Articles | Volume 25, issue 19
https://doi.org/10.5194/acp-25-12379-2025
https://doi.org/10.5194/acp-25-12379-2025
Research article
 | 
08 Oct 2025
Research article |  | 08 Oct 2025

Global atmospheric inversion of the anthropogenic NH3 emissions over 2019–2022 using the LMDZ-INCA chemistry transport model and the IASI NH3 observations

Pramod Kumar, Grégoire Broquet, Didier Hauglustaine, Maureen Beaudor, Lieven Clarisse, Martin Van Damme, Pierre Coheur, Anne Cozic, Bo Zheng, Beatriz Revilla Romero, Antony Delavois, and Philippe Ciais
Abstract

Ammonia (NH3) emissions have been on a continuous rise due to extensive fertilizer usage in agriculture and increasing production of manure and livestock. However, the current global-to-national NH3 emission inventories exhibit large uncertainties. We provide atmospheric inversion estimates of the global NH3 emissions over 2019–2022 at 1.27° × 2.5° horizontal and daily (at 10 d scale) resolution. We use IASI-ANNI-NH3-v4 satellite observations, simulations of NH3 concentrations with the chemistry transport model LMDZ-INCA, and the finite difference mass-balance approach for inversions of global NH3 emissions. We take advantage of the averaging kernels provided in the IASI-ANNI-NH3-v4 dataset by applying them consistently to the LMDZ-INCA NH3 simulations for comparison to the observations and then to invert emissions. The average global anthropogenic NH3 emissions over 2019–2022 are estimated as ∼97 (94–100) Tg yr−1, which is ∼61 % (∼55 %–65 %) higher than the prior Community Emissions Data System (CEDS) inventory's anthropogenic NH3 emissions and significantly higher than two other global inventories: CAMS's anthropogenic NH3 emissions (by a factor of ∼1.8) and the Calculation of AMmonia Emissions in ORCHIDEE (CAMEO) agricultural and natural soil NH3 emissions (by ∼1.4 times). The global and regional budgets are mostly within the range of other inversion estimates. The analysis provides confidence in their seasonal variability and continental- to regional-scale budgets. Our analysis shows a rise in NH3 emissions by ∼5 % to ∼37 % during the COVID-19 lockdowns in 2020 over different regions compared to the same-period emissions in 2019. However, this rise is probably due to a decrease in atmospheric NH3 sinks due to the decline in NOx and SO2 emissions during the lockdowns.

Share
1 Introduction

Ammonia (NH3) plays a critical role in both atmospheric chemistry and the ecosystem's nitrogen and carbon cycling, with significant implications for air quality and human health, climate change, and agriculture. Ammonia in the Earth's atmosphere originates from both natural and anthropogenic sources, with the latter dominating emissions from the former. The agricultural sector is the largest source of NH3 emissions, contributing more than 81 % of the total global NH3 emissions (Van Damme et al., 2021; Wyer et al., 2022), and other anthropogenic sources of NH3 mainly stem from domestic, vehicular, waste water treatment, and industrial activities (Behera et al., 2013a; Sutton et al., 2013). Global future NH3 emissions in 2100 are projected to increase by 30 % to 50 % compared to present-day levels, depending on the different Shared Socioeconomic Pathways scenarios (Beaudor et al., 2025). Precise information on the NH3 sources and quantitative attribution of emissions to these sources and atmospheric NH3 concentration observations are essential in evaluating the impacts of NH3 on ecosystems, climate, air quality, and human health and in formulating effective mitigation measures (Zhu et al., 2015). Timely estimates of global anthropogenic NH3 emissions are needed to formulate effective control strategies to reduce such emissions activities (Behera et al., 2013).

Bottom-up NH3 emission inventories provide data on NH3 sources and their emissions (Beaudor et al., 2023; Bouwman et al., 1997; Vira et al., 2020), enabling their integration into atmospheric chemistry transport and climate models to simulate atmospheric ammonia concentrations and making it possible to assess the impacts of NH3 emissions. However, significant uncertainties are inherent in bottom-up NH3 emission inventories across spatiotemporal scales (Behera et al., 2013; Luo et al., 2022; Sutton et al., 2013), stemming from the constraints of limited NH3 emission activity data and emission factors, high uncertainty of agriculture statistics, and a lack of recent information (Chen et al., 2021; Crippa et al., 2018; Xu et al., 2019). In situ measurements are essential for accurately developing NH3 emission inventories and for the inversion of NH3 emissions, as well as for evaluating these emissions. However, the scarcity of in situ NH3 measurements worldwide contributed to significant uncertainties in NH3 emissions and in our understanding of NH3 sources and their distributions (Zhu et al., 2015). Advancements in satellite measurements of columnar NH3 abundance in the atmosphere in the past decades provide high-spatiotemporal-resolution column concentration data, and inversion methods are progressively enhancing our ability to derive NH3 emissions. For the atmospheric inverse modeling of the NH3 emissions, satellite observations offer valuable data density and coverage, thus mitigating some of the limitations of the use of in situ NH3 measurements, enabling a more comprehensive assessment of NH3 emissions. The recent NH3 emission estimates based on satellite observations exhibit significant differences at both regional and global scales when compared to those reported by the bottom-up inventories (Cao et al., 2020; Chen et al., 2021; Van Damme et al., 2018; Luo et al., 2022; Evangeliou et al., 2021; Dammers et al., 2022). However, the satellite data also have some limitations, often lacking clear signals from the emissions outside the strongly polluted regions, bearing potential errors due to interference from other atmospheric constituents and the complexity of their validation and calibration, and being sensitive to cloud cover, providing incomplete coverage in certain regions in the presence of clouds.

Currently, satellite NH3 observations are available from instruments such as the Atmospheric Infrared Sounder (AIRS) on the NASA EOS Aqua satellite (Warner et al., 2016), the Aura Tropospheric Emission Spectrometer (TES) on board the EOS Aura satellite (Beer et al., 2008), three of the Infrared Atmospheric Sounding Interferometer (IASI) series of instruments on the MetOp (Meteorological Operational satellite program) satellites (Clarisse et al., 2009; Van Damme et al., 2021), the Thermal And Near-infrared Spectrometer for Observation–Fourier Transform Spectrometer (TANSO-FTS) on board the Greenhouse Gases Observing Satellite (GOSAT) (Someya et al., 2020), and the three Cross-track Infrared Sounder (CrIS) instruments on board the Suomi National Polar-orbiting Partnership (Suomi-NPP) satellites (Shephard et al., 2020). These datasets vary in their data record lengths, spatial coverage, and retrieval approaches. The NH3 observations derived from the IASI and CrIS measurements, which have similar instrumental characteristics but employ different retrieval approaches, are the most commonly used satellite data for constraining NH3 emission estimates. The IASI NH3 product is a widely used dataset, as it provides continuous, long-term sampling commencing from 2007, with twice-daily coverage across the globe. Except for its first version, subsequent versions of the IASI NH3 data products are based on the Artificial Neural Network for IASI (ANNI) approach for the retrieval of NH3 total columns (Van Damme et al., 2017, 2021; Whitburn et al., 2016). However, the absence of the vertical averaging kernel (AK) in the IASI ANNI NH3 previous products hindered their utility for comprehensive comparisons to the atmospheric chemistry transport model and its suitability for assimilation in atmospheric inversion processes for NH3 emission estimations. The AK is proportional to the measurement vertical sensitivity profile and also describes the vertical structure of the impact of a priori information on the retrieval of NH3 columns. When comparing a chemistry transport model against the satellite column retrievals, e.g., in satellite data assimilation processes, the application of the AK should remove the influence of errors resulting from the a priori (or an assumed) atmospheric NH3 vertical profile used in the retrievals in the model–satellite comparison (Eskes and Boersma, 2003). Using synthetic satellite column observations of another short-lived species (NO2), Cooper et al. (2020) examined the impact of differences between the modeled and a priori atmospheric vertical NO2 profiles on the inversion of NOx emission estimates and found that discrepancies led to an up to 30 % increase in root mean square errors for realistic conditions over polluted regions, with inverted emission errors rising as the difference between simulated and a priori profiles increases. The application of AK enables the model-retrieval comparison to be independent of the a priori profile (Cooper et al., 2020; Douros et al., 2023). Recently, Clarisse et al. (2023) presented a new version 4 of the ANNI retrieval framework including, for the first time, vertical AK in the IASI NH3 data product. In this study, we use this new version 4 of the IASI ANNI NH3 dataset for comparison to the global chemistry transport model simulations and for the atmospheric inversion of the global NH3 emissions.

In recent years, numerous studies have used satellite observations, mostly IASI and CrIS, to estimate NH3 emissions over specific regions (Cao et al., 2020, 2022; Chen et al., 2021; Ding et al., 2024; Fortems-Cheiney et al., 2020; Tichý et al., 2023; Xia et al., 2025) or across the globe (Dammers et al., 2022; Evangeliou et al., 2021; Luo et al., 2022). Some recent regional-scale inversion studies over the USA (Cao et al., 2020; Chen et al., 2021), China (Jin et al., 2023; Momeni et al., 2024), UK (Marais et al., 2021), and Europe (Cao et al., 2022; Ding et al., 2024; van der Graaf et al., 2022) show approximately 20 %–100 % differences between the inversion-based and the bottom-up NH3 emissions. The NH3 inversion problem raises challenges and requires a high spatial resolution of the emissions because the NH3 emissions are highly localized due to the short lifetime of a few hours to a day of ammonia in the atmosphere. The impact of the atmospheric chemistry challenges the linearization underlying the traditional inversion approaches or the use of relatively simple models of the atmospheric chemistry and transport. The conventional variational or Kalman filter approaches, which are among the most sophisticated ones, have been used for regional-scale inversions (Cao et al., 2020, 2022; Ding et al., 2024; Jin et al., 2023). However, covering the globe at a suitable spatial resolution represents an inversion problem whose dimensions make the application of such approaches very demanding in terms of computational cost. That is probably why, compared to regional studies, global inversions of NH3 emissions based on satellite observations are relatively scarce (Van Damme et al., 2018; Dammers et al., 2022; Evangeliou et al., 2021; Luo et al., 2022). Studies such as Van Damme et al. (2018) and Dammers et al. (2019) covered emissions worldwide but focused on the detection and estimation of NH3 large point sources or hotspot areas. Using high-resolution maps of atmospheric ammonia from IASI, Van Damme et al. (2018) detected 248 NH3 hotspot locations and large source regions across the globe and reported that the satellite-data-constrained NH3 emissions for the source regions vary within a factor of 3 from the corresponding estimates extracted from the Emissions Database for Global Atmospheric Research (EDGAR) emission inventory. However, the emissions from these detected large NH3 point sources or source regions account for only a small fraction of the overall global NH3 emissions budget (Dammers et al., 2019). For instance, the cumulative NH3 emissions from the 249 point sources identified by Dammers et al. (2019) contributed to merely 5 % of the total global NH3 emissions in the Hemispheric Transport Atmospheric Pollution version 2 (HTAPv2) inventory.

Only very few global-scale inversion studies provided more comprehensive time series of full NH3 emission maps using computationally intensive inversion frameworks. Recently, Dammers et al. (2022) derived global NH3 emission maps at a high spatial resolution (0.2° × 0.2°) based on a multi-source Gaussian plume method using CrIS observations, discarding any chemistry or aerosol mechanism associated with the short-lived species NH3 in the multi-source Gaussian plume method. They showed that satellite-based total NH3 emissions over the globe are ∼1.8 times higher than those reported in previously identified anthropogenic NH3 source locations in the CAMS-GLOB-ANT v4.2 global anthropogenic NH3 emission inventory, and the total estimates rise to ∼4 times greater when newly detected anthropogenic and natural sources are taken into account. However, this approach also introduces uncertainties in the estimates due to the assumption of a globally constant atmospheric lifetime for NH3, which is a limiting factor because chemical loss and deposition are highly variable processes that can change the lifetime drastically (Van Damme et al., 2018), and uncertainties in plume spread, wind speed, and wind direction when fitting a multi-source Gaussian plume model to the observations.

In two recent studies of the global inversion of NH3 emissions using previous versions of the IASI ANNI NH3 data products, Evangeliou et al. (2021) and Luo et al. (2022) estimated long-term monthly global NH3 emissions over a decade starting from 2008 and reported their estimates to be higher than those in the bottom-up inventories. However, significance differences were observed between these two NH3 emission estimates. In both studies, inversions rely on the NH3 lifetime, diagnosed differently from the simulations of different global chemistry transport models (CTMs), and the modeled NH3 total columns. Evangeliou et al. (2021) applied a basic mass-balance inversion approach to estimate monthly NH3 emissions in each grid cell as a ratio of the observed total NH3 column from IASI and the lifetime of NH3 computed from CTM simulations. Using a previous version of IASI NH3 observations, Luo et al. (2022) modified the basic mass-balance approach used in Evangeliou et al. (2021) by updating the prior NH3 emissions with an additive correction term. This correction is proportional to the difference between the observed and modeled NH3 columns and inversely proportional to the NH3 lifetime estimated by accounting for the deposition fluxes of the whole NHx (NH3+ NH4+) family instead of using only the NH3 losses. However, estimating the lifetime of NH3 in the atmosphere is more complex due to the impact of transport mechanisms, loss of atmospheric NH3 by the formation of ammonium sulfate or ammonium nitrate particles (Cao et al., 2020), and non-linearities in NH3-related chemistry affecting deposition and concentration. Changes in NH3 concentrations due to emission affect its lifetime through its interaction with other trace chemical species like SO2, NOx, HCl, and HONO (Behera et al., 2013), and the basic mass-balance approaches in Evangeliou et al. (2021) and Luo et al. (2022) do not consider the impact of NH3 emission changes in their estimation of NH3 lifetime in atmospheric inversions, which may affect the accuracy of emission estimates.

Variations of the mass-balance inversion methodology, such as the finite difference mass-balance (FDMB) approach (Cooper et al., 2017; Lamsal et al., 2011), have been proposed for atmospheric inversion of emissions of short-lived species, which aims to reduce errors in basic mass-balance methods due to non-linear sensitivity between species emissions and ambient concentrations. The FDMB inversion approach is computationally efficient for the global-scale inversions at coarse resolutions, and it has been widely used for estimating anthropogenic surface emissions of short-lived species like NOx and SO2 at global and regional scales (Cooper et al., 2017; Lamsal et al., 2011). It derives the fluxes by scaling a priori emission estimates, usually derived from bottom-up inventories. This scaling is derived from the computation of the local sensitivity of concentrations to local emission changes from simulations with a CTM and from the relative differences between observations and the modeled columns. Only a few studies have investigated the FDMB approach for NH3 emission inversion at regional scales: Momeni et al. (2024) and Li et al. (2019). They applied the iterative FDMB approach to constrain the NH3 emissions of East Asia with CrIS and North America with IASI satellite observations. In this study, we investigate the use of the FDMB approach at the global scale to derive maps of the NH3 emissions at a relatively high temporal resolution worldwide. While earlier global-scale inversion studies by Luo et al. (2022) and Evangeliou et al. (2021) derived NH3 emission estimates at the 1-month scale, we aim to provide daily estimates at the 10 d scale (deriving 10 d running average). The FDMB inversion approach involves a chemistry transport model for simulations of NH3 concentrations. We use the global chemistry–aerosols transport model LMDZ-INCA (Hauglustaine et al., 2004, 2014) for global NH3 concentration simulations. Our LMDZ-INCA model configuration has a relatively high spatial resolution of 1.27° × 2.5° (latitude × longitude) horizontally and 79 vertical levels. The absence of the averaging kernel in previous versions of the IASI ANNI NH3 data products used in the previous inversion studies prevented utilization of this information to integrate the modeled NH3 profile consistently with the IASI NH3 retrievals. This limitation may have impacted the final NH3 emission estimates. In this study, we take advantage of the availability of AKs in version 4 of the IASI NH3 product for suitable assimilation of such data into a global inversion framework relying on a CTM. The application of AK in our global atmospheric inversion of NH3 emissions with the new version 4 of the IASI NH3 retrievals is one of the main features in this study.

Here, we estimate global daily (as a 10 d running average) anthropogenic NH3 emissions over the land at 1.27° × 2.5° horizontal resolution across a period of 4 years from 2019 to 2022 using the new version 4 of the IASI ANNI NH3 data product and the FDMB inversion approach (Cooper et al., 2017; Lamsal et al., 2011). We first compare the LMDZ-INCA model global NH3 simulations against the IASI NH3 observations to assess our model's performance and its suitability for global inversions of NH3 emissions. In both model–satellite comparisons and inversions, we take advantage of averaging kernels provided in version 4 of the IASI ANNI NH3 data product to remove the impact of the vertical NH3 profile assumption in the retrievals. We present and discuss the results of our model comparison analysis with the IASI NH3 observations and the global inversions of the NH3 emissions at both global and regional scales, considering temporal scales ranging from daily (10 d scale) to monthly, seasonal, and annual. We evaluate our inversion approach and emissions estimates by conducting LMDZ-INCA simulations using the optimized NH3 emissions and comparing the model results with the IASI NH3 observations. Finally, we compare our estimated global NH3 emissions with independent global bottom-up inventories and other estimated NH3 emissions over the globe and over the selected regions. The structure of the paper is as follows. Section 2 describes the new version 4 of the IASI NH3 observations, the chemistry transport model and its setup for global NH3 concentration simulations, our strategy to compare model NH3 simulations with the satellite observations, and the FDMB inversion approach used for global daily NH3 emission estimations. Section 3 presents the results, followed by a discussion of those results and the limitations of the study in Sect. 4. Key conclusions of this study are provided in Sect. 5.

