.1016/j.atmosenv.2005.09.087, 2006. 

Brady, N. C., Weil, R. R., and Weil, R. R.: The nature and properties of soils, Prentice Hall Upper Saddle River, NJ, ISBN 978-0-13-227939-0, 2008. 

Buccolieri, A., Buccolieri, G., Dell'Atti, A., Perrone, M. R., and Turnone, A.: Natural sources and heavy metals, Anna. Chim., 96, 167–181, 2006. 

Beijing Municipal Environmental Protection Bureau: Environmental Site Assessment Guideline (DB11/T 656–2009), Beijing Local Standard, Beijing, China, 2009. 

Chen, J., Li, Y., Shu, L., Fang, S., Yao, J., Cao, S., Zeng, B., and Yang, M.: The influence of the 2022 extreme drought on groundwater hydrodynamics in the floodplain wetland of Poyang Lake using a modeling assessment, J. Hydrol., 626, 130194, https://doi.org/10.1016/j.jhydrol.2023.130194, 2023. 

Delistraty, D.: Toxic equivalency factor approach for risk assessment of polycyclic aromatic hydrocarbons, Toxicol. Environ. Chem., 64, 81–108, 1997. 

Farebrother, W., Hesse, P. P., Chang, H. C., and Jones, C.: Dry lake beds as sources of dust in Australia during the Late Quaternary: A volumetric approach based on lake bed and deflated dune volumes, Quaternary Sci. Rev., 161, 81–98, https://doi.org/10.1016/j.quascirev.2017.02.019, 2017. 

Gao, H., Bohn, T. J., Podest, E., McDonald, K. C., and Lettenmaier, D. P.: On the causes of the shrinking of Lake Chad, Environ. Res. Lett., 6, 034021, https://doi.org/10.1088/1748-9326/6/3/034021, 2011. 

Gao, Q., Zhu, X., Wang, Q., Zhou, K., Lu, X., Wang, Z., and Wang, X.: Enrichment and transfer of polycyclic aromatic hydrocarbons (PAHs) through dust aerosol generation from soil to the air, Front. Env. Sci. Eng., 17, https://doi.org/10.1007/s11783-023-1610-7, 2023a. 

Gao, Q., Zhu, S., Zhou, K., Zhai, J., Chen, S., Wang, Q., Wang, S., Han, J., Lu, X., Chen, H., Zhang, L., Wang, L., Wang, Z., Yang, X., Ying, Q., Zhang, H., Chen, J., and Wang, X.: High enrichment of heavy metals in fine particulate matter through dust aerosol generation, Atmos. Chem. Phys., 23, 13049–13060, https://doi.org/10.5194/acp-23-13049-2023, 2023b. 

Gao, Q., Chen, G., Lu, X., Chen, J., Zhang, H., and Wang, X.: Toxic Dust Emission from Drought-Exposed Lakebeds – A New Air Pollution Threat from Dried Lakes, Mendeley Data V1 [data set], https://doi.org/10.17632/vg8gtxs9nk.1, 2025. 

Gelaro, R., McCarty, W., Suárez, M. J., Todling, R., Molod, A., Takacs, L., Randles, C. A., Darmenov, A., Bosilovich, M. G., and Reichle, R.: The modern-era retrospective analysis for research and applications, version 2 (MERRA-2), J. Climate, 30, 5419–5454, 2017. 

Ghale, Y. A. G., Tayanc, M., and Unal, A.: Dried bottom of Urmia Lake as a new source of dust in the northwestern Iran: Understanding the impacts on local and regional air quality, Atmos. Environ., 262, 118635, https://doi.org/10.1016/j.atmosenv.2021.118635, 2021. 

Gill, T. and Gillette, D.: Owens Lake: A natural laboratory for aridification, playa desiccation and desert dust, Geological Society of America Abstracts with Programs, 462, 1991. 

