Articles | Volume 26, issue 7
https://doi.org/10.5194/acp-26-4583-2026
https://doi.org/10.5194/acp-26-4583-2026
Research article
 | 
08 Apr 2026
Research article |  | 08 Apr 2026

Observationally-derived Fractional Release Factors, Ozone Depletion Potentials, and Stratospheric Lifetimes of Four Long-Lived CFCs: CFC-13 (CClF3), CFC-114 (C2Cl2F4), CFC-114a (CF3CCl2F), and CFC-115 (C2ClF5)

Elinor C. Tuffnell, Emma Leedham-Elvidge, William T. Sturges, Harald Bönisch, Karina E. Adcock, Paul J. Fraser, Paul B. Krummel, David E. Oram, Ray L. Langenfelds, Thomas Röckmann, Luke M. Western, Jens Mühle, and Johannes C. Laube
Abstract

The longer an Ozone Depleting Substance (ODS) remains in the stratosphere, the longer it will be available for the process of ozone depletion. We present improved policy-relevant parameters: Fractional Release Factors (FRFs), Ozone Depletion Potentials (ODPs), and stratospheric lifetimes, for four understudied long-lived chlorofluorocarbons (CFCs): CFC-13 (CClF3), CFC-114 (CClF2CCClF2), CFC-114a (CCl2FCF3), and CFC-115 (C2ClF5). Previous estimates for the stratospheric lifetimes of these compounds were derived using model and laboratory-based kinetic studies. This study instead uses stratospheric observational data, and correlations between FRFs and lifetimes, to semi-empirically and independently determine the steady-state stratospheric lifetimes of these compounds.

Our newly derived stratospheric lifetime estimates are 366 (290–439) years for CFC-13 (264 years shorter than previous estimates), 208 (171–250) years for CFC-114 (similar to previous estimates), 84 (74–95) years for CFC-114a (23 years shorter), and 404 (321–489) years for CFC-115 (260 years shorter). For CFC-13 and CFC-115 this is outside the uncertainty ranges of previously published estimates. This suggests that these two compounds may have had greater emissions than previously thought, in order to account for their abundance. We calculated FRFs and ODPs for the four CFCs of interest: CFC-13 (FRF=0.07, ODP=0.44), CFC-114 (FRF=0.12, ODP=0.52), CFC-114a (FRF=0.31, ODP=0.54), and CFC-115 (FRF=0.06, ODP=0.28). Providing new and updated lifetimes, FRFs and ODPs for these compounds, will help improve future estimates of their tropospheric emissions and their potential to damage the stratospheric ozone layer.

Share
1 Introduction

Due to the destructive effect of chlorofluorocarbons (CFCs) on the ozone layer, an international agreement, the Montréal Protocol on Substances that Deplete the Ozone Layer, was developed to phase out the use of Ozone Depleting Substances (ODS). The Montréal Protocol was finalised in 1987, and later strengthened by amendments. It banned the production and use of CFCs in developed countries from 1996, and developing countries from 2010 (UNEP, 2016, 2017). The resultant reduced emissions need to be monitored via atmospheric observations to assess the success or otherwise of the phase-out policies.

The “atmospheric residence time” (or “lifetime”) of a compound, refers to the average time spent by a molecule of that compound in the atmosphere, between the time that it leaves its source and the time it encounters a sink. As CFCs are inert in the troposphere this paper focuses on their stratospheric steady-state lifetime (defined as when the burden does not change, i.e. when sources balance sinks). The stratospheric lifetime of a compound provides a measure of how long that compound will remain in the stratosphere, and available for ozone depletion. Knowing this is necessary for calculations of ozone recovery and evaluating a compound's potential risk to stratospheric ozone. The primary removal mechanisms for the CFCs examined here take place in the stratosphere through reaction with excited atomic oxygen (O(1D)) and via photolysis from ultraviolet (UV) rays, though there is also a less dominant removal mechanism in the mesosphere via Lyman-α photolysis (Vollmer et al., 2018).