2 Material and methods

2.1 IASI NH3 version 4 observations

IASI is an infrared Fourier transform spectrometer on board the sun-synchronous polar-orbiting MetOp-A/B/C satellites, which were respectively launched in 2006, 2012, and 2018 (Clerbaux et al., 2009). IASI has a cross-track scanning swath width of ∼2200 km, with a pixel size of ∼12 km in diameter at nadir. Each instrument on board one of the sun-synchronous satellites covers almost all locations over the globe twice a day, once at daytime and once at nighttime, with overpasses around 09:30 and 21:30 local solar time (LST), respectively. The vertical sensitivity of the IASI NH3 measurements, mainly in the boundary layer where NH3 is predominantly confined, varies as a function of the thermal contrast between the surface and the atmospheric layers (Clarisse et al., 2010; Di Gioacchino et al., 2024). The NH3 total column observations from the IASI measurements in the first version were retrieved using the so-called hyperspectral range index (HRI) in an extended spectral range (800–1200 cm−1) and using look-up tables (LUTs) built from forward radiative transfer model simulations (Van Damme et al., 2014). In the subsequent versions, an artificial neural network for the IASI (ANNI) retrieval approach was then developed and used for retrievals of IASI NH3 total columns (Van Damme et al., 2017, 2021; Whitburn et al., 2016). The ANNI NH3 retrieval approach uses an assumed Gaussian-shaped vertical profile of the NH3 volume mixing ratio (the “prior” profile), which is modeled as a function of the altitude above the ground or ocean surface, the peak concentration altitude, and the width of the profile of significant NH3 concentrations. The peak altitude over land is set at the ground surface with a width equal to the boundary layer height (Clarisse et al., 2023), as the NH3 emission is generally higher near the surface and NH3-related chemistry and dispersion cause the concentration to decrease with altitude. Over the ocean, it is set to 1.4 km with a width of 0.9 km (Clarisse et al., 2023). In this study, we use daily NH3 total columns from a recently released version 4 (ANNI-NH3-v4) of the IASI ANNI retrievals of NH3 (Clarisse et al., 2023). The most important feature of this new ANNI-NH3-v4 data product is the introduction of the column averaging kernel (AK). The vertical AK is essential for comparison of chemistry transport model simulations against the satellite NH3 retrievals, which can be used to remove the effect of the prior vertical NH3 profiles used in the retrievals of the IASI NH3 total columns in the model–satellite comparison. Note that the NH3 distribution from IASI-ANNI-v4 is very similar to the ones with the previous version 3, although the values are about 15 %–20 % larger due to the improved setup of the HRI (Clarisse et al., 2023). Furthermore, the ANNI-NH3-v4 data product provides a more accurate characterization of the measurement uncertainty, along with several other changes, resulting in the improved temporal consistency of the IASI NH3 dataset spanning from 2007 onwards (Clarisse et al., 2023).

We use daily IASI-NH3-v4 NH3 global observations over land from the MetOp-B satellite from 2019 to 2022. We select only the NH3 observations from the morning overpass (around 09:30 LST) because of the better precision of morning observations, as IASI is more sensitive at this time of day to the atmospheric boundary layer, where the signature of the surface emissions is higher, owing to more favorable thermal conditions. We use high-quality IASI NH3 observations only with the cloud coverage lower than and equal to 10 % (Clarisse et al., 2023). We apply pre- and post-retrieval filters that accompany the dataset. The application of these filters removes respectively the observations corresponding to erroneous L1 processing of the spectra or excess cloud coverage and the observations corresponding to measurements with limited or no sensitivity to the measured quantity and retrievals satisfying certain threshold conditions (Clarisse et al., 2023).

2.2 LMDZ-INCA global chemistry transport model and simulations

We use the global climate–aerosol–chemistry transport model LMDZ-INCA to simulate the global NH3 concentrations, along with a state-of-the art gas phase tropospheric chemistry scheme as well as aerosols including sulfate, nitrate, black carbon (BC), particulate organic matter (POM), dust, and sea salt. LMDZ-INCA is a coupled model based on an atmospheric general circulation model (GCM) LMDZ V6 (Laboratoire de Météorologie Dynamique) (Boucher et al., 2020; Hourdin et al., 2020), a chemistry and aerosols model INCA V6 (INteraction with Chemistry and Aerosol) (Hauglustaine et al., 2004, 2014), and a global land surface dynamical vegetation model ORCHIDEE (ORganizing Carbon and Hydrology In Dynamic Ecosystems) (Krinner et al., 2005). The model uses a monotonic, finite-volume, second-order parameterization to calculate large-scale advection of water vapor, liquid and solid water, and tracers (Boucher et al., 2020). The model uses the “New Physics” (NP) version of the physical parameterizations, which includes a turbulent scheme based on the prognostic equation for the turbulent kinetic energy (Yamada, 1983), the “Thermal Plume Model” for the convective boundary layer (Rio and Hourdin, 2008), a parameterization for cold pools and wakes resulting from convective rainfall evaporation (Grandpeix and Lafore, 2010), and Emanuel's deep convection parameterization scheme (Emanuel, 1991). LMDZ-INCA interactively accounts for the emissions, transport (resolved and subgrid scales), and deposition (both dry and wet) of chemical species and aerosol, and it incorporates a full chemical scheme for the NH3 cycle and nitrate particle formation (Hauglustaine et al., 2014).

The LMDZ-INCA model configuration used in this study has a horizontal resolution of 1.27° latitude ×2.5° longitude with 79 hybrid σ-pressure levels within a terrain following vertical coordinate stretches up to 80 km. We conducted LMDZ-INCA spin-up simulations from 2010 to 2018 and then reference simulations for a period of 4 years from 2019 to 2022, which we used for the model comparison with the IASI NH3 observations and for the global NH3 emission inversions. The simulations were driven by nudging the GCM winds with a 3.6 h relaxation time to the 6-hourly ECMWF Reanalysis v5 (ERA5) data, regridded onto the LMDZ-INCA model grid. In the LMDZ-INCA simulations, we used the monthly global anthropogenic emission of the chemical species and gases, including NH3, from the open-source Community Emissions Data System (CEDS) global bottom-up gridded inventories (McDuffie et al., 2020), with an initial horizontal resolution of 0.5° × 0.5°, interpolated onto the model horizontal grid. We used conservative regridding by ensuring that the total mass (e.g., emissions) was preserved during the interpolation. The CEDS global emission inventories provide emissions of NH3, NOx, SO2, NMVOCs, CO, OC, and BC from 11 anthropogenic sectors, including agriculture, energy, on-road and non-road transportation, residential, commercial, waste solvents, international shipping, and others (McDuffie et al., 2020). The CEDS inventory also includes emissions of NO and NH3 from agricultural soils with both synthetic and manure fertilizers. Because CEDS anthropogenic emissions are available only up to 2019, the CEDS emission fluxes for the post-2019 years were developed based on the combination of the CEDS emissions in 2019 with the carbon emission growth rate from 2019 to the target year. The data on the emissions growth rate were derived from the Carbon Monitor dataset (https://carbonmonitor.org/, last access: 1 August 2024) and calculated by source sector, by month, and by country. This approach to extrapolate emission fluxes based on CO2 data has been commonly applied to various species, particularly those associated with fossil fuel emissions. This has led to noticeable variations in emissions of species like SO2 and NOx, which have been simultaneously used in the LMDZ-INCA simulations with the full chemical scheme for sulfate and nitrate particle formation (Fig. S1 in the Supplement). However, as extrapolation calculations are conducted for each source sector separately and NH3 emissions mostly come from agricultural activities, which do not emit CO2 directly, applying this approach to extrapolate NH3 emissions for the post-2019 years resulted in almost invariant NH3 emissions after 2019 (Fig. S1). While this approach may seem simplistic for NH3 fluxes, it was used in this study to construct the spatial distribution of prior emissions, as we expect satellite data to drive year-to-year variations in the final inversion results. Because the anthropogenic emissions are derived from the CEDS inventory at a monthly resolution, they are uniformly distributed in time at the hourly resolution in the input to the LMDZ-INCA simulations, without incorporating diurnal cycles. We used fire emissions from the Global Fire Emissions Database (GFED4) (van der Werf et al., 2017) and biogenic volatile organic compound (VOC) emissions calculated from the ORCHIDEE vegetation model (Messina et al., 2016). Emission fluxes from anthropogenic and natural sources were prescribed to the model as monthly forcing files for different species. We sampled the simulated NH3 concentration at an hourly frequency over a 4-year period from 2019 to 2022. We used these hourly LMDZ-INCA model-simulated NH3 data for our analysis and inversions with IASI NH3 observations from the morning overpass.

2.3 Model and satellite comparison approach

The retrievals of NH3 total column observations, Ωobs, where “obs” stands for the “observed” IASI NH3 total columns in the IASI-ANNI-NH3-v4 data product, are implicitly dependent on assumed (prior) Gaussian-shaped vertical profiles of the NH3 volume mixing ratio above the land and sea surfaces (Clarisse et al., 2023). As a result, the comparison between satellite-retrieved and model-simulated column abundances is influenced by the shape of the vertical profile of NH3 mixing ratios assumed in the retrievals. The total column averaging kernel (AK), as provided in the ANNI-NH3-v4 data product, characterizes the altitude-dependent sensitivity of the retrieved atmospheric column to changes in the true profile (Eskes and Boersma, 2003). The importance of the AK in correctly comparing model simulations with the satellite observations has long been established (Cooper et al., 2020; Douros et al., 2023 for NOx; Koukouli et al., 2018 for SO2). There are several possible approaches of comparing model simulations with the satellite observations enabling the model-retrieval comparison to be independent of the assumption on the profiles used in the retrievals (Cooper et al., 2020; Douros et al., 2023; Cao et al., 2022; Ding et al., 2024). Here, we convolved the simulated LMDZ-INCA NH3 vertical profiles with the IASI NH3 total column AKs. The convolved LMDZ-INCA model simulation of the NH3 columns, Ωmod, where “mod” stands for the “modeled” LMDZ-INCA NH3 total column, is obtained by weighting the vertical integration of the model NH3 sub-columns (xl) with the averaging kernel (AKl) (Clarisse et al., 2023; Eskes and Boersma, 2003):

(1) Ω mod = l AK l x l ,

where the summation over l is over the 14 vertical levels of IASI NH3 retrievals (on which an assumed NH3 vertical profile and AKs of retrievals are defined). Here, xl values are obtained by interpolating LMDZ-INCA simulated original NH3 mole fraction vertical profiles (at 79 levels) onto the levels corresponding to IASI-ANNI-NH3-v4 retrievals (14 levels). The interpolation is performed in a manner that conserves the NH3 total column amount. The application of the AK to the simulated LMDZ-INCA NH3 profiles ensures the elimination of an assumed NH3 profile error contribution to the model–satellite comparison (Boersma et al., 2004; Eskes and Boersma, 2003) and that the model-simulated column is integrated in a way that reflects the retrieval sensitivity.

In order to illustrate the impact of the AK on modeled NH3 total columns, Fig. 1 shows LMDZ-INCA simulated NH3 mole fraction vertical profiles over a model grid cell in India on three clear-sky days (24 February, 30 March, 28 October) in 2019 and the modeled NH3 sub-columns with and without application of the AKs corresponding to one of the IASI pixels in that model grid cell, obtained from the modeled NH3 mole fraction profile interpolated on the vertical levels of IASI-ANNI-NH3-v4 retrievals. Despite the AK values varying relatively smoothly with altitude above the ground surface, the application of the AK can amplify modeled NH3 sub-columns at higher altitudes compared to those calculated without the AK (Fig. 1). This effect is generally due to the interaction between the vertical structure of the modeled NH3 vertical profile and the thickness (or pressure width) of the sub-columns. Because each NH3 sub-column represents the mass of NH3 within a specific pressure layer, layers with both significant NH3 concentrations and wider pressure intervals can result in larger NH3 sub-column values, even if the AK is not at its peak for those layers (Fig. 1). Consequently, even modest AK values at higher altitudes, combined with substantial NH3 mass in thick pressure layers, can lead to amplified contributions to the total column. The subfigures in Fig. 1 show that the LMDZ-INCA NH3 local vertical profiles mostly decrease with altitude and are almost similar to the Gaussian-shaped NH3 vertical profile centered at the land surface used as a prior in the IASI-ANNI-NH3-v4 retrievals. However, the model-simulated vertical NH3 profiles for some days (e.g., Fig. 1b) deviate from such a general smoothed NH3 vertical profile shape assumed in the IASI NH3 retrievals and show secondary peak(s) at some higher altitude. Although a short-lived species like NH3 largely resides within the atmospheric boundary layer and the long-term averaged NH3 vertical distribution in the boundary layer or in the lower troposphere could be assumed as smoothly decreasing with the altitudes, with maximum at the land surface, high-temporal-scale NH3 vertical profiles corresponding to the IASI overpass time can be a little more complex than this averaged smoothed profile, as observed in both model simulations (Fig. 1b) and aircraft- and surface-based in situ measurements (Cady-Pereira et al., 2024; Guo et al., 2021; Pu et al., 2020). This suggests a potential need to refine the assumed NH3 vertical profile for more accurate satellite NH3 retrievals, though the necessity for this refinement may depend on specific locations and meteorological conditions. Across all these days, the application of the AKs results in higher LMDZ-INCA NH3 total column values compared to the ones without applying the AKs. The AK from the ANNI-NH3-v4 product often exhibits magnitudes exceeding unity at altitudes corresponding to the LMDZ-INCA NH3 sub-column peak altitudes. This results in larger modeled NH3 total column values when using the AK.

https://acp.copernicus.org/articles/25/12379/2025/acp-25-12379-2025-f01

Figure 1An example illustrating the convolution of LMDZ-INCA NH3 vertical profiles with the IASI-ANNI-NH3-v4 averaging kernels (AK) to calculate the convolved LMDZ-INCA modeled NH3 total column (Ωmod). The LMDZ-INCA simulated original NH3 mole fraction vertical profile (in ppb) at 79 model levels (represented by the orange dashed line on the secondary x axis at the top) and the AKs from individual IASI NH3 pixels (represented by the blue dashed line on the primary x axis at the bottom) within a model grid cell centered at (25.5, 87.6) in India on three dates: (a) 24 February 2019, (b) 30 March 2019, and (c) 28 October 2019, and the corresponding NH3 sub-columns (in molecules cm−2) (secondary x axis at the top) from the NH3 vertical profiles simulated by LMDZ-INCA in this grid cell interpolated on the vertical levels of the assumed NH3 profile in the IASI retrievals (shown in red) and the convolved LMDZ-INCA sub-column profiles with the AK (displayed in green). The values of Ωmod with and without using the AK (in molecules cm−2) are also presented on the respective sub-plots for each day.

Download

At a given hourly output of the model simulations with the IASI observations from the morning overpass around 09:30 LST, we derive a corresponding LMDZ-INCA NH3 profile for each individual IASI NH3 pixel within a model grid cell that contains the center of this pixel and derive the convolved LMDZ-INCA modeled NH3 total column by applying the corresponding AK. Because the IASI resolution is much finer than that of LMDZ-INCA, this process yields several convolved modeled NH3 total columns for a single model grid cell. We then average these resulting observed (Ωobs) and corresponding AK-convolved modeled (Ωmod) NH3 total columns at the model spatial resolution (1.27° × 2.5°) for a proper comparison at the coarsest resolution between the two products. We exclude the grids of the averaged NH3 total columns from the analysis if there are fewer than four high-quality IASI pixels within a model spatial grid or if the grid-cell average of observations is negative due to some negative IASI NH3 total column retrievals.

2.4 Inversion of the global NH3 emission from IASI observations

We use the finite difference mass-balance (FDMB) inversion approach (Cooper et al., 2017; Lamsal et al., 2011) for the global inversion of NH3 emissions using NH3 total columns from the LMDZ-INCA model simulations and IASI NH3 observations. The inversion approach assumes that the short lifetime of NH3 of a few hours to a day in the atmosphere limits its horizontal transport on coarse grids and thus implicitly conducts local analysis, deriving local surface emissions (in a given model horizontal grid cell) based on local observations (corresponding the same model horizontal grid cell), even though it relies on full 4D (3D in space, 1D in time) simulations with LMDZ-INCA. The FDMB inversion approach relies on the estimation of the local sensitivities (β) of the simulations of NH3 total columns to changes in the local NH3 emission, addressing non-linear chemistry effects from the model simulations. It derives NH3 emission estimates at each grid cell by scaling a priori NH3 emission (here based on the anthropogenic emissions from the CEDS inventory), considering the local sensitivity of NH3 simulations to changes in emission and the relative difference between the observed and modeled NH3 total columns. Our objective is a daily estimate of 10 d running mean global anthropogenic NH3 emissions over land. However, with only satellite NH3 observations, it is challenging to distinguish between anthropogenic and natural sources. Therefore, our approach focuses solely on grid cells and days where and when the prior NH3 emission inventory indicates that the emissions are dominated by the anthropogenic sources and where and when we have retained grid-cell averages of the IASI NH3 observations (see Sect. 2.3). We use the daily combined anthropogenic NH3 emissions from CEDS and fire emissions from the GFED4 inventories, which are derived from monthly data and uniformly distributed at the hourly scale within each day in the LMDZ-INCA simulations, as a priori emissions (Ea) in the inversions. We select the grid cells with dominating anthropogenic NH3 emissions by identifying those where the ratio of anthropogenic NH3 emissions to total NH3 emissions (including anthropogenic, biogenic, and fire NH3 emissions) is greater than 0.6. This selection of dominant anthropogenic emissions slightly alters their spatial distribution over the years from 2019 onward due to variations in fire emissions across different years. We compute a 10 d running average at each grid cell of the modeled and observed NH3 total columns and of the a priori emissions to smooth out the daily fluctuations in observed NH3 total columns and to increase the sample size and spatial coverage of the daily flux estimates. Following Cooper et al. (2017) and Lamsal et al. (2011), for a given day and over each model horizontal grid cell, the satellite-constrained NH3 emission estimates (EIASI) using the observed IASI NH3 total columns (Ωobs) and the modeled LMDZ-INCA columns convolved with the AKs (Ωmod) corresponding to a priori NH3 emission (Ea) used in the model simulations are calculated as:

(2) E IASI = E a 1 + β Ω obs - Ω mod Ω mod ,

where a unitless scaling factor β accounts for the local sensitivity of the modeled NH3 total columns (ΔΩmod/Ωmod) to perturbations of the a priori NH3 emissions (ΔEa/Ea) and is defined as:

(3) β = Δ E a / E a Δ Ω mod / Ω mod .