Grineski, S. E., Mallia, D. V., Collins, T. W., Araos, M., Lin, J. C., Anderegg, W. R., and Perry, K.: Harmful dust from drying lakes: Preserving Great Salt Lake (USA) water levels decreases ambient dust and racial disparities in population exposure, One Earth, 7, 1056–1067, 2024. 

Guenther, A. B., Jiang, X., Heald, C. L., Sakulyanontvittaya, T., Duhl, T., Emmons, L. K., and Wang, X.: The Model of Emissions of Gases and Aerosols from Nature version 2.1 (MEGAN2.1): an extended and updated framework for modeling biogenic emissions, Geosci. Model Dev., 5, 1471–1492, https://doi.org/10.5194/gmd-5-1471-2012, 2012. 

Guo, H., Hu, Q., and Jiang, T.: Annual and seasonal streamflow responses to climate and land-cover changes in the Poyang Lake basin, China, J. Hydrol., 355, 106–122, https://doi.org/10.1016/j.jhydrol.2008.03.020, 2008. 

Hamzehpour, N., Mahdavinia, G. R., and Rahmati, M.: Sand sheets – the major dust source in the western Lake Urmia playa – A comprehensive study of the soil-dust properties and stabilization, Int. J. Sediment Res., 39, 355–374, 2024. 

He, J., Yang, Y., Zhang, L., Luo, Y., Liu, F., and Yang, P.: Polycyclic aromatic hydrocarbons (PAHs) in surface sediments of two lakes of the Dongting Lake district in Hunan, China, AIP Conference Proceedings, 1956, 020056, https://doi.org/10.1063/1.5034308, 2018. 

He, X., Pang, Y., Song, X., Chen, B., Feng, Z., and Ma, Y.: Distribution, sources and ecological risk assessment of PAHs in surface sediments from Guan River Estuary, China, Mar. Pollut. Bull., 80, 52–58, https://doi.org/10.1016/j.marpolbul.2014.01.051, 2014. 

Hosseinpoor, S., Habibi, S., and Mohammadi, A.: Understanding heavy metal contamination in the vicinity of Lake Urmia, NW Iran: Environmental and health Perspectives, Heliyon, 10, e34198, https://doi.org/10.1016/j.heliyon.2024.e34198, 2024. 

Huang, S., Li, J., and Xu, M.: Water surface variations monitoring and flood hazard analysis in Dongting Lake area using long-term Terra/MODIS data time series, Nat. Hazards, 62, 93–100, 2012. 

Johnston, J. E., Razafy, M., Lugo, H., Olmedo, L., and Farzan, S. F.: The disappearing Salton Sea: A critical reflection on the emerging environmental threat of disappearing saline lakes and potential impacts on children's health, Sci. Total Environ., 663, 804–817, https://doi.org/10.1016/j.scitotenv.2019.01.365, 2019. 

Keyte, I. J., Harrison, R. M., and Lammel, G.: Chemical reactivity and long-range transport potential of polycyclic aromatic hydrocarbons – a review, Chem. Soc. Rev., 42, 9333–9391, https://doi.org/10.1039/c3cs60147a, 2013. 

Kong, S., Pani, K., Griffith, M., Ou-Yang, C., Babu, R., Chuang, T., Ooi, G., Huang, S., Sheu, R., and Lin, H.: Distinct transport mechanisms of East Asian dust and the impact on downwind marine and atmospheric environments, Sci. Total Environ., 827, 154255, https://doi.org/10.1016/j.scitotenv.2022.154255, 2022. 

Lafon, S., Sokolik, I. N., Rajot, J. L., Caquineau, S., and Gaudichet, A.: Characterization of iron oxides in mineral dust aerosols: Implications for light absorption, J. Geophys. Res.-Atmos., 111, https://doi.org/10.1029/2005jd007016, 2006. 

Lafon, S., Alfaro, S. C., Chevaillier, S., and Rajot, J. L.: A new generator for mineral dust aerosol production from soil samples in the laboratory: GAMEL, Aeolian Res., 15, 319–334, https://doi.org/10.1016/j.aeolia.2014.04.004, 2014. 