Air parcels will experience different conditions during transit, and this mixing process is complex, therefore an individual air parcel will not have a single age; instead it will be composed of the different ages of its components. This results in a “spectrum of ages” (Engel et al., 2002; Strunk et al., 2000), and a “mean age of air” which is the average transport time since the air parcel entered the stratosphere, primarily through the tropical tropopause (Holton, 1990). Fractional Release Factors (FRFs) are the fraction of a species that has been disassociated into its reactive (and thus ozone-depleting) form (Solomon et al., 1992) over a set number of years (here 3 and 5 years mean age) after being injected into the stratosphere. FRF is a useful metric for evaluating how quickly compounds disassociate; compounds with a high FRF will disassociate faster, doing more damage to the ozone in the short term, but for a smaller time period. Compounds with a low FRF may do less damage over the short term but will remain available for ozone depletion much longer. To calculate FRFs, this paper uses the time-independent, loss-weighted method defined in Ostermöller et al. (2017), which accounts for time-lag.

There is a wealth of research on the most abundant CFCs (CFC-11, CFC-12, and CFC-113) (Allin et al., 2015; Cunnold et al., 1986; Golombek and Prinn, 1989; Ko et al., 2013; Minschwaner et al., 2012; Prinn et al., 2000, 2018; Rigby et al., 2019). However, many CFCs with lower atmospheric abundances have not been as well studied, and this paper focuses on four of them: CFC-13, CFC-114, CFC-114a, and CFC-115. The most abundant CFCs (CFC-11, CFC-12 and CFC-113) had annual mole fractions (near the surface) in 2020 of ∼224, ∼497 and ∼69 ppt respectively, while the four compounds studied all have total atmospheric abundances of less than 20 ppt (Laube et al., 2022). Table 1 represents the current state of knowledge for this paper's compounds of interest, along with the three most abundant CFCs for comparison. This paper presents updated estimates for the stratospheric lifetimes, FRFs, and ODPs of: CFC-13, CFC-114, CFC-114a, and CFC-115.

Table 1Previously published data for the compounds considered in this study, presented here for reference and to enable direct comparison with the results of this work. The table lists molecular formulae, abundances, changes in abundance between 2019 and 2020, stratospheric lifetimes and associated uncertainties, ozone depletion potentials (ODPs), and fractional release factors (FRFs) (Burkholder and Hodnebrog, 2022; Daniel et al., 2022; Laube et al., 2022). Annual growth rates are based on in situ measurements from both NOAA (https://gml.noaa.gov/dv/site, last access: 6 October 2025) and AGAGE (https://www-air.larc.nasa.gov/missions/agage/, last access: 6 October 2025) for CFC-11, CFC-12, and CFC-113, and from just AGAGE measurements for CFC-13 and CFC-115. CFC-114 and CFC-114a were quantified separately using flask measurements from the University of East Anglia (UEA) and Forschungszentrum Jülich (FZJ), (NOAA and AGAGE CFC-113 measurements likely include contributions from both CFC-113 and CFC-113a). All values are reported to the same significant figures as in their original sources and represent the current state of knowledge for these compounds.

a AGAGE. b NOAA. c UEA/FZJ. d Data does not appear in Burkholder and Hodnebrog (2022).

Download Print Version | Download XLSX

Previous estimates for these compounds have relied heavily on laboratory-based kinetics experiments and model estimates (Burkholder et al., 2019; Newman et al., 2007; Ravishankara et al., 1993; Waugh et al., 2007). In the current literature, the estimated stratospheric lifetime of CFC-115 is 664 (±113) years, and CFC-13 lacks a stratospheric lifetime in Burkholder and Hodnebrog (2022) but has a total atmospheric lifetime listed as 630 years. The estimated lifetime of CFC-114 is 191 (±23) years and the estimated lifetime range of CFC-114a is 82–133 years. Currently there is a dearth of measurement-based lifetime estimates for either CFC-114 or CFC-114a, aside from the lab-based kinetics from Davis et al. (2016). The Laube et al. (2016) estimate of 82–133 years for CFC-114a was not based on observational data; it was based on that reported in Davis et al. (2016), (which used the GSFC 2-D model and UV absorption spectra to estimate the lifetime), and the uncertainty range was assumed. In this paper we use in situ measurements, taken onboard the high-altitude research aircraft M55 Geophysica, in order to derive updated metrics for these compounds.