We perform two LMDZ-INCA model simulations for each year: one using the prior emissions, with the anthropogenic NH3 emissions from the CEDS bottom-up inventory for the year 2019, updated for subsequent years (see Sect. 2.2), and another with a 40 % reduction in the CEDS anthropogenic NH3 emissions to derive β. We apply some filters to β, to the observed and/or the modeled NH3 total columns, and/or to the bottom-up emissions to select the grids corresponding to the dominating anthropogenic emissions and to avoid negative or extreme unrealistic estimates of the NH3 emissions from the inversions. We select grids over land only for (i) 0β10, (ii) βΩobs-ΩmodΩmod-1, and (iii) Ωmod and Ωobs>1×1015 molecules cm−2. Figure S2 in the supporting information shows an example of the distribution of monthly mean values of β for July 2019. The values of β are less than 1.5 over most of the major NH3-emitting land regions worldwide.

Satellite data gaps and some filters applied to observations and different variables in the FDMB inversion approach to focus on model grid cells dominated by anthropogenic NH3 emissions result in numerous grids or days where NH3 emissions could not be derived directly from the IASI NH3 observations. Therefore, the derivation of national or regional budgets of anthropogenic emissions at daily (10 d scale) to monthly and annual scale from the satellite observations requires a proper gap-filling of grid cell or days for which the inversion protocol does not yield emission estimates. To fill these gaps in IASI-constrained NH3 emissions, we use a rather conservative approach utilizing IASI-constrained NH3 emissions and the corresponding a priori CEDS anthropogenic NH3 emissions used in the inversions. The gap-filling is performed over some specific regions. In order to gap-fill the daily unconstrained NH3 emissions, we compute a daily scaling factor as a ratio between the IASI-constrained and the corresponding CEDS anthropogenic NH3 emissions integrated over a specific region. The missing emissions in that selected region are gap-filled by multiplying for each corresponding grid cell the CEDS NH3 emissions with these scaling factors. For a given day, when the spatial coverage of the IASI-constrained anthropogenic NH3 emissions is less than 60 % in a specific region due to poor satellite coverage and due to other data filtering to apply the FDMB inversion approach, we apply some constraints on the scaling factor to prevent spurious gap-filled emissions. If the IASI-constrained emissions coverage is less than 10 %, we directly use the prior CEDS NH3 emissions. For coverage between 10 % and 40 %, we cap the scaling factor at 1.25, and for coverage between 40 % and 60 %, we cap it at 1.5. For the gap-filling, we use 10 continental regions (illustrated in Fig. S3) over the main land worldwide as defined by Ge et al. (2022) based on 58 IPCC reference regions representing consistent regional climate features described in Iturbide et al. (2020). Ge et al. (2022) used the nine regions (except the “rest of the world” region) to access global and regional budgets and fluxes of atmospheric reactive N and S gases and aerosols. The fraction of the IASI-constrained and the gap-filled NH3 emissions per season across six regions for each year from 2019 to 2022 in Fig. S4 shows that the gap-filling of emissions over most of the regions is mostly higher during winter and minimum during spring. However, in some regions such as India and Africa, the percentage of the gap-filled emissions to the total seasonal emissions is higher in summer compared to other seasons due to relatively smaller numbers of satellite observations, caused by higher cloud coverage during the monsoon season. The overall percentage of the gap-filled NH3 emissions to the total emissions worldwide is maximum (up to ∼28 %) during winter and minimum (up to ∼11 %) during spring, and it ranges from ∼16 % to 19 % during summer and autumn (Fig. S4). However, because the attribution of the NH3 emissions in winter to the total annual emissions is smaller compared to the other seasons, the total gap-filled emissions in winter are still lower than in the other seasons (Fig. S5).

3 Results

We present the results from the LMDZ-INCA model comparisons with satellite NH3 observations and inversions of NH3 emissions at both global and regional scales over land areas. For regional analysis, we select six major NH3 source regions: India, China, Africa, Europe, North America, and South America (Fig. S6). We present and discuss our results across various temporal scales, ranging from daily to monthly, seasonal, and annual.

3.1 Model and satellite comparison of NH3 total columns

We start by comparing the LMDZ-INCA model-simulated NH3 total columns driven by the prior emissions and convolved with the AKs against the IASI NH3 observations, with first a worldwide overview and then some focuses on regions over land. In addition to assessing global and regional mean comparisons between the modeled and the observed IASI NH3 columns, we also calculate the Pearson's correlation coefficient (r) and root mean square error (RMSE) between the annual or monthly mean simulated and observed values at the model grid level as part of our comparative analysis (shown in Figs. 2 and 3 for 2019 and Fig. S7 for all years from 2019 to 2022).

https://acp.copernicus.org/articles/25/12379/2025/acp-25-12379-2025-f02

Figure 2The spatial distributions of the annual mean NH3 total columns (in molecules cm−2) for the year 2019 (a) from the IASI-ANNI-NH3-v4 observations (Ωobs) and (b) from LMDZ-INCA model-simulated columns after applying the averaging kernel (Ωmod), as well as (c) the difference (Ωmod−Ωobs) between them. The last column (d) shows the scatter density plots between these annual mean observed IASI and the corresponding LMDZ-INCA model NH3 columns across all model grid cells worldwide over land. In the scatter plots, the solid black line represents the one-to-one line, while the dashed red line represents the regression line.

Figure 2 compares the annual mean modeled LMDZ-INCA NH3 columns (Ωmod) with the observed IASI NH3 column retrievals (Ωobs) regridded on the LMDZ-INCA model grid (1.27° × 2.5°) worldwide over land for the year 2019 (Fig. S7 for all 4 years from 2019 to 2022). It shows that the annual mean worldwide spatial distributions of the modeled NH3 columns are approximately similar to those of the IASI NH3 retrievals and that there is a good spatial correlation (r=0.71) between them. However, the IASI NH3 observations indicate higher NH3 abundance compared to the LMDZ-INCA simulations across most of the regions worldwide, except over the South Asia and Eastern Siberia regions (Fig. 2). We observe an overall underestimation of the global annual mean LMDZ-INCA NH3 columns Ωmod (mean: 0.33×1016 molecules cm−2) compared with the observed IASI retrievals Ωobs (mean: 0.54×1016 molecules cm−2). The RMSE between the annual mean gridded Ωmod and Ωobs worldwide is 0.52×1016 molecules cm−2.

Emphasizing the regional analysis, in Fig. 3, we found that the modeled NH3 total columns are lower than the IASI NH3 observations over most of the selected regions, except over the Indian region (also Southeast Asia, not shown; see Fig. 2), and also over a region in Eastern Siberia, where the model shows an overestimation of the observations (not shown, but see Fig. 2). The annual regional mean of monthly Ωmod over the China, Africa, Europe, South America, and North America regions are respectively ∼4 %, ∼52 %, ∼53 %, ∼58 %, and ∼70 % smaller compared to Ωobs (Fig. 2). However, over the Indian region, the annual regional mean of Ωmod is ∼44 % larger than Ωobs. The monthly regional mean time series of the IASI NH3 observations in Fig. 3 show that the NH3 columnar abundance over most of the regions is higher during spring and/or summer months compared than in winter. These elevated NH3 columns observed during spring and/or summer months compared to winter months can be attributed to increased agricultural activities, particularly the prominent use of N-fertilizers in crops during warmer seasons. High NH3 concentrations are also influenced by temperature, as warmer temperatures can enhance NH3 volatilization from soils and agricultural surfaces (Sutton et al., 2013). This synergistic effect of agricultural practices and temperature contributes to the seasonal variation in NH3 emissions, with higher concentrations during spring and/or summer months.

https://acp.copernicus.org/articles/25/12379/2025/acp-25-12379-2025-f03

Figure 3The monthly regional mean time series of the observed IASI NH3 total columns (Ωobs), the corresponding LMDZ-INCA modeled columns (Ωmod) (primary y axis), and the monthly anthropogenic (CEDS) and fire (GFED4) NH3 emissions (secondary y axis) from bottom-up inventories used in the model simulations for the year 2019 for different selected regions: (a) India, (b) China, (c) Africa, (d) Europe, (e) South America, and (f) North America (first column). The second column in each subfigure shows the scatter density plots between the monthly mean gridded observed IASI and the corresponding modeled NH3 total columns over the land grid cells at 1.27° × 2.5° resolution in each region. In the scatter plot, the solid black lines represent the one-to-one line, while the dashed red lines represent the regression line.

Download

The monthly regional mean modeled NH3 columns in Fig. 3 mostly follow the seasonal variation of the IASI observations over the South American and African regions, as well as over the European region to some extent. However, for other remaining regions, especially over the Indian, Chinese, and Middle East (not shown) regions, the seasonality of the modeled NH3 columns largely deviates from the observations, and we see a large scatter between the monthly mean gridded modeled and observed NH3 columns (Fig. 3a and b). Over the Indian region, the model shows two main peaks, with the highest peak in May following a secondary smaller peak in September, whereas the IASI observations show the highest peak in July and a smaller one in April (Fig. 3a1). The high NH3 loading from the IASI observations over the Indian region from June to August with a maximum peak in July and a secondary, much smaller peak in April (Fig. 3a1) is consistent with the cropping cycle (Kuttippurath et al., 2020), high usage of the N-fertilizers, and high temperature during these monsoon and summer months in the Indo-Gangetic Plain (IGP) region spanning the banks of the Indus and Ganges rivers and their tributaries (Beale et al., 2022). However, as mentioned before, the variation and two distinct peaks in the modeled NH3 columns is similar to the variation and peaks in the anthropogenic NH3 emissions used in the model simulations (Fig. 3). Similarly, over the Chinese region, the observed NH3 columns show the highest peak in July, which is not captured by the simulations that show the maximum peak in May, followed by a small peak in September. In these regions, because of differences in seasonal variations between the modeled and observed NH3 columns, we see weak spatial correlations between the monthly mean observed and modeled gridded NH3 columns (Fig. 3) that are smaller than in other regions like Africa, South America, and Europe, where the seasonality in both the modeled and observed NH3 total columns is roughly similar.

Figure 3 also shows the seasonal cycles in the regional anthropogenic (CEDS) and fire (GFED4) emissions from the global emission inventories used in the model simulations. Over some regions like South America, North America, and Africa, fire-related NH3 emission has a visible contribution to this seasonal variation in total emissions, whereas over the India, China, and European regions, this attribution is very small (Fig. 3). This finding shows that the seasonality in the modeled NH3 total columns mostly varies with the seasonality in the combined anthropogenic and fire-related NH3 emissions over these regions (Fig. 3). Therefore, the seasonality differences between the model and observations over some regions are mostly due to the different seasonality embedded in the prior NH3 emissions used for the model simulations (Fig. 3). The model comparison analysis for other years from 2020 to 2022 shows a similar behavior of the modeled and observed NH3 columns. Notably, the seasonality of anthropogenic NH3 emissions in the CEDS inventory is mainly derived according to the European agricultural practices based on the ECLIPSE v5 model, which leads to NH3 emission peaks mostly in May and September corresponding to the application of fertilizers before planting and after harvesting the crops (Beale et al., 2022). However, this seasonal variation of the NH3 emissions in CEDS may not accurately reflect the diverse agricultural practices in other regions like India, China, and the Middle East (Fig. 3) (Beale et al., 2022; Chen et al., 2023a; Kuttippurath et al., 2020). This is clearly evident from the large difference in the seasonal variations between the IASI NH3 observations and LMDZ-INCA model simulations over these regions, as the model is dominatingly driven by the CEDS anthropogenic NH3 emissions in these regions (Fig. 3). This dependency on European seasonality in CEDS inventory NH3 emissions for other major agricultural NH3-emission regions with diverse agricultural practices, like India and China, requires region-specific data to improve the accuracy of emission inventories. For some regions like South America, Africa, and North America, the observed IASI NH3 total columns show high values during specific periods, which is mainly attributed to the heightened NH3 loading resulting from biomass burning from wildfires in these regions. The underestimation and/or distinct seasonality of the modeled NH3 columns compared to the observed IASI NH3 retrievals over different regions indicate biases and/or differential seasonality in the prior NH3 emissions from the inventories over these regions.

Previous validation studies of earlier IASI ANNI NH3 retrieval products (e.g., with version 3) showed relatively good agreement with in situ and FTIR measurements (Guo et al., 2021; Wang et al., 2020). Although, the IASI-ANNI-NH3-v4 product introduces important improvements compared to the earlier versions and expects minimal biases, a comprehensive validation of this version has not yet been conducted, though such a validation is anticipated in upcoming studies (Clarisse et al., 2023). Therefore, the bias between the IASI NH3 columns and LMDZ-INCA model simulations mainly reflects an underestimation of agricultural NH3 emissions in the prior CEDS inventory, as well as a misrepresentation of their seasonal variation, particularly in the major agricultural regions. These limitations in the prior CEDS NH3 emissions propagates into the model-simulated NH3 columns. However, the elevated NH3 columns observed by IASI during non-growing seasons in regions such as Europe and North America may also be influenced by retrieval uncertainties related to surface temperature effects and low thermal contrast. Therefore, we cannot fully rule out remaining retrieval uncertainties in the absence of comprehensive validation of this version of the IASI NH3 retrievals.

3.2 Evaluation of the estimated NH3 emissions derived from inversions with the IASI NH3 observations

In order to validate our atmospheric inversion approach (more specifically, to validate the linear approximation of the atmospheric chemistry model based on a single perturbed emission simulation) and strengthen our confidence in the NH3 emission estimates, we have conducted a LMDZ-INCA model simulation using the IASI-constrained NH3 emission estimates derived from our global inversions for the year 2019 and compared the simulated NH3 total columns with the IASI NH3 total column observations. As the current LMDZ-INCA model framework only reads NH3 emissions at monthly resolution and uniformly distributes them across hours without incorporating diurnal or day-to-day variability (see Sect. 2.2), our model simulation for this evaluation uses the monthly average of the daily (at 10 d scale) inversion estimates rather than 1 d resolution inputs. However, this does not limit our capability to evaluate the inversion estimates based on comparisons to monthly and annual averages of the observations.

At the annual scale globally, the spatial correlation coefficient (r) between the yearly mean model-simulated NH3 total columns over the model horizontal land grid cells at 1.27° × 2.5° resolution and corresponding IASI NH3 observations improve from 0.71 (using prior emissions) to 0.90 (using IASI-constrained NH3 emissions), while the RMSE decreases by ∼29 % from 0.52×1016 to 0.37×1016 molecules cm−2 (Fig. S8a). Similarly, at the monthly scale globally, the r value and RMSE between the model simulations with the IASI-constrained NH3 emissions and the IASI observations improve from 0.51 (using prior emissions) to 0.83 (using IASI-constrained NH3 emissions), while the RMSE decreases by ∼34 % from 0.88×1016 to 0.58×1016 molec. cm−2 (Fig. S8b). The LMDZ-INCA simulation driven by the IASI-constrained NH3 emissions reduces the mean fractional bias (FB) globally from −0.87 to −0.37 at the annual scale and from −1.07 to −0.63 at the monthly scale, compared to the simulation using the prior CEDS NH3 emissions (Fig. S8).

At the monthly scale and across major NH3 regions, including India, China, Africa, Europe, South America, and North America, the spatial correlation coefficients (r) and RMSE between the model simulations with estimated NH3 emissions from inversions and the IASI observations are respectively much higher and smaller than when the simulations are based on the prior CEDS anthropogenic NH3 emissions (Fig. 4). The spatial correlation coefficient (r) between the monthly mean IASI-constrained NH3 emissions' model simulations of the NH3 total columns over the model horizontal land grid cells at 1.27° × 2.5° resolution and the corresponding IASI NH3 observations exceeds ∼0.8 in most of the regions for this 2019 validation analysis (Fig. 4). In one of the major NH3-emission regions, i.e., India, at the monthly scale, the spatial correlation increases from 0.40 to 0.86, and RMSE reduces by ∼50 % from 3.83×1016 to 1.91×1016 molec. cm−2 (Fig. 4). Similarly, over another major NH3-emission region, i.e., China, at the monthly scale, the spatial correlation increases from 0.40 to 0.79, and RMSE reduces by ∼27 % from 1.19×1016 to 0.87×1016 molec. cm−2 (Fig. 4). These findings demonstrate the general improvement brought about at different spatiotemporal scales by the update of the emission estimates from our inversions and thus the internal consistency of our global inversion framework despite the rather simple linearization of the chemistry transport underlying it. This improvement of the fit to the IASI NH3 observations is a strong indication of the robustness of our inversion-based estimate of the global NH3 emissions. The FB metric quantitatively confirms bias reduction in the modeled NH3 columns regionally when using IASI-constrained NH3 emissions in the model simulation compared to the prior CEDS NH3 emissions (Fig. S9). Specifically, we observe a clear decrease in FB across all regions, except for India. In the case of India, although the FB remains slightly elevated, the RMSE shows substantial improvement, indicating better representation of the magnitude and the spatial and temporal variability, even if the mean offset is not fully corrected from our inversion estimates.

https://acp.copernicus.org/articles/25/12379/2025/acp-25-12379-2025-f04

Figure 4Comparison of the monthly averages of the gridded IASI NH3 column observations (Ωobs) over the model horizontal land grid cells at 1.27° × 2.5° resolution to the corresponding averages of these observations with two simulations of LMDZ-INCA (Ωmod) using the IASI-constrained NH3 emission estimates derived from our global inversions (red) and using the prior CEDS NH3 emissions (black) over different regions for the year 2019. Each panel shows the correlation coefficient (r) and root mean square error (RMSE) between modeled (from both prior and IASI-constrained NH3 emissions from inversions) and observed IASI NH3 columns. The black line denotes the one-to-one line.