Li, F., Huang, J., Zeng, G., Yuan, X., Li, X., Liang, J., Wang, X., Tang, X., and Bai, B.: Spatial risk assessment and sources identification of heavy metals in surface sediments from the Dongting Lake, Middle China, J. Geochem. Explor., 132, 75–83, https://doi.org/10.1016/j.gexplo.2013.05.007, 2013. 

Li, J., Zhuang, G., Huang, K., Lin, Y., Xu, C., and Yu, S.: Characteristics and sources of air-borne particulate in Urumqi, China, the upstream area of Asia dust, Atmos. Environ., 42, 776–787, https://doi.org/10.1016/j.atmosenv.2007.09.062, 2008. 

Liu, D., Abuduwaili, J., Lei, J., and Wu, G.: Deposition rate and chemical composition of the aeolian dust from a bare saline playa, Ebinur Lake, Xinjiang, China, Water Air Soil Pollut., 218, 175–184, 2011. 

Liu, J., Chen, Y., Chao, S., Cao, H., Zhang, A., and Yang, Y.: Emission control priority of PM2.5-bound heavy metals in different seasons: A comprehensive analysis from health risk perspective, Sci. Total Environ., 644, 20–30, 2018. 

Liu, S., Xing, J., Sahu, S. K., Liu, X., Liu, S., Jiang, Y., Zhang, H., Li, S., Ding, D., and Chang, X.: Wind-blown dust and its impacts on particulate matter pollution in Northern China: current and future scenarios, Environ. Res. Lett., 16, 114041, https://doi.org/10.1088/1748-9326/ac31ec, 2021. 

Lu, M., Zeng, D. C., Liao, Y., and Tong, B.: Distribution and characterization of organochlorine pesticides and polycyclic aromatic hydrocarbons in surface sediment from Poyang Lake, China, Sci. Total Environ., 433, 491–497, https://doi.org/10.1016/j.scitotenv.2012.06.108, 2012. 

McFeeters, S. K.: The use of the Normalized Difference Water Index (NDWI) in the delineation of open water features, Int. J. Remote Sens., 17, 1425–1432, 1996. 

Meng, Y., Liu, X., Lu, S., Zhang, T., Jin, B., Wang, Q., Tang, Z., Liu, Y., Guo, X., Zhou, J., and Xi, B.: A review on occurrence and risk of polycyclic aromatic hydrocarbons (PAHs) in lakes of China, Sci. Total Environ., 651, 2497–2506, https://doi.org/10.1016/j.scitotenv.2018.10.162, 2019. 

Messager, M. L., Lehner, B., Grill, G., Nedeva, I., and Schmitt, O.: Estimating the volume and age of water stored in global lakes using a geo-statistical approach, Nat. Commun., 7, 13603, https://doi.org/10.1038/ncomms13603, 2016. 

Micklin, P.: The Aral sea disaster, Annu. Rev. Earth Pl. Sc., 35, 47–72, 2007. 

Micklin, P. P.: Desiccation of the Aral Sea: a water management disaster in the Soviet Union, Science, 241, 1170–1176, 1988. 

Mohammad Asgari, H., Mojiri-Forushani, H., and Mahboubi, M.: Temporal and spatial pattern of dust storms, their polycyclic aromatic hydrocarbons, and human health risk assessment in the dustiest region of the world, Environ. Monitor. Assess., 195, 76, https://doi.org/10.1038/ncomms13603, 2023. 

Office of Environmental Health Hazard Assessment (OEHHA): OEHHA Acute, 8-hour and Chronic Reference Exposure Level (REL) Summary, available at: https://oehha.ca.gov/air/general-info/oehha-acute-8-hour-and-chronic-reference-exposure-level-rel-summary, last access: 24 September 2025, 2023. 