CFC-13 is primarily associated with low-temperature refrigeration, with additional minor sources in aluminium production. It may also be generated during plasma destruction of CFC-12 (Vollmer et al., 2018) and can be present as an impurity in CFC-12 due to over-fluorination during manufacture (Murphy et al., 2002). Between 2016 and 2020, the global tropospheric abundance of CFC-13 increased from 3.0 to 3.3 ppt, corresponding to a growth rate of 0.04 ppt yr−1 (Table 1).

CFC-115 is a known by-product of HFC-125 production and has also been used as a refrigerant, as an aerosol propellant, and to a lesser extent as a dielectric fluid (Fisher and Midgley, 1993). From 2016 to 2020, the global tropospheric abundance of CFC-115 increased from 8.5 to 8.7 ppt, with a growth rate of 0.03 ppt yr−1 (Vollmer et al., 2018).

Both CFC-114 and CFC-114a were used primarily as blowing agents and aerosol propellants. In addition, CFC-114 was employed as a refrigerant and in heat-pump applications, while CFC-114a was used in polyolefin foams. Between 2016 and 2020, the global tropospheric abundance of CFC-114 increased from 15.0 to 16.3 ppt; although, its growth rate is now negative (−0.01ppt yr−1). From 2016 to 2020, the global tropospheric abundance of CFC-114a increased from 1.0 to 1.1 ppt, with a growth rate of 0.02 ppt yr−1 (Table 1).

It is difficult to measure CFC-114 and CFC-114a separately (Laube et al., 2016). So, the two isomers are frequently reported as a somewhat ill-defined sum, with the assumption that CFC-114a accounts for approximately 10 % of the total (Carpenter et al., 2014). However, Laube et al. (2016), using a chromatographic system that can separate the isomers, found this to be an overestimate, and that the assumption that the ratio between the two isomers remained constant was incorrect due to changing atmospheric rise/decline rates of the two isomers (see also Western et al., 2023). Therefore, Table 1 uses data from UEA/FZJ flask measurements for CFC-114 and CFC-114a, rather than from AGAGE (https://www-air.larc.nasa.gov/missions/agage, last access: 6 October 2025) in situ measurements, as UEA/FZJ were able to quantify the isomers separately (Laube et al., 2022).

Understanding both the rate at which an ozone-depleting substance (ODS) is removed from the atmosphere – quantified by its fractional release factor (FRF) and stratospheric steady-state lifetime – and the strength of its ozone-depleting effect, expressed by its ozone depletion potential (ODP), is essential for accurately estimating ozone recovery. This paper provides updated FRFs, stratospheric lifetimes, and ODPs for CFC-13, CFC-114, CFC-114a, and CFC-115 based on in situ atmospheric measurements. Section 2 describes the sample collection (Sect. 2.1), sample preparation and instrumental analysis (Sect. 2.2), and a comparison of the tropospheric background trends with data presented by Vollmer et al. (2018) (Sect. 2.3). The methods section concludes with a detailed description of the lifetime-FRF correlation method used to estimate stratospheric lifetimes (Sect. 2.4). Section 3 presents the results, including newly derived stratospheric lifetimes and FRFs (Sect. 3.1) and updated ODP estimates (Sect. 3.2), followed by an assessment of the implications of these revisions for emissions estimates (Sect. 3.3), updated from Western et al. (2023), along with discussing the broader implications of these findings for ozone depletion and emission estimates and considers potential sources of the observed emissions.