Download

3.3 IASI-constrained NH3 emissions

In the subsequent subsections, we present and discuss the gap-filled global daily (10 d scale) NH3 emission estimates integrated on different temporal and spatial scales. Over the 4-year period of our emission estimates, we present global and regional annual budgets, including the mean emissions over this period, with the range defining minimum and maximum annual emissions, as well as the variation of the regional estimates at different temporal scales ranging from daily (10 d scale) to monthly, seasonal, and annual.

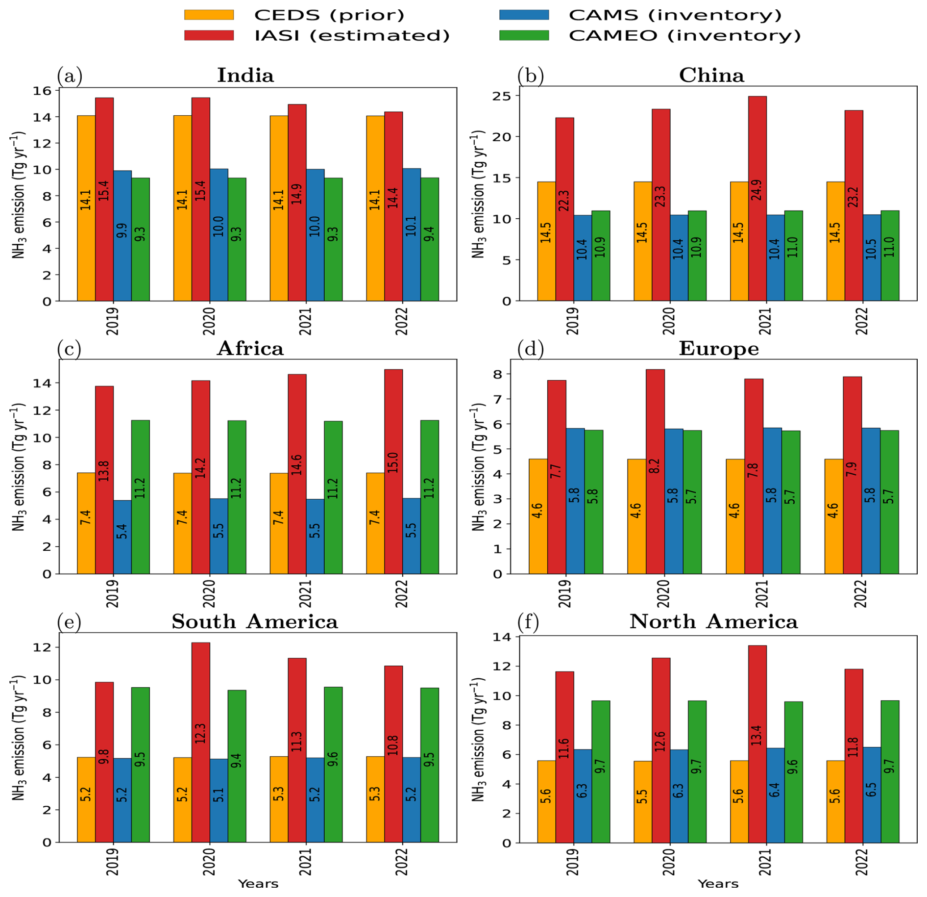
3.3.1 Global annual NH3 emissions

The spatial distribution of the IASI-constrained annual NH3 emissions averaged over the 4-year period (2019–2022) in Fig. 5 (Fig. S10 for each year from 2019 to 2022) clearly reveals the main hotspots of the high anthropogenic NH3 emissions over the globe on land areas. Figure 5 shows that the 4-year-averaged annual IASI-constrained NH3 emissions have a similar spatial distribution to the prior CEDS anthropogenic NH3 emissions. However, over most of the major NH3-emitting regions over the globe and over land areas, the IASI-constrained NH3 emissions are higher compared to the prior CEDS emissions (Fig. 5). This finding shows that the South and East Asian regions are the highest anthropogenic NH3-emitting regions over the globe.

https://acp.copernicus.org/articles/25/12379/2025/acp-25-12379-2025-f05

Figure 5Spatial distribution of the 4-year (2019–2022) averaged annual NH3 emissions, showing (a) the prior CEDS anthropogenic NH3 emissions and (b) the IASI-constrained estimated NH3 emissions from our global atmospheric inversions.

Figure 6 presents the global annual IASI-constrained NH3 emissions and a comparison with the prior CEDS anthropogenic NH3 emissions for all 4 years from 2019 to 2022. The slight differences in the prior CEDS emissions over the 4 years are mainly due to the different coverages of the dominating anthropogenic NH3 emissions based on the CEDS anthropogenic and GFED fire emissions (see Sect. 2.4). For each year, the IASI-constrained NH3 emissions are higher than the prior CEDS emissions. The average of the global annual NH3 emission estimates over the 4-year period is ∼97 (93.8–99.9) Tg yr−1, which is ∼61 % (55 %–65 %) higher than the prior CEDS anthropogenic NH3 emissions. The global annual NH3 emission estimates show an increasing trend from the year 2019 to 2021 (Fig. 6). However, NH3 emission estimates for 2022 (∼96 Tg yr−1) are lower than those for 2020 and 2021, though still higher than those for 2019 (∼94 Tg yr−1).

https://acp.copernicus.org/articles/25/12379/2025/acp-25-12379-2025-f06

Figure 6Global annual NH3 emissions for each year from 2019 to 2022, showing the prior CEDS anthropogenic NH3 emissions (orange) and IASI-constrained (red) NH3 emissions from inversions.

Download

3.3.2 Regional NH3 emissions and seasonal variation

Figure 7 illustrates the daily (at 10 d scale) variation of estimated NH3 emissions for 4 years from 2019 to 2022 over the six specific regions, i.e., India, China, Africa, Europe, North America, and South America (defined in Fig. S6), which have the major anthropogenic ammonia emissions. In this figure, the prior CEDS anthropogenic NH3 emissions of the year 2019 over the globe and over land areas are almost the same in magnitude and seasonal variation across the 4 years (Fig. 6), and thus the representation is shown only for the year 2019. Figure 8 shows the spatial distributions of the 4-year-averaged annual IASI-constrained NH3 emissions and the prior CEDS emissions over the six regions. The budgets of the regional annual estimated and prior NH3 emissions over the 4-year period for these selected regions are presented in Fig. 9.

The Indian and Chinese regions in the South and East Asia are the major anthropogenic ammonia-emitting regions in the world, with a majority of emissions originating from large crop-specific agriculture activities, including the use of synthetic fertilizers, manure, and emissions from soils and livestock. Over the Indian region, the highest NH3 emission is from the Indo-Gangetic Plain region, which is attributed to the intensive agriculture practices (Fig. 8a). The average annual NH3 emission estimate for the 4-year period over the Indian region is  15.0 (14.4–15.4) Tg yr−1, which is ∼7 % (∼2 %–10 %) higher than the prior CEDS anthropogenic NH3 emissions (∼14.1 Tg yr−1). The annual estimates over the Indian region show a slowly decreasing trend over the 4-year period (Fig. 9a). Notably, the seasonal variations of the estimated NH3 emissions across all 4 years are similar to each other; however, they are always different from the prior CEDS NH3 emissions (Fig. 7a). The seasonal variation in NH3 emissions across different regions in the CEDS inventory dataset is rather coarse (Beaudor et al., 2023) and mostly based on the European practices of agricultural activities (Beale et al., 2022). The CEDS NH3 emissions show two peaks, one in May and one in September, whereas the estimates show the main peak in July and August and some small peaks from January to April for each inversion year. The high NH3 emission estimates over the Indian region for July–August with a peak in July are consistent with the cropping cycle (mainly rice cultivation followed by corn), high usage of N-fertilizers, and high temperature during these monsoon and summer months in the Indo-Gangetic Plain region. The high estimates in the winter and spring months can be attributed to the usage of N-fertilizers during the winter and spring crop seasons, particularly from the predominant wheat cultivation. Biomass burning is also a small contributing source of NH3 emissions in this region, with the majority of fires resulting from crop residue and stubble burning in the spring and autumn before replanting. Therefore, there should not be a significant problem of attribution between the anthropogenic and biomass burning emissions here.

The majority of IASI-constrained and prior CEDS anthropogenic NH3 emissions over the Chinese region are confined to the East China region (Fig. 8b). The 4-year average of inverted annual NH3 emission over the Chinese region is ∼23.4 (22.3–24.9) Tg yr−1 (Fig. 9b). This averaged IASI-constrained NH3 emission is ∼62 % (∼54 %–72 %) higher than the prior CEDS emissions (∼14.5 Tg yr−1) used in the inversions. For this region, we see an increasing trend in the estimated ammonia emissions from 2019 to 2021 (Fig. 9b). The annual NH3 emission estimate for 2022 (23.2 Tg yr−1) is lower than those for the maximum in 2021 (∼24.9 Tg yr−1), comparable to those in 2020 (∼23.3 Tg yr−1); however, it remains higher than those for 2019 (∼22.3 Tg yr−1) (Fig. 9b). A majority of the ammonia emissions in this region originate from the crop-specific agriculture activities, more specifically the applications of synthetic fertilizer and livestock manure in different crop cultivations (Xu et al., 2018). The daily (at 10 d scale) variation of the NH3 emissions in Fig. 7b shows a strong seasonality in the estimates across all years over this region. The seasonality in the emission estimates across all years is different from the prior CEDS NH3 emissions used in the inversions. We observe mainly two high peaks in the estimates, one in spring (March–April) and one in summer (June–July), whereas the CEDS emissions show a peak in May and another in September. The NH3 emission estimates also show a small third peak in October for inversion years from 2020 to 2022, except for 2019. The strong seasonality in the emission estimates in this region agrees well with the crop cycle when wheat cultivation dominates in spring and rice cultivation in the summer months (Xu et al., 2018).

As discussed before in Sect. 3.1, seasonality in the CEDS inventory NH3 emissions for most of the regions is mostly based on European agricultural practices, corresponding to the application of fertilizers before planting and after harvest (Beale et al., 2022). This does not accurately capture the NH3 emissions in regions like China, India, and the Middle East, where agriculture practices differ significantly (Beale et al., 2022; Chen et al., 2023a; Kuttippurath et al., 2020). By contrast, our inversion estimates based on the satellite data show more realistic seasonality of NH3 emissions across different regions, closely aligning with their respective crop and agriculture cycles.

The South America, Africa, and North America regions are fire-dominated regions, particularly during the dry season, when wildfires are prevalent (Fig. S11) (Chen et al., 2023b). The biomass burning from the wildfires plays a significant role in contributing to the total ammonia emissions in these regions. For example, over the 4-year study period, biomass burning NH3 emissions from GFED contribute ∼11 %–15 % in South America, ∼15 %–17 % in Africa, and ∼5 %, with a high peak of ∼26 % in 2021, in North America relative to the anthropogenic NH3 emissions from the CEDS inventory. When fire emissions attribution in the prior emissions used for inversion is inaccurate, the predominant anthropogenic emission grids are misrepresented. In contrast, the IASI NH3 observations will indicate high NH3 emissions over these grid cells due to biomass burning. The recent release of the fifth version of the Global Fire Emissions Database (GFED5) indicates a 61 % increase in global burned area compared to GFED4 (Chen et al., 2023b). This increase may result in anthropogenic NH3 grids from the inversions corresponding to biomass burning grids, consequently revealing heightened predominant anthropogenic NH3 emission estimates over these regions due to a non-local contribution from transport from neighboring predominant biomass burning grids. Biomass burning generates NH3 advection at higher altitudes, which also breaks our assumption of weak lateral transport in the FDMB inversion approach, possibly attributable to large errors in the emission estimates over these regions.

https://acp.copernicus.org/articles/25/12379/2025/acp-25-12379-2025-f07

Figure 7Daily (at 10 d scale) variation of the total estimated and the prior CEDS anthropogenic NH3 emissions for the 4 years from 2019 to 2022 integrated over each selected region: (a) India, (b) China, (c) Africa, (d) Europe, (e) South America, and (f) North America.

Download

For the South American and African regions, our inversions respectively provide ∼11.1 (∼9.8–12.3) Tg yr−1 (Fig. 8e) and ∼14.4 (∼13.8–15.0) Tg yr−1 (Fig. 9c) of the annual NH3 emissions averaged over the 4-year period. These averaged annual estimates for these regions exceed the prior CEDS emissions by approximately 2.1 and 2 times, respectively. Our estimates show a clear increasing trend in annual NH3 emission over Africa (Fig. 9c). However, a decreasing trend of annual NH3 emissions from 2020 to 2022 is observed over the South American region (Fig. 9e). For the South American region, we observe a high peak in the estimated emissions during September to October in each year, and this peak in the year 2020 is much higher than that from other years (Fig. 7e). In fact, the peak in 2021 is higher than the one from the estimates in 2019 and 2022. The seasonality of the estimates over the South American region is similar to the prior CEDS anthropogenic NH3 emissions (Fig. 7e). There was a large increase in the number of fires in 2020 compared to other years in this region (Fig. S11a), which can also be observed from an enhanced observed NH3 loading from IASI observations over this region in these years (Fig. S7). The highest peak in the estimated NH3 emissions in 2020 is mainly because of the contribution from the relatively higher number of fire occurrences in this year. For the African region, the prior CEDS NH3 emissions show almost a flat seasonality relative to the estimates, with a small peak in May, whereas the estimates show at least two clear peaks: in February–March and in July–August (Fig. 7c). The NH3 emissions over this region remain high during other seasons also (Fig. 7c). Although we exclude grids dominated by the biomass burning emissions based on the GFED4 bottom-up inventory in our inversions, mitigating their influence on the inversion estimates is challenging. This is due to the complexity arising from the fact that bottom-up NH3 emissions lack the most updated information on fire occurrences, and the transport from biomass burning areas can extend to other regions, which is not accounted for in our inversion approach (Chen et al., 2023b).

https://acp.copernicus.org/articles/25/12379/2025/acp-25-12379-2025-f08

Figure 8Spatial distribution of the total annual NH3 emissions averaged over the 4-year period (2019–2022) across six regions, i.e., (a) India, (b) China, (c) Africa, (d) Europe, (e) North America, and (f) South America, showing bottom-up prior CEDS emissions (first column) and IASI-constrained estimated emissions (EIASI) using the IASI NH3 observations (Ωobs).

We estimate ∼12.4 (11.6–13.4) Tg yr−1 4-year-averaged annual NH3 emissions over the North American region, which is approximately 2.2 times higher than the prior CEDS anthropogenic NH3 emissions (Fig. 9f). Our inversion estimates show an increasing trend of annual NH3 emissions from 2019 to 2021 over this region, but the 2022 estimates are smaller than those from 2020 and 2021 and comparable to the 2019 emissions (Fig. 9f). The estimates show a strong seasonality, with peak emissions in April–May across all years (Fig. 7f). For the years 2020 to 2022, especially for 2020 and 2021, we observe a secondary peak during August and September, which is less visible in the 2019 emissions. The high secondary peak in 2020 and 2021 may result from increased biomass burning due to more wildfires in these years compared to 2019. Similar to the South American and African regions, in the North American region, the impact of biomass burning from fires from some regions may contribute to the higher ammonia emissions (Fig. S11c). In fact, the highest peak in the estimated emissions in 2020 in this region corresponds to an extreme cluster of wildfire events known as the “August Complex Fire”. This event originated as 38 separate fires started by lightning strikes on 16–17 August 2020 in the western U.S., leading to the first “gigafire” event in modern history in California (Campbell et al., 2022; Makkaroon et al., 2023). Campbell et al. (2022) showed that this 2020 “gigafire” contributed up to 83 % of the total nitrogen emissions in the western U.S. However, based on the GFED4 inventory fire emissions, our inversion could not filter out the grids dominated by these wildfire emissions during such events in this region.

Over the European region, hotspot regions with high anthropogenic NH3 emissions are well detected from our inversion estimates (Fig. 8d). The 4-year average of the annual NH3 emission estimates over this region is estimated as ∼7.9 (7.7–8.2) Tg yr−1 (Fig. 9d). The estimated annual emissions over this region in 2020 are higher than in the other remaining inversion years; however, the estimates still remain approximately comparable across these years (Fig. 9d). Our emission estimates over the European region are ∼72 % higher compared to the prior CEDS anthropogenic NH3 emissions. The estimates show a strong seasonality across all years, with high emissions from March to May peaking in April (Fig. 7d). This seasonality in the estimates differs from the prior CEDS anthropogenic NH3 emissions, which show a high peak in May and a smaller one in September (Fig. 7d). The strong seasonality in the emission estimates agrees well with the crop cycle over the European region when the main cultivation activities dominate in the spring and summer seasons.

Other than these selected regions, we also briefly analyze regional estimates over the Middle East region, a comparatively smaller ammonia-emitting region (Fig. S12). A recent study by Osipov et al. (2022) based on ship-borne measurements around the Arabian Peninsula and modeling showed that NH3 emissions over the Middle East region are significantly underestimated, potentially by a factor exceeding 15, from the EDGAR inventory emission used in their model simulations. While natural sources of ammonia play a negligible role in this region, the vast majority of emissions arise from industrial and agricultural activities. Over the Middle East region, our average annual anthropogenic estimate of ∼4.4 Tg yr−1 ( 4.4–4.5 Tg yr−1) is approximately 49 % higher than the prior CEDS emissions (∼3.0 Tg yr−1). The annual NH3 emissions in these regions remained almost the same over the 4-year period (Fig. S12c). The estimated NH3 emissions show strong seasonality, with a high peak in May–April and a second peak in July–August, across all four years, whereas the prior CEDS anthropogenic NH3 emissions show two peaks: in May and in September (Fig. S12b).