Nisbet, I. C. and Lagoy, P. K.: Toxic equivalency factors (TEFs) for polycyclic aromatic hydrocarbons (PAHs), Regul. Toxicol. Pharm., 16, 290–300, 1992. 

U.S. Environmental Protection Agency (EPA), Office of Emergency and Remedial Response: Risk Assessment Guidance for Superfund, Volume I: Human Health Evaluation Manual (Part A, Interim Final), EPA/540/1-89/002, Washington, DC, USA, available at: https://www.osti.gov/biblio/7037757, last access: 24 September 2025, 1989. 

O'Sullivan, P. and Reynolds, C.: Limnology and Limnetic ecology, https://doi.org/10.1002/9780470999271, 2004. 

Onishi, K., Otani, S., Yoshida, A., Mu, H., and Kurozawa, Y.: Adverse health effects of Asian dust particles and heavy metals in Japan, Asia-Pac. J. Public He., 27, NP1719–NP1726, 2015. 

Oyedotun, T. D. T.: X-ray fluorescence (XRF) in the investigation of the composition of earth materials: a review and an overview, Geology, Ecology, and Landscapes, 2, 148–154, 2018. 

Peng, Y., Chen, G., Chao, N., Wang, Z., Wu, T., and Luo, X.: Detection of extreme hydrological droughts in the poyang lake basin during 2021–2022 using GNSS-derived daily terrestrial water storage anomalies, Sci. Total Environ., 919, 170875, https://doi.org/10.1016/j.scitotenv.2024.170875, 2024. 

Qi, S., Zhang, X., Jiang, F., and Wang, P.: Research on the causes for hydrological drought trendin Poyang Lake, J. Natural Res., 34, 168–178, 2019. 

Reheis, M. C.: Dust deposition downwind of Owens (dry) Lake, 1991–1994: Preliminary findings, J. Geophys. Res.-Atmos., 102, 25999–26008, 1997. 

Ren, Y., Luo, Q., Zhuo, S., Hu, Y., Shen, G., Cheng, H., and Tao, S.: Bioaccessibility and public health risk of heavy Metal (loid) s in the airborne particulate matter of four cities in northern China, Chemosphere, 277, 130312, https://doi.org/10.1016/j.chemosphere.2021.130312, 2021a. 

Ren, Y. Q., Wang, G. H., Li, J. J., Wu, C., Cao, C., Li, J., Wang, J. Y., Ge, S. S., Xie, Y. N., Li, X. R., Meng, F., and Li, H.: Evolution of aerosol chemistry in Xi'an during the spring dust storm periods: Implications for heterogeneous formation of secondary organic aerosols on the dust surface, Chemosphere, 215, 413–421, https://doi.org/10.1016/j.chemosphere.2018.10.064, 2019. 

Ren, Y. X., Luo, Q., Zhuo, S. J., Hu, Y. A., Shen, G. F., Cheng, H. F., and Tao, S.: Bioaccessibility and public health risk of heavy Metal(loid)s in the airborne particulate matter of four cities in northern China, Chemosphere, 277, https://doi.org/10.1016/j.chemosphere.2021.130312, 2021b. 

Shankman, D., Keim, B. D., and Song, J.: Flood frequency in China's Poyang Lake region: trends and teleconnections, Int. J. Climatol., 26, 1255–1266, 2006. 

Sima, S., Rosenberg, D. E., Wurtsbaugh, W. A., Null, S. E., and Kettenring, K. M.: Managing Lake Urmia, Iran for diverse restoration objectives: Moving beyond a uniform target lake level, J. Hydrol., 35, 100812, https://doi.org/10.1016/j.ejrh.2021.100812, 2021. 

Song, P., Fei, J. F., Li, C. S., and Huang, X. G.: Simulation of an Asian Dust Storm Event in May 2017, Atmosphere, 10, https://doi.org/10.3390/atmos10030135, 2019. 

Sulla-Menashe, D. and Friedl, M. A.: User guide to collection 6 MODIS land cover (MCD12Q1 and MCD12C1) product, USGS, Reston, Va, Usa, 1, 18, https://doi.org/10.5067/MODIS/MCD12Q1.006, 2018. 