2 Methods

2.1 Sample Collection

In this paper we used whole air samples collected on board the high-altitude research aircraft M55 Geophysica during multiple campaigns. The flights in Oberpfaffenhofen, Bavaria, Germany in 2009 (OB09) and Kiruna, Sweden in 2010 (KIR10), were part of the RECONCILE campaign (Von Hobe et al., 2013). The 2011 flight in Kiruna, Sweden (KIR11), was part of the ESSenCe campaign, which itself was a part of the ESA project PremierEx (Kaufmann et al., 2013). The Kalamata, Greece campaign in 2016 (KAL16) and the Kathmandu, Nepal 2017 (KAT17) campaign were part of the StratoClim EU project (Johansson et al., 2020; Adcock et al., 2021; Lee et al., 2021).The analysis was performed on 3 different campaigns, in 4 locations (twice in Sweden, and once each in Germany, Greece, and Nepal), so only covered mid and high latitudes in the northern hemisphere. These campaigns took place during different seasons (summer, autumn, and winter). Large campaigns of this nature are rare and expensive, so this paper used the data that was available. The fact that data from all campaigns and trace gases yield a consistent picture does however give some confidence in the results.

2.2 Sample Preparation and Instrumental Analysis

Samples were collected in the stratosphere by filling canisters following the protocol described by Adcock et al. (2021) and were subsequently transported to the University of East Anglia (UEA) for analysis. The samples underwent cryogenic pre-concentration then were analysed via a gas chromatography mass spectrometry system (GC-MS), using the method detailed in (Adcock et al., 2018, 2021; Laube et al., 2016, 2020; Leedham-Elvidge et al., 2018). In short, the samples were first dried by passing through a magnesium perchlorate (Mg(ClO4)2) drying tube, then cryogenically trapped by passing through a stainless steel sample loop, packed with Hayesep D absorbent, which was immersed in a cold bath (made up of a dry-ice and ethanol mixture) at -78°C, in order to give quantitative retention and release. The sample loop was then submerged in boiling water, heating it to near 100 °C, thus providing immediate and complete desorption of the analytes. Separation was accomplished using an Agilent 6890 Gas Chromatograph, which was connected to a high-sensitivity Waters AutoSpec tri-sector mass spectrometer.

Samples were analysed on two different GC columns: an Agilent GS GasPro column with a unique bonded silica (silicon dioxide) PLOT column (length ∼50 m, ID 0.32 mm) and an Agilent KCl-passivated Al2O3-PLOT column with an aluminium oxide (Al2O3) deactivated by potassium chloride stationary phase (length: 50 m, ID 0.32 mm, called the Al-Plot here). Of particular relevance to this study, the Al-Plot column is capable of separating CFC-114 and CFC-114a. Samples from the Oberpfaffenhofen 2009 campaign were only measured on the GasPro column, all other samples were measured on both columns. The measurements from both columns agreed within the uncertainty range, with the exception of KIR11's Al-Plot data which was distorted due to CO2 build up on the column, and KAT17 where the tail of the large peak for CO2 partially obscured the small CFC-13 peak. These samples were excluded from the analysis detailed in Sect. 3.

Instrumental uncertainties are, similar to Laube et al. (2020), incorporated as the square root of the sum of squares of the uncertainties of the repeats of measurements of the samples and the calibration standard. These were derived as one standard deviation and propagated for both the calculation of the mean ages as well as the FRFs. The corresponding “5n” data set shown in Fig. 2 therefore includes the corresponding min/max values in both the x and y directions. So, if the measurement mixing ratio was 1 ppt, and the instrument uncertainty was 1 %, then the mixing ratios of 0.99, 1.00 and 1.01 ppt, were all considered.