4 Discussion

4.1 Comparison with bottom-up inventories and other NH3 emission estimates

In this section, we compare our IASI-inverted NH3 emission estimates with other global and regional bottom-up inventories, as well as with other available NH3 emission inversion estimates reported in recent literature. We use two global bottom-up NH3 emission inventories: (i) CAMS-GLOB-ANT v6.2 (developed by combining the CEDSv2 emission trends and temporal profiles from CAMS-GLOB-TEMPO and EDGAR v6 historical monthly NH3 emission data up to 2018) 0.1° × 0.1° monthly dataset (Granier et al., 2019; Soulie et al., 2024) from 2019 to 2022 and (ii) the process-based agricultural and natural soil NH3 emissions from the Calculation of AMmonia Emissions in ORCHIDEE (CAMEO) model at 1.27° × 2.5° horizontal and monthly temporal resolutions (Beaudor et al., 2023). CAMEO simulates NH3 sources from the agricultural sector, from livestock manure management (from animal housing and manure storage to grazing) to synthetic and organic nitrogen application to soil. Because CAMEO emissions are not limited only to cultivated/livestock areas and are dynamically dependent on environmental conditions and atmospheric deposition, emissions from natural ecosystems are also exploited in this study. For these inter-comparisons, we regridded the global NH3 emissions from the bottom-up inventories on the grids (1.27° × 2.5°) of our estimated emissions. We also sub-sampled the monthly emissions from the bottom-up inventories on the common grids corresponding to the IASI-constrained monthly NH3 emissions derived from the daily (at 10 d scale) estimates. Note that CAMEO additionally includes natural soil NH3 emissions, whereas CAMS emissions do not include them and provide only anthropogenic NH3 emissions.

https://acp.copernicus.org/articles/25/12379/2025/acp-25-12379-2025-f09

Figure 9The regional annual NH3 emissions spanning from 2019 to 2022 over the six regions over land areas, derived from the IASI-constrained daily global estimates, the prior CEDS inventory anthropogenic NH3 emissions, and two independent global bottom-up inventories: CAMS (anthropogenic NH3 emissions) and CAMEO (combined agriculture and natural soil NH3 emissions). The CAMEO NH3 emissions are for the last available year, 2014, selected on the common grids of each year's estimates.

Download

The 4-year (2019–2022) average of the global annual anthropogenic NH3 emissions from the CAMS bottom-up inventory (∼52.5 Tg yr−1), sub-sampled on the common grids where the IASI-constrained monthly emissions are available, is lower than the prior CEDS anthropogenic NH3 emissions (∼60.5 Tg yr−1), whereas global annual NH3 emissions from CAMEO from the combined agricultural and natural soil sectors (∼71.1 Tg yr−1) are higher than those from both CEDS and CAMS. Therefore, we have an even larger relative difference between the estimated and the CAMS emissions than the relative difference between the estimated and CEDS emissions (Fig. 9). However, this relative difference between the estimated and CAMEO's combined agriculture and natural soil NH3 emissions is smaller compared to the relative difference between the estimated and CEDS. The 4-year-averaged global annual NH3 emissions from the inversions are ∼1.8 times higher than the CAMS anthropogenic NH3 emissions and ∼1.4 times higher than the CAMEO combined agriculture and natural soil NH3 emissions. Figure 9 shows a comparison between the IASI-inverted annual emissions and the corresponding CAMS and CAMEO emissions over six regions (and over the Middle East in Fig. S12) and across 4 years, revealing consistently higher IASI-constrained NH3 emissions compared to these global bottom-up inventories.

We also compare our estimates with the recent global NH3 inversion emission estimates by Luo et al. (2022) based on a previous version of IASI NH3 observations from 2008 to 2018, with the recent estimates from Dammers et al. (2022) derived using the CrIS observations from 2013 to 2020, and with some other regional inversion estimates. Luo et al. (2022) estimated global annual NH3 emissions at ∼78 (70–92) Tg yr−1 averaged over a period from 2008 to 2018, and Dammers et al. (2022), over a period from 2013 to 2020, had 216.6±66.2 Tg yr−1 (for all detected source locations) and 74.1±17.7 Tg yr−1 (for inventory-identified source locations). Our averaged global annual NH3 emission estimates of ∼97 (94–100) Tg yr−1 from 2019 to 2022 are ∼25 % higher than the average total estimates (∼78 Tg yr−1) from Luo et al. (2022). This can partly be explained by the fact that the IASI version 4 NH3 column values used in this study are also about 10 %–20 % higher than the earlier version 3 (Clarisse et al., 2023) used by Luo et al. (2022) due to a reduction of the retrieval biases. This also has to be explained by the use of a different inversion approach, of a different chemistry transport model, and of AKs from IASI NH3 observations to model-simulated NH3 columns in this study. Our estimates align more closely with the upper range (∼92 Tg yr−1) of their emission estimates obtained by setting a 200 % perturbation to the modeled atmospheric NH3 lifetime in their inversions. It should be noted that Luo et al. (2022) corrected their NH3 emissions over the Indian and the East China regions during 2013 to 2018, which were impacted by the rapid changes in SO2 emissions and concentrations in these regions, especially the rapid decrease in SO2 emissions over China. A decrease in SO2 emissions leads to an increase in NH3 concentrations/columns in the troposphere because lower SO2 levels reduce the formation of ammonium sulfate aerosols, leaving more free ammonia in the atmosphere, which increases its concentration in the air (Luo et al., 2022). This correction in Luo et al. (2022) leads to a small increase in NH3 emissions over the Indian region. However, a substantial reduction of ∼7–8 Tg for the year 2018 is observed over the East China region. Without any correction for SO2 trends, our estimates (for 2019) are closer to their estimates for the year 2018. In contrast, our average total global estimate of ∼97 (93.8–99.9) Tg yr−1 for the period 2019–2022 is ∼2.2 times smaller than the 216.6±66.2 Tg yr−1 total from the sum of all detected source estimates from Dammers et al. (2022). Additionally, our 4-year-averaged estimates are  31 % higher when comparing with their estimates (74.1±17.7 Tg yr−1) corresponding to the sources in the CAMS-GLOB-ANT v4.2 inventory emissions above the detection limit of their satellite-constrained emissions.

In order to compare our regional NH3 emissions, derived from the global inversion estimates, with those of Luo et al. (2022), we regrid their final inversion year (2018) estimates to match the spatial resolution (1.27° × 2.5°) of our estimated NH3 emissions. Subsequently, we integrate both the emission estimates over the identical grids on common selected regions' domains over land and compare their final inversion year's (2018) NH3 emissions with our nearest first inversion year (2019) estimates. In comparison with Dammers et al. (2022), their regional estimates for all detected source locations are consistently higher than our estimates. Therefore, in the subsequent comparison analysis, we compare our estimates with only their regional reported estimates corresponding to the sources with inventory emissions above the detection limit of their satellite-derived emissions. This comparison is consistent, as our estimates also required information on the prior CEDS NH3 emissions, and for the missing sources with zero emissions in the bottom-up inventory, our inversion will not detect any new emission sources. Over the Indian region, our annual estimates of 2019 (∼15.4 Tg yr−1) are closer to the estimates of 2018 (∼13.1 Tg yr−1) from Luo et al. (2022), representing a marginal ∼18 % increase. Our estimates over the China region of 2019 (22.3 Tg yr−1) are much higher (∼73 %) compared to the Luo et al. (2022) SO2 trend-corrected NH3 emissions (∼13 Tg yr−1); however, these are closer to their estimates without correction. Recently, Liu et al. (2022) estimated 21.6 Tg NH3 yr−1 (≡17.77 Tg N yr−1) annual emissions over China for the year 2019 using satellite data, and our estimates (22.3 Tg yr−1) for the same year are comparable to these inversion estimates. Dammers et al. (2022) reported ∼35 Tg yr−1 average NH3 emissions for the Asia region, and our combined 4-year-averaged estimate of ∼43 Tg yr−1 from India, China, and the Middle East regions is ∼23 % higher than their estimate. Our estimates for Africa (∼13.8 Tg yr−1), South America (∼9.8 Tg yr−1), and the Middle East (∼4.4 Tg yr−1) regions for 2019 agree well with the Luo et al. (2022) estimates (11.1, 10.5, and 4.1 Tg yr−1, respectively) of 2018 within ∼24 %, ∼6 %, and ∼6 %, respectively. For the South American region, our annual estimate of ∼9.8 Tg yr−1 for 2019 agrees well with the estimate of 9.1 Tg yr−1 from Dammers et al. (2022). Our estimates (11.6 Tg yr−1) for 2019 over the North American region are ∼55 % higher than ∼7.5 Tg yr−1 from Luo et al. (2022); however, they are comparable to the total estimates of 12.2 Tg yr−1 from Dammers et al. (2022). Recently, Sahoo et al. (2024) constructed a high-resolution gridded (0.1° × 0.1°) emission inventory of NH3 emissions over India for 2022 by including 24 regional major and minor anthropogenic sources. They estimated 10.54 Tg yr−1 of NH3 emissions in 2022, which are closer to the CAMS anthropogenic NH3 emissions, while our inversion estimates of 14.4 Tg yr−1 NH3 emissions for the same year are  36 % higher than their estimates (Fig. 9b). However, in this comparison analysis over the Indian region, our selected domain is larger, encompassing most of South Asia, compared to the India-only domain considered in Sahoo et al. (2024).

Over the European region, our annual NH3 estimate ( 7.7 Tg yr−1) for 2019 is ∼91 % higher compared to  4.1 Tg yr−1 from Luo et al. (2022) for 2018. However, our 4-year-averaged annual estimates (∼7.9 Tg yr−1) are  29 % smaller than ∼11.1 Tg yr−1 from the estimates of Dammers et al. (2022). The European Union (EU) emission inventory report (EEA Report No 4/2023, 2023) reported comparatively lower NH3 emissions for the EU 27 member states of 3.5, 3.4, and 3.3 Tg yr−1 for 2019, 2020, and 2021, respectively, which are much lower compared to our estimates for these years. Also, some other recent top-down inversion studies, such as Tichý et al. (2023), have obtained a similar order of magnitude of the emissions (4.3 and 4.0 Tg yr−1 for 2019 and 2020, respectively) using the CrIS satellite observations from Luo et al. (2022) (4.1 Tg yr−1 for 2018) or from EEA Report No 4/2023 (2023). However, our estimates are comparable to the NH3 emissions derived from a recent regional atmospheric inversion over Europe at 0.2° × 0.2° horizontal and monthly temporal resolutions over a 3-year period from 2020 to 2022, derived within the EU project Sentinel EO-based Emission and Deposition Service (SEEDS) (https://www.seedsproject.eu/data/monthly-nh3-emissions, last access: 7 August 2023) (Ding et al., 2020, 2024). In this regional atmospheric inversion, NH3 emissions over Europe were derived by the DECSO (Daily Emissions Constrained by Satellite Observations) v6.2 algorithm, developed to derive emissions of short-lived species based on an extended Kalman filter approach and using CrIS (NOAA-20) observations (Ding et al., 2020, 2024). Our annual NH3 emission estimates integrated over the common European domain [10° W–30° E, 35–55° N] of their inversions, amounting to 8.8, 8.4, and 8.4 Tg yr−1 for the years 2020, 2021, and 2022, respectively, are in good agreement (within ∼1 %–8 %) with 8.2, 8.4, and 8.6 Tg yr−1 derived for the same years in the SEEDS NH3 emission inversions. The SEEDS NH3 emission estimates over Europe indicate an increasing trend of ∼0.2 Tg yr−1 over a 3-year period from 2020 to 2022. In contrast, our inversion estimates show a peak in 2020, with comparatively slightly lower values in the subsequent years (Fig. 9d).

This comparison analysis shows that our inversion estimates of NH3 emissions integrated at global or regional spatial scales are within the range of other previous inversion estimates derived based on different satellite observations and different inversion approaches. When comparing our IASI-based inversion estimates with some of those derived from CrIS observations, the differences in satellite overpass times (IASI ∼09:30 LST, CrIS ∼13:30 LST) could also lead to differences in retrieved NH3 due to the potentially strong and quite uncertain diurnal variability in NH3 emissions and atmospheric concentrations and retrieval approaches. However, in the current setup of our model LMDZ-INCA, the anthropogenic NH3 emissions are derived from a 1-month-resolution inventory that is uniformly distributed in time at the hourly resolution, without incorporating diurnal cycles. This lack of diurnal variations in the input prior emissions could indeed enhance the discrepancies between IASI- and CrIS-based emission estimates. In a study by Dammers et al. (2019), they utilized both IASI and CrIS satellite observations to estimate NH3 emissions, lifetimes, and plume widths from major agricultural and industrial point sources. Their findings indicate that CrIS-derived NH3 emission estimates are, on average, slightly higher than those obtained from IASI-A and IASI-B observations. However, these differences remain within the overall uncertainty range of the estimates. The differences in the emissions from CrIS and IASI could be due to the bias between the satellite NH3 retrievals, as well as the potential influence of the different overpass times of these satellites in combination with the strong diurnal cycles of the emissions. Overall, our estimates, as well as these other inversion estimates, are higher compared to the NH3 emissions from different global or regional bottom-up inventories, which tend to support the assumption that there is a general underestimation of the emissions in the inventories. The bottom-up inventories do not accurately capture the seasonality of NH3 emissions in relation to the agricultural and crop activity cycles in some regions like India, China and the Middle East. In contrast, our inversion estimates demonstrate a seasonality that is consistent with the crops and agriculture cycles in these regions.

4.2 Impact of COVID-19 lockdowns on NH3 emissions

The strict restrictions imposed during the COVID-19 lockdown periods in the year 2020 across different regions/countries/cities around the world resulted in major changes in anthropogenic activities, atmospheric concentrations, and emissions of different air pollutant species like NOx and SO2. However, atmospheric NH3 concentration and emissions received comparatively less attention compared to NOx or SO2, and only a few studies analyzed the impact of COVID lockdowns on ambient NH3 concentrations. Most of the air pollutants like NOx and SO2 show a decline in their atmospheric concentrations and emissions during the COVID-19 lockdown periods (Zheng et al., 2021). The decline in NOx and SO2 concentrations in the atmosphere during the COVID-19 lockdowns led to a reduction in the formation of ammonium nitrate and ammonium sulfate aerosols from atmospheric ammonia and hence a decrease in the atmospheric sink of NH3. Meanwhile, agriculture activities remained mostly unchanged during the COVID-19 lockdown periods. These factors, along with changes in meteorology and atmospheric composition, may have impacted ammonia levels in the atmosphere. A recent study by Kuttippurath et al. (2024) showed that the global atmospheric ammonia concentration increased anomalously almost everywhere around the world during the COVID-19 lockdown periods in the year 2020 compared to the previous year 2019. Some other studies at regional or city scale, e.g., Xu et al. (2022) (China), Viatte et al. (2021) (Paris, France), and Lovarelli et al. (2021) (Lombardy region in Italy), also reported an increase in ammonia concentration in the atmosphere during the COVID-19 lockdown periods in 2020. Recently, Evangeliou et al. (2025) conducted inversion estimates of NH3 emissions based on satellite observations during the COVID-19 lockdowns in Europe and showed that the NH3 emissions decreased by ∼9.8 % in the first half of 2020 compared to 2016–2019. However, overall atmospheric ammonia levels increased due to reduced chemical removal from lower SO2 and NOx emissions and the persistence of agricultural activity (Evangeliou et al., 2025). In this study, we analyzed the changes in estimated daily (at 10 d scale) NH3 emissions from our global inversions during COVID-19 major lockdowns in 2020 compared to the estimates during the same period in pre-COVID year 2019 over six regions across the world.

https://acp.copernicus.org/articles/25/12379/2025/acp-25-12379-2025-f10

Figure 10The time series of estimated daily (at 10 d scale) NH3 emissions and total emissions (bar plots) during the COVID-19 lockdown periods in the year 2020 and pre-COVID year 2019 over different regions across the world.

Download

From our atmospheric inversions, we observe that the annual NH3 emissions worldwide and across all the selected six regions in the COVID-19 lockdowns in the year 2020 are higher compared to those in the pre-COVID year 2019 (Figs. 6 and 9). Lockdown periods varied across different regions, countries, and cities. However, following the first lockdown in China in the second-to-last week of January 2020, the majority of the first major lockdowns worldwide were implemented between March and May during that year. We defined the lockdown periods in 2020 using the most consistent common dates that aligned with the major lockdowns in each region. Figure 10 compares the estimated daily NH3 emissions time series and total NH3 emissions during the COVID-19 lockdown periods in 2020 with the estimated NH3 emissions during the corresponding period in pre-COVID year 2019 across six regions. Daily (at 10 d scale) variation of the NH3 emissions during the lockdown periods in 2020 is mostly higher compared to that in the same period in 2019 (Fig. 10). The total NH3 emissions across these regions in 2020 during the lockdown periods increased by a minimum of ∼5 % (in China) to a maximum of ∼37 % (in South America) compared to the total emissions in this period in 2019 (Fig. 10). The total NH3 emissions during the lockdown periods in 2020 compared to 2019 across India, Africa, North America, and Europe increased by ∼10 %, ∼6 %, ∼9 %, and ∼16 %, respectively.