Sun, X., Wang, F., Fan, Y., Li, Z., Liu, X., Zhao, J., Li, B., and Xia, D.: Transformation of lakebed into a major soluble-salt-bearing dust source for Asia since the mid-pleistocene, Global Planet. Change, 230, 104282, https://doi.org/10.1016/j.gloplacha.2023.104282, 2023. 

Tegen, I., Harrison, S. P., Kohfeld, K., Prentice, I. C., Coe, M., and Heimann, M.: Impact of vegetation and preferential source areas on global dust aerosol: Results from a model study, J. Geophys. Res.-Atmos., 107, AAC 14-11–AAC 14-27, 2002. 

U.S. Environmental Protection Agency (EPA): Regional Screening Levels (RSLs) – Generic Tables, available at: https://www.epa.gov/risk/regional-screening-levels-rsls-generic-tables, last access: 24 September 2025, 2015. 

Van Vaeck, L. and Van Cauwenberghe, K.: Cascade impactor measurements of the size distribution of the major classes of organic pollutants in atmospheric particulate matter, Atmos. Environ., 12, 2229–2239, https://doi.org/10.1016/0004-6981(78)90179-8, 1978. 

Wang, L., Guo, S., Hong, X., Liu, D., and Xiong, L.: Projected hydrologic regime changes in the Poyang Lake Basin due to climate change, Front. Earth Sci., 11, 95–113, 2017. 

Wang, Q., Dong, X., Fu, J. S., Xu, J., Deng, C., Jiang, Y., Fu, Q., Lin, Y., Huang, K., and Zhuang, G.: Environmentally dependent dust chemistry of a super Asian dust storm in March 2010: observation and simulation, Atmos. Chem. Phys., 18, 3505–3521, https://doi.org/10.5194/acp-18-3505-2018, 2018. 

Warren, N., Allan, I. J., Carter, J. E., House, W. A., and Parker, A.: Pesticides and other micro-organic contaminants in freshwater sedimentary environments – a review, Appl. Geochem., 18, 159–194, https://doi.org/10.1016/s0883-2927(02)00159-2, 2003. 

Williamson, C. E., Saros, J. E., Vincent, W. F., and Smol, J. P.: Lakes and reservoirs as sentinels, integrators, and regulators of climate change, Limnol. Oceanogr., 54, 2273–2282, 2009. 

World Health Organization (WHO): Air quality guidelines for Europe, WHO, Regional Office for Europe, ISBN 978-92-890-1358-1, 2000. 

Wu, D., Zheng, H., Li, Q., Jin, L., Lyu, R., Ding, X., Huo, Y., Zhao, B., Jiang, J., and Chen, J.: Toxic potency-adjusted control of air pollution for solid fuel combustion, Nature Energy, 7, 194–202, 2022. 

Wurtsbaugh, W. A., Miller, C., Null, S. E., DeRose, R. J., Wilcock, P., Hahnenberger, M., Howe, F., and Moore, J.: Decline of the world's saline lakes, Nat. Geosci., 10, 816–821, https://doi.org/10.1038/ngeo3052, 2017. 

Xia, Y., Liu, Y., Wang, Z., Huang, Z., You, W., Wu, Q., Zhou, S., and Zou, J.: Damage Inflicted by Extreme Drought on Poyang Lake Delta Wetland and the Establishment of Countermeasures, Water, 16, 2292, https://doi.org/10.3390/w16162292, 2024. 

Xie, Z., Jiang, Y., Zhang, H., Wang, D., Qi, S., Du, Z., and Zhang, H.: Assessing heavy metal contamination and ecological risk in Poyang Lake area, China, Environ. Earth Sci., 75, 1–15, 2016. 