2.3 Comparison to tropospheric background trend

A reliable tropospheric background trend is a critical component in calculating entry mixing ratios, and consequently, Fractional Release Factors (FRF). In this study, archived air samples from the Kennaook/Cape Grim Observatory (CGO), analysed at the UEA, are used to derive these trends. The CGO time series has been demonstrated to be of high quality for multiple species (Laube et al., 2013, 2016; Leedham-Elvidge et al., 2018). CGO tropospheric time series for CFC-114 and CFC-114a were previously published in Laube et al. (2016) and are extended here to 2018. Although the CGO data set is from the Southern Hemisphere, Leedham-Elvidge et al. (2018) showed that, for long-lived compounds that are inert in the troposphere, a CGO trend shifted by 0.5 years provides a good representation of mixing ratios in the tropical upper troposphere, where most air enters the stratosphere. Note that we do not include uncertainties in tropospheric entry mixing ratios in our FRF and mean age calculations. This represents an additional source of uncertainty to our lifetime and ODP estimates that is not accounted for in our analysis.

Independent measurements of CGO tropospheric background trends have been published by Vollmer et al. (2018), allowing a comparison with the UEA-derived trends to verify the UEA calibration scales. The UEA calibration standards have been used successfully for a number of compounds (Adcock et al., 2020, 2021; Laube et al., 2016). However, the calibration scales for CFC-115 and CFC-13 were developed in the 1990s, and have not been updated, whereas Vollmer et al. (2018) used a much more regularly maintained scale. Vollmer et al. (2018) did not distinguish between the CFC-114 and CFC-114a isomers; therefore in order to be compared to the Vollmer et al. dataset, the UEA measurements of these species were combined into “ΣCFC-114”, which are combined-isomer measurements. While this approach is not ideal, it represents the most appropriate comparison available. This analysis also provides an independent verification of the trends reported by Vollmer et al. (2018).

For both the Vollmer et al. (2018) and UEA CGO datasets, simple linear regressions (without offset) were calculated separately by correlating mixing ratio with date (Fig. 1). Comparisons of these regressions were used to derive a conversion factor, x, that minimised the residual sum of squares (RSS), which were CFC-13=0.11, CFC-115=0.11, and ΣCFC-114=0.81. Applying the resulting conversion factors (CFC-13=0.8, CFC-115=0.953), brings the UEA and Vollmer et al. (2018) datasets into closer agreement for CFC-13 (Fig. 1a) and CFC-115 (Fig. 1b). For ΣCFC-114, the use of a conversion factor (of 1.0234), does largely bring the UEA data into line with the Vollmer et al. (2018) data, though the overlap is not perfect (Fig. 1c). As Vollmer et al. (2018) did not separate the individual isomers, the UEA and Vollmer et al. (2018) data are not necessarily expected to correlate. Nevertheless, the observed correlation indicates that the Vollmer et al. (2018) dataset provides a reasonable approximation of the combined CFC-114 and CFC-114a abundance, despite being unable to capture the changing trend of CFC-114a (Western et al., 2023), as the combined signal is dominated by CFC-114.

https://acp.copernicus.org/articles/26/4583/2026/acp-26-4583-2026-f01

Figure 1Tropospheric mixing ratios (ppt) from samples collected at the Cape Grim observatory for CFC-13 (a), CFC-115 (b), and ΣCFC-114 (c), plotted against the date (year). (Conversion factor was 0.8 for CFC-13, 0.953 for CFC-115 and 1.0234 for ΣCFC-114). Error bars use instrument precision to 1 sigma.

Download

https://acp.copernicus.org/articles/26/4583/2026/acp-26-4583-2026-f02

Figure 2Fractional Release Factors (FRF) plotted against Mean Age (years) for all flights (expanded to 5n, uncertainty range), for all compounds. A 2nd order polynomial trendline is plotted through the data set, and both the equation of the line and the R2 value is shown. The trendline is not forced to zero as FRFs do not need to be zero in the extra-tropical tropopause.

Download

2.4 Stratospheric lifetimes to Fractional Release Factor (FRF) correlation

There are a number of ways the stratospheric lifetime of a compound can be derived (Ko et al., 2013). These include model simulations (Butchart et al., 2006; Lee et al., 2011; Montzka et al., 1999; Rigby et al., 2013), satellite data (Brown et al., 2013; Ko et al., 1991; Minschwaner et al., 2012), lab-based kinetics experiments (Burkholder et al., 2019), and by examining the relationship between tracer-tracer or tracer-mean age (Plumb and Ko, 1992; Plumb and Zheng, 1996).