The increase in NH3 emissions from our global inversions during the COVID-19 lockdown periods in 2020 across different regions, compared to the pre-COVID year 2019, raises uncertainty about whether this rise is due to an increase in NH3 emission sources, due to the impact of meteorology on NH3 volatilization, or due to a decrease in the atmospheric sink of NH3 due to the decline in NOx and SO2 emissions and concentrations during the lockdowns. However, an increase in NH3 emission sources during these short lockdown periods seems unlikely, as agricultural practices, the primary source of NH3 emissions, remained largely unchanged during the lockdowns. This suggests that the observed rise may be more attributable to changes in atmospheric chemistry or to the impact of meteorology on NH3 volatilization and to the reduction of other species, like SO2 and NOx emissions, during the lockdowns (Evangeliou et al., 2025). The single species inversion system used in this study has a limitation and a source of uncertainty to explain this rise in NH3 emissions. These changes require studying the atmospheric chemistry of ammonia in response to variations in NOx and SO2 levels in the atmosphere. A combined multi-species inversion of NOx, SO2, and NH3 emissions would offer valuable insights into the complex chemical interactions among these air pollutant species in the atmosphere.

4.3 Uncertainties and limitations of the present study

There are several uncertainties and limitations associated with our global daily (at 10 d scale) inversion of the anthropogenic NH3 emissions using IASI NH3 observations. Although our estimates are mostly consistent and within the range of other recent inversion emissions, our inversion approach and estimates are subject to several uncertainties and limitations. The inversion approach is directly impacted by the errors associated with the observations from the satellite NH3 retrievals and from model simulations, and it does not provide the uncertainty in emission estimates. A few studies (Cooper et al., 2017; Koukouli et al., 2018) provided some information about the uncertainties in their estimates of other short-lived species like NOx or SO2 using the basic or FDMB inversion approach, propagating the observation errors. Although their estimates of uncertainties do not provide the full uncertainty budget, as they do not account for uncertainties associated with model errors or the specific modeling approach, implementing a similar approach could be considered in the future to provide some indication of the uncertainties in our inversion estimates. Systematic errors in satellite retrievals, particularly notable at higher latitudes and during wintertime, may introduce inconsistencies or lead to an overestimation of emissions. Statistical inverse modeling methods (Cao et al., 2020, 2022) account for retrieval errors, but this work is generally focused on the random local and instant noise on the retrievals, and these methods are also highly impacted by systematic errors (Cao et al., 2020, 2022).

The FDMB inversion approach employs a linear sensitivity function based on the perturbations of NH3 emissions in LMDZ-INCA model simulations, which may oversimplify the complex chemical interactions between air pollutants, including NH3, in the atmosphere. However, in order to test the impact on the inversion results of the selection of the level of perturbations, we have also conducted a sensitivity analysis with a LMDZ-INCA model simulation using a smaller 20 % perturbation to the prior CEDS anthropogenic NH3 emissions for the year 2019, in contrast to the original 40 % perturbation used in our FDMB inversion setup. The results show that the differences in the resulting budget of the estimated NH3 emissions over 2019 and the globe with the application of the FDMB based on these two levels of perturbations are less than 2 %, indicating that the inversion results are not highly sensitive to the choice of perturbation magnitude within this range. As β is the only variable that changes when changing the level of perturbation, this less than 2 % change in the emission estimates necessarily stems from the changes in β due to the reduced prior NH3 emission perturbations. The good fit between the model simulations with the inverted NH3 emissions and the IASI NH3 observations (Sect. 3.2) further strengthens the confidence in the linearization of the inversion problem based on 40 % perturbations to the prior estimate of the emissions. This sensitivity behavior is similar to that of previous applications of the FDMB method to the inversions of anthropogenic NOx emissions, where different perturbation levels (e.g., 5 %–50 %) to the prior emissions resulted in minimal changes in the posterior anthropogenic NOx emission estimates at global and regional scales (Cooper et al., 2017; Lamsal et al., 2011; Zheng et al., 2020). The use of a 40 % perturbation in our NH3 study was motivated by the relatively high uncertainty in the current NH3 emission inventories, particularly over regions with strong agricultural sources. Nevertheless, our sensitivity test indicates that this choice (at least within a range of 20 %–40 %) is not a critical parameter of our inversions.

Due to the sparseness of daily satellite observations of NH3 total columns, when the number of high-quality observations within a grid cell is limited, it amplifies uncertainty in the averaged gridded dataset used in the inversions. Consequently, this may lead to an increase in uncertainty in the estimates of daily (at 10 d scale) emissions. As we focus on the inversion of dominated anthropogenic NH3 emissions, exclusion of the emissions from other sectors like natural sources is a big challenge. This complexity is particularly pronounced in regions dominated by biomass burning NH3 emissions from wildfires. The local mass-balance inversion approach does not incorporate the transport of ammonia from the non-local biomass burning emissions regions to the local anthropogenic grids, which may lead to an overestimation of the anthropogenic NH3 emissions in some regions like South America, North America, and Africa. Furthermore, the conservative gap-filling approach employed in this study may introduce some biases and contribute to uncertainties in the final emission estimates.

Although the local finite difference mass-balance approach applied for the inversion of short-lived species like NH3 in this study, which has a typical short atmospheric lifetime of a few hours to a day, is suitable for inversions at a coarse resolution (∼2°) (Cooper et al., 2017), the typical length scale of our model's spatial resolution (1.27° × 2.5°) can often be reached by the advection of NH3 within its lifetime. The transport to neighboring grids can lead to a spatial “smearing” effect, where emissions are dispersed away from their source grid cell, introducing errors in mass-balance inversion approaches (Cooper et al., 2017; Li et al., 2019). This problem of spatial smearing in mass-balance inversion approaches is well-documented for short-lived species like NOx or NH3 (Cooper et al., 2017; Li et al., 2019). Such smearing can lead, on average, to the underestimation of the regional-scale emissions, as the approach overlooks the fact that the amplitude of the NH3 signal associated with a given area source decreases with the advection downwind (Cooper et al., 2017; Li et al., 2019). For short-lived species like NOx, some approaches such as smoothing kernels or iterative FDMB inversion approaches have been used to reduce these errors, but the latter is computationally intensive, especially for global inversions. An iterative FDMB approach (Cooper et al., 2017; Li et al., 2019) can be explored in the future to provide better accuracy in the estimates of NH3 emissions at a feasible computational cost to overcome this limitation.

In our LMDZ-INCA model setup and inversion framework, the CEDS inventory emissions are regridded to match the model resolution. While this inevitably misses some fine-scale features, our study focuses on the broader regional patterns of NH3 emissions rather than point-source inversions. The inversions at higher resolution, based on high-resolution regional inventories (e.g., MEIC, NEI, and CAMS-REG) and high-resolution chemistry transport model simulations can bring more robust information of the more localized NH3 sources such as point sources at sub-national scales. However, the above-mentioned limitation, i.e., the spatial smearing effect (ignoring the advection across the chemistry transport model grid cells) of the FDMB inversion approach, would be exacerbated at such a higher resolution. Even if an iterative FDMB approach is used to overcome this smearing effect at finer resolutions, errors in the derived emission estimates can be amplified (Li et al., 2019). Therefore, application of such an inversion approach at the finer resolution may have limitations in accurately estimating the NH3 emissions.

Note that an inverse modeling framework including observations of the full reduced nitrogen family (NHx=NH3+NH4+) and relying on tests of sensitivities of NH3 and NH4+ to changes in NH3 emissions could provide a more comprehensive constraint on NH3 emissions, given the rapid gas-particle partitioning of NH3 to NH4+ under typical atmospheric conditions. However, current satellite retrievals such as those from IASI and CrIS are primarily focused on gaseous NH3. The current spaceborne instruments have a limited capability to detect particulate-phase NH4+. As a result, the observational constraints in our inversion framework are based only on NH3 columns. Nevertheless, the LMDZ-INCA aerosols–chemistry transport model used in our inversion framework fully represents these chemical conversions of NH3 to NH4+ and the partitioning and deposition processes affecting the entire NHx family. Therefore, the LMDZ-INCA model and, implicitly, our inversion framework account for the fate of NH3 through its interaction with NH4+ when deriving relationships between the NH3 emissions and concentrations.

Over some regions like China and India, the rapid changes in SO2 emissions in recent years impact the NH3 concentration in the atmosphere significantly and thus emissions (Luo et al., 2022). Similarly, changes in NOx emissions and concentration in the atmosphere across different regions alter the formation of ammonium nitrate from ambient ammonia. Therefore, we will investigate the potential of simultaneously assimilating NH3, SO2, and NOx satellite observations to constrain the NH3 emissions in future studies.

5 Conclusions

In this study, we present satellite-based atmospheric inversion estimates of the global daily (at 10 d scale) NH3 emissions for a period of 4 years from 2019 to 2022 at 1.27° × 2.5° horizontal resolution using the new version 4 of the IASI-ANNI-NH3-v4 NH3 observations and the LMDZ-INCA model simulations. We take advantage of the averaging kernel provided in the IASI-ANNI-NH3-v4 data product to evaluate the LMDZ-INCA model suitability for global inversion of the NH3 emissions. The LMDZ-INCA model-simulated NH3 total columns using the prior NH3 emissions are underestimated from the IASI NH3 observations over most of the selected regions, except over the Indian region, and over a region in Eastern Siberia, where the model shows an overall overestimation from the observations. The simulated NH3 columns from the LMDZ-INCA model followed the seasonality of the IASI observations over the South American and North American regions and, to some extent, over the European region. However, the seasonal variations over the Indian, Chinese, and African regions are inadequately represented in the model simulations compared to the IASI NH3 observations.

We use a simple finite difference mass-balance approach for the inversion of global daily (at 10 d scale) NH3 emissions using the LMDZ-INCA and IASI NH3 total NH3 columns that uses a sensitivity parameter of NH3 columns to changes in the local NH3 emissions to address non-linear chemistry effects from the model simulations. By conducting an evaluation simulation with the LMDZ-INCA model using IASI-constrained NH3 emission estimates derived from our global atmospheric inversions for the year 2019, we demonstrate that the substantial improvements in model agreement with the IASI NH3 observations compared to those using prior NH3 emissions, across different spatiotemporal scales, strongly validate the robustness and internal consistency of our inversion framework, despite its simplified linearization approach. Our inversions provided an average of ∼97 (∼94–100) Tg yr−1 global annual NH3 emissions over a period of 4 years from 2019 to 2022. Our IASI-constrained NH3 emission estimates are ∼61 % (∼55 %–65 %) higher than the prior CEDS anthropogenic NH3 emissions used in the inversions. A comparison of our inversion estimates with the two independent global bottom-up inventories CAMS and CAMEO shows that our estimates are ∼1.8 times higher than the CAMS anthropogenic NH3 emissions and ∼1.4 times higher than CAMEO's combined agricultural and natural soil NH3 emissions. Our global and regional NH3 emission estimates over India, China, Africa, Europe, South America, North America, and the Middle East are mostly within the range of other global and regional inversion estimates derived based on the IASI or CrIS satellite NH3 observations. Our simple inversion framework lacks the ability to attribute contributions from the sectors like biomass burning to the estimates of the anthropogenic NH3 emissions. Therefore, the estimated NH3 emissions over some regions like South America and Africa may be overestimated due to predominant biomass burning from wildfires in these regions. Our NH3 emission estimates over Europe are ∼72 % higher compared to the prior CEDS inventory emissions; however, they are consistent with two recent inversion estimates. We observed an increasing trend of the NH3 emission over China and Africa and a decreasing trend over the Indian region over a 4-year period from 2019 to 2022. Our estimates of the NH3 emissions show a strong seasonal variation over most of the selected regions that is currently poorly known or almost absent in bottom-up inventories.

We also analyzed the impact of restrictions during the COVID-19 lockdown periods in 2020 over different regions across the world on the estimated daily (at 10 d scale) NH3 emissions in comparison to the pre-COVID year 2019. Our inversion estimates show that the total NH3 emissions across China, India, Africa, North America, Europe, and South American during the lockdown periods in the year 2020 increased by, respectively,  5 %, ∼10 %, ∼6 %, ∼9 %, ∼16 %, and ∼37 % compared to the total emissions in the same periods in 2019. However, this increase in NH3 emissions from our global atmospheric inversions during the COVID-19 lockdowns, compared to the pre-COVID year 2019, raises a question about whether this rise is due to an increase in NH3 emission sources, due to the impact of meteorology on NH3 volatilization, or due to a decrease in the atmospheric sink of atmospheric NH3 due to the decline in NOx and SO2 emissions and ambient concentrations during the lockdown periods. However, our inversion system fails to explain this rise in NH3 emissions. Therefore, a more comprehensive inversion approach, integrating NOx, SO2, and NH3 simultaneously, would provide deeper insights into the complex chemical interactions between these pollutants in the atmosphere.

Code and data availability

All the estimated emission datasets are available from the ESA World Emission (WOREM) project website (https://app.world-emission.com/detail/global/nh3/nh3, last access: 17 July 2025). The IASI-ANNI-NH3 version 4 dataset is available from the Aeris data infrastructure https://iasi.aeris-data.fr/nh3/ (IASI, 2025). CAMS anthropogenic emissions CAMS-GLOB-ANT_v5.3 data can be accessed directly from https://doi.org/10.24380/eets-qd81 (Soulie et al., 2023). The NH3 emission estimates from the Luo et al. (2022) dataset for the year 2018, used for the comparison analysis, are available from GitHub: https://github.com/bnulzq/NH3-emission.git (last access: 16 September 2023). The codes and scripts developed for inversions, plotting, and other analysis are accessible upon reasonable request from the corresponding author. The LMDZ-INCA global model is part of the Institut Pierre Simon Laplace (IPSL) climate modeling center’s coupled model. Documentation and source code are available here: https://cmc.ipsl.fr/ipslclimate-models/ipsl-cm6/ (last access: 7 October 2025).

Supplement

The supplement related to this article is available online at https://doi.org/10.5194/acp-25-12379-2025-supplement.

Author contributions

PK: Conceptualization, computations, code development, data curation, formal analysis, investigation, methodology, validation, visualization, writing (original draft), review and editing. GB, DH, PCi: Conceptualization, supervision, methodology, investigation, funding acquisition, project administration, writing, review and editing. MB: CAMEO inventory NH3 emission dataset, review and editing. LC, MVD, PCo: IASI version 4 NH3 dataset, review and editing. AC: LMDZ-INCA model, review and editing. BZ: CEDS inventory emission dataset, review and editing. BRR: Project administration, funding acquisition, review and editing. AD: Project administration, funding acquisition, review and editing.

Competing interests

The contact author has declared that none of the authors has any competing interests.

Disclaimer

Publisher's note: Copernicus Publications remains neutral with regard to jurisdictional claims made in the text, published maps, institutional affiliations, or any other geographical representation in this paper. While Copernicus Publications makes every effort to include appropriate place names, the final responsibility lies with the authors.

Acknowledgements

We extend our gratitude to all the data providers, whose contributions were essential to this study. We wish to thank Julien Bruna (LSCE) and his team for their computer support. This study was conducted in the frame of the World Emission project funded by the European Space Agency (ESA).

Financial support

This study received funding from the European Space Agency WORld EMission (WOREM) project (https://www.world-emission.com, last access: 15 July 2025) (ESA Contract No. 4000137291/22/I-EF). Didier Hauglustaine also acknowledges the support from the Research Council of Norway under project no. 336227 “AMMONIA: Climate and environmental impacts of green ammonia (NH3)”. The simulations were performed using HPC resources from GENCI (Grand Equipement National de Calcul Intensif) under project gen2201. Lieven Clarisse is a Senior Research Associate supported by the Belgian F.R.S.-FNRS. Martin Van Damme is supported by the FED-tWIN project ARENBERG (“Assessing the Reactive Nitrogen Budget and Emissions at Regional and Global Scales”) funded via the Belgian Science Policy Office (BELSPO).

Review statement

This paper was edited by Jayanarayanan Kuttippurath and reviewed by three anonymous referees.

References

Beale, C. A., Paulot, F., Randles, C. A., Wang, R., Guo, X., Clarisse, L., Van Damme, M., Coheur, P. F., Clerbaux, C., Shephard, M. W., Dammers, E., Cady-Pereira, K., and Zondlo, M. A.: Large sub-regional differences of ammonia seasonal patterns over India reveal inventory discrepancies, Environ. Res. Lett., 17, 104006, https://doi.org/10.1088/1748-9326/AC881F, 2022. 

Beaudor, M., Vuichard, N., Lathière, J., Evangeliou, N., Van Damme, M., Clarisse, L., and Hauglustaine, D.: Global agricultural ammonia emissions simulated with the ORCHIDEE land surface model, Geosci. Model Dev., 16, 1053–1081, https://doi.org/10.5194/gmd-16-1053-2023, 2023. 

Beaudor, M., Vuichard, N., Lathière, J., and Hauglustaine, D.: Future trends of global agricultural emissions of ammonia in a changing climate, Journal of Advances in Modeling Earth Systems, 17, e2023MS004186, https://doi.org/10.1029/2023MS004186, 2025. 

Beer, R., Shephard, M. W., Kulawik, S. S., Clough, S. A., Eldering, A., Bowman, K. W., Sander, S. P., Fisher, B. M., Payne, V. H., Luo, M., Osterman, G. B., and Worden, J. R.: First satellite observations of lower tropospheric ammonia and methanol, Geophys. Res. Lett., 35, L09801, https://doi.org/10.1029/2008GL033642, 2008. 

Behera, S. N., Sharma, M., Aneja, V. P., and Balasubramanian, R.: Ammonia in the atmosphere: A review on emission sources, atmospheric chemistry and deposition on terrestrial bodies, Environ. Sci. Pollut. Res., 20, 8092–8131, https://doi.org/10.1007/S11356-013-2051-9, 2013. 

Boersma, K. F., Eskes, H. J., and Brinksma, E. J.: Error analysis for tropospheric NO2 retrieval from space, J. Geophys. Res.-Atmos., 109, 4311, https://doi.org/10.1029/2003JD003962, 2004. 