Xu, G., Liu, S., Cheng, S., Zhang, Y., Wu, X., and Wu, Y.: Quantifying the 2022 drought and spatiotemporal evolution of TWSA in the Dongting Lake Basin over the past two decades, Geodesy and Geodynamics, 15, 516–527, https://doi.org/10.1016/j.geog.2024.03.001, 2024. 

Xu, J., Chen, Y., Zheng, L., Liu, B., Liu, J., and Wang, X.: Assessment of heavy metal pollution in the sediment of the main tributaries of Dongting Lake, China, Water, 10, 1060, https://doi.org/10.3390/w10081060, 2018. 

Xue, C., Zhang, Q., Jia, Y., and Yuan, S.: Intensifying drought of Poyang Lake and potential recovery approaches in the dammed middle Yangtze River catchment, J. Hydrol., 50, 101548, https://doi.org/10.1016/j.ejrh.2023.101548, 2023. 

Yang, L., Yue, L., and Li, Z.: The influence of dry lakebeds, degraded sandy grasslands and abandoned farmland in the arid inlands of northern China on the grain size distribution of East Asian aeolian dust, Environ. Geol., 53, 1767–1775, 2008. 

Ying, Q., Feng, M., Song, D. L., Wu, L., Hu, J. L., Zhang, H. L., Kleeman, M. J., and Li, X. H.: Improve regional distribution and source apportionment of PM2.5 trace elements in China using inventory-observation constrained emission factors, Sci. Total Environ., 624, 355–365, https://doi.org/10.1016/j.scitotenv.2017.12.138, 2018. 

Yuan, G.-L., Liu, C., Chen, L., and Yang, Z.: Inputting history of heavy metals into the inland lake recorded in sediment profiles: Poyang Lake in China, J. Hazard. Mater., 185, 336–345, https://doi.org/10.1016/j.jhazmat.2010.09.039, 2011a. 

Yuan, G.-L., Liu, C., Chen, L., and Yang, Z. F.: Inputting history of heavy metals into the inland lake recorded in sediment profiles: Poyang Lake in China, J. Hazard. Mater., 185, 336–345, https://doi.org/10.1016/j.jhazmat.2010.09.039, 2011b. 

Zhang, X., Liu, X., Zhang, M., Dahlgren, R. A., and Eitzel, M.: A review of vegetated buffers and a meta-analysis of their mitigation efficacy in reducing nonpoint source pollution, J. Environ. Qual., 39, 76–84, 2010. 

Zhang, Y., Qu, C., Qi, S., Zhang, Y., Mao, L., Liu, J., Qin, S., and Yang, D.: Spatial-temporal variations and transport process of polycyclic aromatic hydrocarbons in Poyang Lake: Implication for dry–wet cycle impacts, J. Geochem. Explor., 226, 106738, https://doi.org/10.1016/j.gexplo.2021.106738, 2021. 

Zhi, H., Zhao, Z. H., and Zhang, L.: The fate of polycyclic aromatic hydrocarbons (PAHs) and organochlorine pesticides (OCPs) in water from Poyang Lake, the largest freshwater lake in China, Chemosphere, 119, 1134–1140, https://doi.org/10.1016/j.chemosphere.2014.09.054, 2015. 

Zucca, C., Middleton, N., Kang, U., and Liniger, H.: Shrinking water bodies as hotspots of sand and dust storms: The role of land degradation and sustainable soil and water management, CATENA, 207, 105669, https://doi.org/10.1016/j.catena.2021.105669, 2021. 

Download
Short summary
Numerous lakes are shrinking, owing to climate change and human activities, releasing pollutants from dried lake beds as dust aerosols. The health risks remain unclear. Recently, Poyang and Dongting lakes faced record droughts, exposing 99 % and 88 % of their areas. We show that lake bed dust can raise PM10 to 637.5 μg m-³ and exceed non-carcinogenic (HQ = 4.13) and Cr carcinogenic  (approx. 2.10 × 10⁶)  risk thresholds, posing growing health threats.
Share
Altmetrics
Final-revised paper
Preprint