Boucher, O., Servonnat, J., Albright, A. L., Aumont, O., Balkanski, Y., Bastrikov, V., Bekki, S., Bonnet, R., Bony, S., Bopp, L., Braconnot, P., Brockmann, P., Cadule, P., Caubel, A., Cheruy, F., Codron, F., Cozic, A., Cugnet, D., D'Andrea, F., Davini, P., de Lavergne, C., Denvil, S., Deshayes, J., Devilliers, M., Ducharne, A., Dufresne, J. L., Dupont, E., Éthé, C., Fairhead, L., Falletti, L., Flavoni, S., Foujols, M. A., Gardoll, S., Gastineau, G., Ghattas, J., Grandpeix, J. Y., Guenet, B., Guez, L. E., Guilyardi, E., Guimberteau, M., Hauglustaine, D., Hourdin, F., Idelkadi, A., Joussaume, S., Kageyama, M., Khodri, M., Krinner, G., Lebas, N., Levavasseur, G., Lévy, C., Li, L., Lott, F., Lurton, T., Luyssaert, S., Madec, G., Madeleine, J. B., Maignan, F., Marchand, M., Marti, O., Mellul, L., Meurdesoif, Y., Mignot, J., Musat, I., Ottlé, C., Peylin, P., Planton, Y., Polcher, J., Rio, C., Rochetin, N., Rousset, C., Sepulchre, P., Sima, A., Swingedouw, D., Thiéblemont, R., Traore, A. K., Vancoppenolle, M., Vial, J., Vialard, J., Viovy, N., and Vuichard, N.: Presentation and Evaluation of the IPSL-CM6A-LR Climate Model, J. Adv. Model. Earth Sy., 12, e2019MS002010, https://doi.org/10.1029/2019MS002010, 2020. 

Bouwman, A. F., Lee, D. S., Asman, W. A. H., Dentener, F. J., Van Der Hoek, K. W., and Olivier, J. G. J.: A global high-resolution emission inventory for ammonia, Global Biogeochem. Cycles, 11, 561–587, https://doi.org/10.1029/97GB02266, 1997. 

Cady-Pereira, K. E., Guo, X., Wang, R., Leytem, A. B., Calkins, C., Berry, E., Sun, K., Müller, M., Wisthaler, A., Payne, V. H., Shephard, M. W., Zondlo, M. A., and Kantchev, V.: Validation of MUSES NH3 observations from AIRS and CrIS against aircraft measurements from DISCOVER-AQ and a surface network in the Magic Valley, Atmos. Meas. Tech., 17, 15–36, https://doi.org/10.5194/amt-17-15-2024, 2024. 

Campbell, P. C., Tong, D., Saylor, R., Li, Y., Ma, S., Zhang, X., Kondragunta, S., and Li, F.: Pronounced increases in nitrogen emissions and deposition due to the historic 2020 wildfires in the western U.S., Sci. Total Environ., 839, 156130, https://doi.org/10.1016/J.SCITOTENV.2022.156130, 2022. 

Cao, H., Henze, D. K., Shephard, M. W., Dammers, E., Cady-Pereira, K., Alvarado, M., Lonsdale, C., Luo, G., Yu, F., Zhu, L., Danielson, C. G., and Edgerton, E. S.: Inverse modeling of NH3 sources using CrIS remote sensing measurements, Environ. Res. Lett., 15, 104082, https://doi.org/10.1088/1748-9326/ABB5CC, 2020. 

Cao, H., Henze, D. K., Zhu, L., Shephard, M. W., Cady-Pereira, K., Dammers, E., Sitwell, M., Heath, N., Lonsdale, C., Bash, J. O., Miyazaki, K., Flechard, C., Fauvel, Y., Kruit, R. W., Feigenspan, S., Brümmer, C., Schrader, F., Twigg, M. M., Leeson, S., Tang, Y. S., Stephens, A. C. M., Braban, C., Vincent, K., Meier, M., Seitler, E., Geels, C., Ellermann, T., Sanocka, A., and Capps, S. L.: 4D-Var Inversion of European NH3 Emissions Using CrIS NH3 Measurements and GEOS-Chem Adjoint With Bi-Directional and Uni-Directional Flux Schemes, J. Geophys. Res.-Atmos., 127, e2021JD035687, https://doi.org/10.1029/2021JD035687, 2022. 

Chen, J., Cheng, M., Krol, M., de Vries, W., Zhu, Q., Liu, X., Zhang, F., and Xu, W.: Trends in anthropogenic ammonia emissions in China since 1980: A review of approaches and estimations, Front. Environ. Sci., 11, 1133753, https://doi.org/10.3389/FENVS.2023.1133753, 2023a. 

Chen, Y., Shen, H., Kaiser, J., Hu, Y., Capps, S. L., Zhao, S., Hakami, A., Shih, J.-S., Pavur, G. K., Turner, M. D., Henze, D. K., Resler, J., Nenes, A., Napelenok, S. L., Bash, J. O., Fahey, K. M., Carmichael, G. R., Chai, T., Clarisse, L., Coheur, P.-F., Van Damme, M., and Russell, A. G.: High-resolution hybrid inversion of IASI ammonia columns to constrain US ammonia emissions using the CMAQ adjoint model, Atmos. Chem. Phys., 21, 2067–2082, https://doi.org/10.5194/acp-21-2067-2021, 2021. 

Chen, Y., Hall, J., van Wees, D., Andela, N., Hantson, S., Giglio, L., van der Werf, G. R., Morton, D. C., and Randerson, J. T.: Multi-decadal trends and variability in burned area from the fifth version of the Global Fire Emissions Database (GFED5), Earth Syst. Sci. Data, 15, 5227–5259, https://doi.org/10.5194/essd-15-5227-2023, 2023b. 

Clarisse, L., Clerbaux, C., Dentener, F., Hurtmans, D., and Coheur, P. F.: Global ammonia distribution derived from infrared satellite observations, Nat. Geosci., 2, 479–483, https://doi.org/10.1038/NGEO551, 2009. 

Clarisse, L., Shephard, M. W., Dentener, F., Hurtmans, D., Cady-Pereira, K., Karagulian, F., Van Damme, M., Clerbaux, C., and Coheur, P. F.: Satellite monitoring of ammonia: A case study of the San Joaquin Valley, J. Geophys. Res.-Atmos., 115, 13302, https://doi.org/10.1029/2009JD013291, 2010. 

Clarisse, L., Franco, B., Van Damme, M., Di Gioacchino, T., Hadji-Lazaro, J., Whitburn, S., Noppen, L., Hurtmans, D., Clerbaux, C., and Coheur, P.: The IASI NH3 version 4 product: averaging kernels and improved consistency, Atmos. Meas. Tech., 16, 5009–5028, https://doi.org/10.5194/amt-16-5009-2023, 2023. 

Clerbaux, C., Boynard, A., Clarisse, L., George, M., Hadji-Lazaro, J., Herbin, H., Hurtmans, D., Pommier, M., Razavi, A., Turquety, S., Wespes, C., and Coheur, P.-F.: Monitoring of atmospheric composition using the thermal infrared IASI/MetOp sounder, Atmos. Chem. Phys., 9, 6041–6054, https://doi.org/10.5194/acp-9-6041-2009, 2009. 

Cooper, M., Martin, R. V., Padmanabhan, A., and Henze, D. K.: Comparing mass balance and adjoint methods for inverse modeling of nitrogen dioxide columns for global nitrogen oxide emissions, J. Geophys. Res.-Atmos., 122, 4718–4734, https://doi.org/10.1002/2016JD025985, 2017. 

Cooper, M. J., Martin, R. V., Henze, D. K., and Jones, D. B. A.: Effects of a priori profile shape assumptions on comparisons between satellite NO2 columns and model simulations, Atmos. Chem. Phys., 20, 7231–7241, https://doi.org/10.5194/acp-20-7231-2020, 2020. 

Crippa, M., Guizzardi, D., Muntean, M., Schaaf, E., Dentener, F., van Aardenne, J. A., Monni, S., Doering, U., Olivier, J. G. J., Pagliari, V., and Janssens-Maenhout, G.: Gridded emissions of air pollutants for the period 1970–2012 within EDGAR v4.3.2, Earth Syst. Sci. Data, 10, 1987–2013, https://doi.org/10.5194/essd-10-1987-2018, 2018. 

Dammers, E., McLinden, C. A., Griffin, D., Shephard, M. W., van der Graaf, S., Lutsch, E., Schaap, M., Gainairu-Matz, Y., Fioletov, V., Van Damme, M., Whitburn, S., Clarisse, L., Cady-Pereira, K., Clerbaux, C., Coheur, P. F., and Erisman, J. W.: NH3 emissions from large point sources derived from CrIS and IASI satellite observations, Atmos. Chem. Phys., 19, 12261–12293, https://doi.org/10.5194/acp-19-12261-2019, 2019. 

Dammers, E., Shephard, M., Chow, E., White, E., Hickman, J., Tokaya, J., Lutsch, E., Kharol, S., van der Graaf, S., Cady-Pereira, K., Bittman, S., McLinden, C., Erisman, J. W., and Schaap, M.: County-level ammonia emissions monitored worldwide, Research Square [preprint], https://doi.org/10.21203/RS.3.RS-1752718/V1, 2022. 

Di Gioacchino, T., Clarisse, L., Noppen, L., Van Damme, M., Bauduin, S., and Coheur, P.: Spatial and Temporal Variations of Thermal Contrast in the Planetary Boundary Layer, J. Remote Sens. (United States), 28, https://doi.org/10.34133/REMOTESENSING.0142, 2024. 

Ding, J., van der A, R. J., Eskes, H. J., Mijling, B., Stavrakou, T., van Geffen, J. H. G. M., and Veefkind, J. P.: NOx Emissions Reduction and Rebound in China Due to the COVID-19 Crisis, Geophys. Res. Lett., 47, e2020GL089912, https://doi.org/10.1029/2020GL089912, 2020. 

Ding, J., van der A, R., Eskes, H., Dammers, E., Shephard, M., Wichink Kruit, R., Guevara, M., and Tarrason, L.: Ammonia emission estimates using CrIS satellite observations over Europe, Atmos. Chem. Phys., 24, 10583–10599, https://doi.org/10.5194/acp-24-10583-2024, 2024. 

Douros, J., Eskes, H., van Geffen, J., Boersma, K. F., Compernolle, S., Pinardi, G., Blechschmidt, A.-M., Peuch, V.-H., Colette, A., and Veefkind, P.: Comparing Sentinel-5P TROPOMI NO2 column observations with the CAMS regional air quality ensemble, Geosci. Model Dev., 16, 509–534, https://doi.org/10.5194/gmd-16-509-2023, 2023. 

EEA Report No 4/2023: European Union emission inventory report 1990–2021 – European Environment Agency, https://doi.org/10.2800/68478, 2023. 

Emanuel, K. A.: A Scheme for Representing Cumulus Convection in Large-Scale Models, J. Atmos. Sci., 48, 2313–2329, https://doi.org/10.1175/1520-0469(1991)048<2313:ASFRCC>2.0.CO;2, 1991. 

Eskes, H. J. and Boersma, K. F.: Averaging kernels for DOAS total-column satellite retrievals, Atmos. Chem. Phys., 3, 1285–1291, https://doi.org/10.5194/acp-3-1285-2003, 2003. 

Evangeliou, N., Balkanski, Y., Eckhardt, S., Cozic, A., Van Damme, M., Coheur, P.-F., Clarisse, L., Shephard, M. W., Cady-Pereira, K. E., and Hauglustaine, D.: 10-year satellite-constrained fluxes of ammonia improve performance of chemistry transport models, Atmos. Chem. Phys., 21, 4431–4451, https://doi.org/10.5194/acp-21-4431-2021, 2021. 

Evangeliou, N., Tichý, O., Svendby Otervik, M., Eckhardt, S., Balkanski, Y., and Hauglustaine, D. A.: Unchanged PM2.5 levels over Europe during COVID-19 were buffered by ammonia, Aerosol Research, 3, 155–174, https://doi.org/10.5194/ar-3-155-2025, 2025. 

Fortems-Cheiney, A., Dufour, G., Dufossé, K., Couvidat, F., Gilliot, J.-M., Siour, G., Beekmann, M., Foret, G., Meleux, F., Clarisse, L., Coheur, P.-F., Van Damme, M., Clerbaux, C., and Génermont, S.: Do alternative inventories converge on the spatiotemporal representation of spring ammonia emissions in France?, Atmos. Chem. Phys., 20, 13481–13495, https://doi.org/10.5194/acp-20-13481-2020, 2020. 

Ge, Y., Vieno, M., Stevenson, D. S., Wind, P., and Heal, M. R.: A new assessment of global and regional budgets, fluxes, and lifetimes of atmospheric reactive N and S gases and aerosols, Atmos. Chem. Phys., 22, 8343–8368, https://doi.org/10.5194/acp-22-8343-2022, 2022. 

Grandpeix, J. Y. and Lafore, J. P.: A Density Current Parameterization Coupled with Emanuel's Convection Scheme. Part I: The Models, J. Atmos. Sci., 67, 881–897, https://doi.org/10.1175/2009JAS3044.1, 2010. 

Granier, C., Darras, S., Denier van der Gon, H., Doubalova, J., Elguindi, N., Galle, B., Gauss, M., Guevara, M., Jalkanen, J.-P., Kuenen, J., Liousse, C., Quack, B., Simpson, D., and Sindelarova, K.: The Copernicus Atmosphere Monitoring Service global and regional emissions (April 2019 version), Copernicus Atmosphere Monitoring Service (CAMS) report, https://doi.org/10.24380/d0bn-kx16, 2019. 

Guo, X., Wang, R., Pan, D., Zondlo, M. A., Clarisse, L., Van Damme, M., Whitburn, S., Coheur, P. F., Clerbaux, C., Franco, B., Golston, L. M., Wendt, L., Sun, K., Tao, L., Miller, D., Mikoviny, T., Müller, M., Wisthaler, A., Tevlin, A. G., Murphy, J. G., Nowak, J. B., Roscioli, J. R., Volkamer, R., Kille, N., Neuman, J. A., Eilerman, S. J., Crawford, J. H., Yacovitch, T. I., Barrick, J. D., and Scarino, A. J.: Validation of IASI Satellite Ammonia Observations at the Pixel Scale Using In Situ Vertical Profiles, J. Geophys. Res.-Atmos., 126, e2020JD033475, https://doi.org/10.1029/2020JD033475, 2021. 

Hauglustaine, D. A., Hourdin, F., Jourdain, L., Filiberti, M. A., Walters, S., Lamarque, J. F., and Holland, E. A.: Interactive chemistry in the Laboratoire de Météorologie Dynamique general circulation model: Description and background tropospheric chemistry evaluation, J. Geophys. Res.-Atmos., 109, D04314, https://doi.org/10.1029/2003JD003957, 2004. 

Hauglustaine, D. A., Balkanski, Y., and Schulz, M.: A global model simulation of present and future nitrate aerosols and their direct radiative forcing of climate, Atmos. Chem. Phys., 14, 11031–11063, https://doi.org/10.5194/acp-14-11031-2014, 2014. 

Hourdin, F., Rio, C., Grandpeix, J. Y., Madeleine, J. B., Cheruy, F., Rochetin, N., Jam, A., Musat, I., Idelkadi, A., Fairhead, L., Foujols, M. A., Mellul, L., Traore, A. K., Dufresne, J. L., Boucher, O., Lefebvre, M. P., Millour, E., Vignon, E., Jouhaud, J., Diallo, F. B., Lott, F., Gastineau, G., Caubel, A., Meurdesoif, Y., and Ghattas, J.: LMDZ6A: The Atmospheric Component of the IPSL Climate Model With Improved and Better Tuned Physics, J. Adv. Model. Earth Sy., 12, e2019MS001892, https://doi.org/10.1029/2019MS001892, 2020. 

IASI: NH3 total column from IASI (Level 2), IASI [data set], https://iasi.aeris-data.fr/nh3/, 2025. 

Iturbide, M., Gutiérrez, J. M., Alves, L. M., Bedia, J., Cerezo-Mota, R., Cimadevilla, E., Cofiño, A. S., Di Luca, A., Faria, S. H., Gorodetskaya, I. V., Hauser, M., Herrera, S., Hennessy, K., Hewitt, H. T., Jones, R. G., Krakovska, S., Manzanas, R., Martínez-Castro, D., Narisma, G. T., Nurhati, I. S., Pinto, I., Seneviratne, S. I., van den Hurk, B., and Vera, C. S.: An update of IPCC climate reference regions for subcontinental analysis of climate model data: definition and aggregated datasets, Earth Syst. Sci. Data, 12, 2959–2970, https://doi.org/10.5194/essd-12-2959-2020, 2020. 

Jin, J., Fang, L., Li, B., Liao, H., Wang, Y., Han, W., Li, K., Pang, M., Wu, X., and Xiang Lin, H.: 4DEnVar-based inversion system for ammonia emission estimation in China through assimilating IASI ammonia retrievals, Environ. Res. Lett., 18, 034005, https://doi.org/10.1088/1748-9326/ACB835, 2023. 

Koukouli, M. E., Theys, N., Ding, J., Zyrichidou, I., Mijling, B., Balis, D., and van der A, R. J.: Updated SO2 emission estimates over China using OMI/Aura observations, Atmos. Meas. Tech., 11, 1817–1832, https://doi.org/10.5194/amt-11-1817-2018, 2018. 

Krinner, G., Viovy, N., de Noblet-Ducoudré, N., Ogée, J., Polcher, J., Friedlingstein, P., Ciais, P., Sitch, S., and Prentice, I. C.: A dynamic global vegetation model for studies of the coupled atmosphere-biosphere system, Global Biogeochem. Cycles, 19, 1–33, https://doi.org/10.1029/2003GB002199, 2005. 

Kuttippurath, J., Singh, A., Dash, S. P., Mallick, N., Clerbaux, C., Van Damme, M., Clarisse, L., Coheur, P. F., Raj, S., Abbhishek, K., and Varikoden, H.: Record high levels of atmospheric ammonia over India: Spatial and temporal analyses, Sci. Total Environ., 740, 139986, https://doi.org/10.1016/J.SCITOTENV.2020.139986, 2020. 

Kuttippurath, J., Patel, V. K., Kashyap, R., Singh, A., and Clerbaux, C.: Anomalous increase in global atmospheric ammonia during COVID-19 lockdown: Need policies to curb agricultural emissions, J. Clean. Prod., 434, 140424, https://doi.org/10.1016/J.JCLEPRO.2023.140424, 2024. 

Lamsal, L. N., Martin, R. V., Padmanabhan, A., Van Donkelaar, A., Zhang, Q., Sioris, C. E., Chance, K., Kurosu, T. P., and Newchurch, M. J.: Application of satellite observations for timely updates to global anthropogenic NOx emission inventories, Geophys. Res. Lett., 38, L05810, https://doi.org/10.1029/2010GL046476, 2011. 

Li, C., Martin, R. V., Shephard, M. W., Cady-Pereira, K., Cooper, M. J., Kaiser, J., Lee, C. J., Zhang, L., and Henze, D. K.: Assessing the Iterative Finite Difference Mass Balance and 4D-Var Methods to Derive Ammonia Emissions Over North America Using Synthetic Observations, J. Geophys. Res.-Atmos., 124, 4222–4236, https://doi.org/10.1029/2018JD030183, 2019. 

Liu, P., Ding, J., Liu, L., Xu, W., and Liu, X.: Estimation of surface ammonia concentrations and emissions in China from the polar-orbiting Infrared Atmospheric Sounding Interferometer and the FY-4A Geostationary Interferometric Infrared Sounder, Atmos. Chem. Phys., 22, 9099–9110, https://doi.org/10.5194/acp-22-9099-2022, 2022. 

Lovarelli, D., Fugazza, D., Costantini, M., Conti, C., Diolaiuti, G., and Guarino, M.: Comparison of ammonia air concentration before and during the spread of COVID-19 in Lombardy (Italy) using ground-based and satellite data, Atmos. Environ., 259, 118534, https://doi.org/10.1016/J.ATMOSENV.2021.118534, 2021. 

Luo, Z., Zhang, Y., Chen, W., Van Damme, M., Coheur, P.-F., and Clarisse, L.: Estimating global ammonia (NH3) emissions based on IASI observations from 2008 to 2018, Atmos. Chem. Phys., 22, 10375–10388, https://doi.org/10.5194/acp-22-10375-2022, 2022. 

Makkaroon, P., Tong, D. Q., Li, Y., Hyer, E. J., Xian, P., Kondragunta, S., Campbell, P. C., Tang, Y., Baker, B. D., Cohen, M. D., Darmenov, A., Lyapustin, A., Saylor, R. D., Wang, Y., and Stajner, I.: Development and Evaluation of a North America Ensemble Wildfire Air Quality Forecast: Initial Application to the 2020 Western United States “Gigafire,” J. Geophys. Res.-Atmos., 128, e2022JD037298, https://doi.org/10.1029/2022JD037298, 2023. 

Marais, E. A., Pandey, A. K., Van Damme, M., Clarisse, L., Coheur, P. F., Shephard, M. W., Cady-Pereira, K. E., Misselbrook, T., Zhu, L., Luo, G., and Yu, F.: UK Ammonia Emissions Estimated With Satellite Observations and GEOS-Chem, J. Geophys. Res.-Atmos., 126, e2021JD035237, https://doi.org/10.1029/2021JD035237, 2021. 

McDuffie, E. E., Smith, S. J., O'Rourke, P., Tibrewal, K., Venkataraman, C., Marais, E. A., Zheng, B., Crippa, M., Brauer, M., and Martin, R. V.: A global anthropogenic emission inventory of atmospheric pollutants from sector- and fuel-specific sources (1970–2017): an application of the Community Emissions Data System (CEDS), Earth Syst. Sci. Data, 12, 3413–3442, https://doi.org/10.5194/essd-12-3413-2020, 2020. 

Messina, P., Lathière, J., Sindelarova, K., Vuichard, N., Granier, C., Ghattas, J., Cozic, A., and Hauglustaine, D. A.: Global biogenic volatile organic compound emissions in the ORCHIDEE and MEGAN models and sensitivity to key parameters, Atmos. Chem. Phys., 16, 14169–14202, https://doi.org/10.5194/acp-16-14169-2016, 2016. 

Momeni, M., Choi, Y., Yeganeh, A. K., Pouyaei, A., Jung, J., Park, J., Shephard, M. W., Dammers, E., and Cady-Pereira, K. E.: Constraining East Asia Ammonia Emissions Through Satellite Observations and Iterative Finite Difference Mass Balance (iFDMB) and Investigating its Impact on Inorganic Fine Particulate Matter, Environment International, 184, 108473, ISSN 0160-4120, https://doi.org/10.1016/j.envint.2024.108473, 2024. 

Osipov, S., Chowdhury, S., Crowley, J. N., Tadic, I., Drewnick, F., Borrmann, S., Eger, P., Fachinger, F., Fischer, H., Predybaylo, E., Fnais, M., Harder, H., Pikridas, M., Vouterakos, P., Pozzer, A., Sciare, J., Ukhov, A., Stenchikov, G. L., Williams, J., and Lelieveld, J.: Severe atmospheric pollution in the Middle East is attributable to anthropogenic sources, Commun. Earth Environ., 3, 1–10, https://doi.org/10.1038/s43247-022-00514-6, 2022. 

Pu, W., Guo, H., Ma, Z., Qiu, Y., Tang, Y., Liu, Q., Wang, F., and Sheng, J.: Aircraft measurements reveal vertical distribution of atmospheric ammonia over the North China Plain in early autumn, Environ. Chem. Lett., 18, 2149–2156, https://doi.org/10.1007/s10311-020-01051-4, 2020. 

Rio, C. and Hourdin, F.: A Thermal Plume Model for the Convective Boundary Layer: Representation of Cumulus Clouds, J. Atmos. Sci., 65, 407–425, https://doi.org/10.1175/2007JAS2256.1, 2008. 

Sahoo, P., Sahu, S. K., Mangaraj, P., Mishra, A., Beig, G., and Gunthe, S. S.: Reporting of gridded ammonia emission and assessment of hotspots across India: A comprehensive study of 24 anthropogenic sources, J. Hazard. Mater., 479, 135557, https://doi.org/10.1016/J.JHAZMAT.2024.135557, 2024. 

Shephard, M. W., Dammers, E., Cady-Pereira, K. E., Kharol, S. K., Thompson, J., Gainariu-Matz, Y., Zhang, J., McLinden, C. A., Kovachik, A., Moran, M., Bittman, S., Sioris, C. E., Griffin, D., Alvarado, M. J., Lonsdale, C., Savic-Jovcic, V., and Zheng, Q.: Ammonia measurements from space with the Cross-track Infrared Sounder: characteristics and applications, Atmos. Chem. Phys., 20, 2277–2302, https://doi.org/10.5194/acp-20-2277-2020, 2020. 

Someya, Y., Imasu, R., Shiomi, K., and Saitoh, N.: Atmospheric ammonia retrieval from the TANSO-FTS/GOSAT thermal infrared sounder, Atmos. Meas. Tech., 13, 309–321, https://doi.org/10.5194/amt-13-309-2020, 2020. 

Soulie, A., Granier, C., Darras, S., Zilbermann, N., Doumbia, T., Guevara, M., Jalkanen, J.-P., Keita, S., Liousse, C., Crippa, M., Guizzardi, D., Hoesly, R., and Smith, S. J.: Global Anthropogenic Emissions (CAMS-GLOB-ANT) for the Copernicus Atmosphere Monitoring Service Simulations of Air Quality Forecasts and Reanalyses, ECCAD [data set], https://doi.org/10.24380/eets-qd81, 2023. 

Soulie, A., Granier, C., Darras, S., Zilbermann, N., Doumbia, T., Guevara, M., Jalkanen, J.-P., Keita, S., Liousse, C., Crippa, M., Guizzardi, D., Hoesly, R., and Smith, S. J.: Global anthropogenic emissions (CAMS-GLOB-ANT) for the Copernicus Atmosphere Monitoring Service simulations of air quality forecasts and reanalyses, Earth Syst. Sci. Data, 16, 2261–2279, https://doi.org/10.5194/essd-16-2261-2024, 2024. 

Sutton, M. A., Reis, S., Riddick, S. N., Dragosits, U., Nemitz, E., Theobald, M. R., Tang, Y. S., Braban, C. F., Vieno, M., Dore, A. J., Mitchell, R. F., Wanless, S., Daunt, F., Fowler, D., Blackall, T. D., Milford, C., Flechard, C. R., Loubet, B., Massad, R., Cellier, P., Personne, E., Coheur, P. F., Clarisse, L., Van Damme, M., Ngadi, Y., Clerbaux, C., Skjøth, C. A., Geels, C., Hertel, O., Kruit, R. J. W., Pinder, R. W., Bash, J. O., Walker, J. T., Simpson, D., Horváth, L., Misselbrook, T. H., Bleeker, A., Dentener, F., and de Vries, W.: Towards a climate-dependent paradigm of ammonia emission and deposition, Philos. T. Roy. Soc. B, 368, 20130166, https://doi.org/10.1098/RSTB.2013.0166, 2013. 

Tichý, O., Eckhardt, S., Balkanski, Y., Hauglustaine, D., and Evangeliou, N.: Decreasing trends of ammonia emissions over Europe seen from remote sensing and inverse modelling, Atmos. Chem. Phys., 23, 15235–15252, https://doi.org/10.5194/acp-23-15235-2023, 2023. 

Van Damme, M., Clarisse, L., Heald, C. L., Hurtmans, D., Ngadi, Y., Clerbaux, C., Dolman, A. J., Erisman, J. W., and Coheur, P. F.: Global distributions, time series and error characterization of atmospheric ammonia (NH3) from IASI satellite observations, Atmos. Chem. Phys., 14, 2905–2922, https://doi.org/10.5194/acp-14-2905-2014, 2014. 

Van Damme, M., Whitburn, S., Clarisse, L., Clerbaux, C., Hurtmans, D., and Coheur, P.-F.: Version 2 of the IASI NH3 neural network retrieval algorithm: near-real-time and reanalysed datasets, Atmos. Meas. Tech., 10, 4905–4914, https://doi.org/10.5194/amt-10-4905-2017, 2017. 

Van Damme, M., Clarisse, L., Whitburn, S., Hadji-Lazaro, J., Hurtmans, D., Clerbaux, C., and Coheur, P. F.: Industrial and agricultural ammonia point sources exposed, Nature, 564, 99–103, https://doi.org/10.1038/s41586-018-0747-1, 2018. 

Van Damme, M., Clarisse, L., Franco, B., Sutton, M. A., Erisman, J. W., Wichink Kruit, R., Van Zanten, M., Whitburn, S., Hadji-Lazaro, J., Hurtmans, D., Clerbaux, C., and Coheur, P. F. ois: Global, regional and national trends of atmospheric ammonia derived from a decadal (2008–2018) satellite record, Environ. Res. Lett., 16, 055017, https://doi.org/10.1088/1748-9326/ABD5E0, 2021. 

van der Graaf, S., Dammers, E., Segers, A., Kranenburg, R., Schaap, M., Shephard, M. W., and Erisman, J. W.: Data assimilation of CrIS NH3 satellite observations for improving spatiotemporal NH3 distributions in LOTOS-EUROS, Atmos. Chem. Phys., 22, 951–972, https://doi.org/10.5194/acp-22-951-2022, 2022. 

van der Werf, G. R., Randerson, J. T., Giglio, L., van Leeuwen, T. T., Chen, Y., Rogers, B. M., Mu, M., van Marle, M. J. E., Morton, D. C., Collatz, G. J., Yokelson, R. J., and Kasibhatla, P. S.: Global fire emissions estimates during 1997–2016, Earth Syst. Sci. Data, 9, 697–720, https://doi.org/10.5194/essd-9-697-2017, 2017. 

Viatte, C., Petit, J. E., Yamanouchi, S., Van Damme, M., Doucerain, C., Germain-Piaulenne, E., Gros, V., Favez, O., Clarisse, L., Coheur, P. F., Strong, K., and Clerbaux, C.: Ammonia and PM2.5 Air Pollution in Paris during the 2020 COVID Lockdown, Atmosphere, 12, 160, https://doi.org/10.3390/ATMOS12020160, 2021. 

Vira, J., Hess, P., Melkonian, J., and Wieder, W. R.: An improved mechanistic model for ammonia volatilization in Earth system models: Flow of Agricultural Nitrogen version 2 (FANv2), Geosci. Model Dev., 13, 4459–4490, https://doi.org/10.5194/gmd-13-4459-2020, 2020. 

Wang, W., Liu, C., Clarisse, L., Van Damme, M., Coheur, P.-F., Xie, Y., Shan, C., Hu, Q., Zhang, H., Sun, Y., Yin, H., and Jones, N.: Spatial distribution and seasonal variability in atmospheric ammonia measured from ground-based FTIR observations at Hefei, China, Atmos. Meas. Tech. Discuss. [preprint], https://doi.org/10.5194/amt-2020-39, 2020. 

Warner, J. X., Wei, Z., Strow, L. L., Dickerson, R. R., and Nowak, J. B.: The global tropospheric ammonia distribution as seen in the 13-year AIRS measurement record, Atmos. Chem. Phys., 16, 5467–5479, https://doi.org/10.5194/acp-16-5467-2016, 2016.  

Whitburn, S., Van Damme, M., Clarisse, L., Bauduin, S., Heald, C. L., Hadji-Lazaro, J., Hurtmans, D., Zondlo, M. A., Clerbaux, C., and Coheur, P. F.: A flexible and robust neural network IASI-NH3 retrieval algorithm, J. Geophys. Res.-Atmos., 121, 6581–6599, https://doi.org/10.1002/2016JD024828, 2016. 

Wyer, K. E., Kelleghan, D. B., Blanes-Vidal, V., Schauberger, G., and Curran, T. P.: Ammonia emissions from agriculture and their contribution to fine particulate matter: A review of implications for human health, J. Environ. Manage., 323, 116285, https://doi.org/10.1016/J.JENVMAN.2022.116285, 2022. 

Xia, J., Zhou, Y., Fang, L., Qi, Y., Li, D., Liao, H., and Jin, J.: South Asia anthropogenic ammonia emission inversion through assimilating IASI observations, Atmos. Chem. Phys., 25, 7071–7086, https://doi.org/10.5194/acp-25-7071-2025, 2025. 

Xu, R., Tian, H., Pan, S., Prior, S. A., Feng, Y., Batchelor, W. D., Chen, J., and Yang, J.: Global ammonia emissions from synthetic nitrogen fertilizer applications in agricultural systems: Empirical and process-based estimates and uncertainty, Glob. Chang. Biol., 25, 314–326, https://doi.org/10.1111/GCB.14499, 2019. 

Xu, R. T., Pan, S. F., Chen, J., Chen, G. S., Yang, J., Dangal, S. R. S., Shepard, J. P., and Tian, H. Q.: Half-Century Ammonia Emissions From Agricultural Systems in Southern Asia: Magnitude, Spatiotemporal Patterns, and Implications for Human Health, Geohealth, 2, 40–53, https://doi.org/10.1002/2017GH000098, 2018. 

Xu, W., Zhao, Y., Wen, Z., Chang, Y., Pan, Y., Sun, Y., Ma, X., Sha, Z., Li, Z., Kang, J., Liu, L., Tang, A., Wang, K., Zhang, Y., Guo, Y., Zhang, L., Sheng, L., Zhang, X., Gu, B., Song, Y., Van Damme, M., Clarisse, L., Coheur, P. F., Collett, J. L., Goulding, K., Zhang, F., He, K., and Liu, X.: Increasing importance of ammonia emission abatement in PM2.5 pollution control, Sci. Bull. (Beijing), 67, 1745–1749, https://doi.org/10.1016/J.SCIB.2022.07.021, 2022. 

Yamada, T.: Simulations of Nocturnal Drainage Flows by a q2l Turbulence Closure Model, J. Atmos. Sci., 40, 91–106, https://doi.org/10.1175/1520-0469(1983)040<0091:SONDFB>2.0.CO;2, 1983. 

Zheng, B., Geng, G., Ciais, P., Davis, S. J., Martin, R. V., Meng, J., Wu, N., Chevallier, F., Broquet, G., Boersma, F., van Der, R. A., Lin, J., Guan, D., Lei, Y., He, K., and Zhang, Q.: Satellite-based estimates of decline and rebound in China's CO2 emissions during COVID-19 pandemic, Sci. Adv., 6, https://doi.org/10.1126/sciadv.abd4998, 2020. 

Zheng, B., Zhang, Q., Geng, G., Chen, C., Shi, Q., Cui, M., Lei, Y., and He, K.: Changes in China's anthropogenic emissions and air quality during the COVID-19 pandemic in 2020, Earth Syst. Sci. Data, 13, 2895–2907, https://doi.org/10.5194/essd-13-2895-2021, 2021. 

Zhu, L., Henze, D. K., Bash, J. O., Cady-Pereira, K. E., Shephard, M. W., Luo, M., and Capps, S. L.: Sources and Impacts of Atmospheric NH3: Current Understanding and Frontiers for Modeling, Measurements, and Remote Sensing in North America, Curr. Pollut. Rep., 1, 95–116, https://doi.org/10.1007/s40726-015-0010-4, 2015. 

Download
Short summary
Global maps of the NH3 emissions over 2019–2022 are derived using IASI NH3 spaceborne observations, the LMDZ-INCA chemistry transport model at 1.27°×2.5° resolution, and the mass-balance approach. The average global NH3 emissions over the period are ~97 Tg NH3 yr-1, which is significantly higher than three reference inventories. The analysis provides confidence in the seasonal variability and regional budgets and provides new insights into NH3 emissions at global and regional scales.
Share
Altmetrics
Final-revised paper
Preprint