The stratospheric lifetime and FRF of a compound are related since the halocarbons within an air mass experienced similar transport pathways (Plumb, 2007). Using the correlation between lifetime and FRF, for compounds with well documented values, it is possible to estimate the lifetime of additional (less well documented) compounds, using their FRF at the same mean age (Kloss et al., 2014). FRFs at 3 and 5 years mean age are used here, in order to reflect the average transit time of stratospheric air to the mid (3 years) and high latitudes (5 years).

Leedham-Elvidge et al. (2018) calculated mean ages and FRFs for 10 compounds. This study used the same air samples, instruments, mean ages, and method (for sample collection, analysis, and the generation of FRFs), as Leedham-Elvidge et al. (2018), with the exception of the KAL16 and KAT17 campaigns, for which mean ages were taken from Adcock et al. (2021). Using the time-independent method detailed in Ostermöller et al. (2017), we then calculated the entry mixing ratios for CFC-13, CFC-114, CFC-114a, and CFC-115, for the campaigns (OB09, KIR10, KIR11, KAL16, and KAT17). Entry mixing ratios are an estimate of the mixing ratio of a compound at the point it entered the stratosphere. By comparing these entry mixing ratios and the observed (partially-dissociated) mixing ratios in the stratosphere, it is possible to estimate what fraction of the compound has disassociated since entering the stratosphere using Eq. (1) (which is a simplified equation calculating FRFs using entry and observed mixing ratios). Using this method FRFs for each sample in every campaign were generated.

(1) FRF = ( Entry Mixing Ratio - Observed Mixing Ratio ) Entry Mixing Ratio

The FRFs from the different flights were combined together. This was necessary as each campaign had a limited number of samples and some campaigns did not measure certain compounds. Also, the KAL16 and KAT17 flights sampled relatively young air; the greatest mean ages recorded were 3.02 and 2.53 years mean age respectively.

To derive an estimate for the uncertainty, we calculated the FRF using the mean and the upper and lower limits of the measured mixing ratios and mean ages, in similar fashion to Laube et al. (2020). Then, using the combined data set for each compound, FRF was plotted against mean age and a 2nd order polynomial trendline was determined through the data (see Fig. 2).

The second-order polynomial trendline shown in Fig. 2 was chosen to capture the non-linearities in stratospheric transport and chemistry previously observed by Newman et al. (2007) and Laube et al. (2010). The longer-lived compounds, CFC-13 and CFC-115, exhibit a slight positive offset, with the y-intercept above zero, indicating a mismatch between the measured abundances and the tropospheric trend. A similar offset was reported by Adcock et al. (2021), attributed to the Asian Monsoon providing efficient transport pathways for air containing elevated levels of tropospheric gases. In Fig. 2a and b, the observed offset reflects differences in the transport pathways experienced by the sampled air parcels compared with those experienced by the CGO trend. The potential influence of this offset was investigated and incorporating it did not produce statistically significant changes in the results.

The trend-line was used to calculate the FRF at 3 and 5 years mean age for each compound, and a bootstrapping program (Barreto and Howland, 2010) was used to test the robustness of the polynomial's estimate. The results gave a list of 2000 predictions, and the frequency at which these estimations occurred. In order to exclude extreme outliers from this the top and bottom 2.5 % were excluded, leaving 95 % of all predictions for FRF at 3 and 5 years mean age.

From the bootstrapping results, FRFs at 3 and 5 years mean age (including uncertainty range) were derived (see Table 2). This was done for all four compounds of interest and also SF6 which does not have estimates of FRF available. The compounds studied in Leedham-Elvidge et al. (2018) had stratospheric lifetimes largely in the order of 200 years or less. SF6 was included because without a longer-lived compound with both known FRF and lifetime, a correlation between FRF and lifetime drawn from these compounds alone cannot be extrapolated to provide lifetime estimates for longer lived compounds.

Table 2Fractional Release Factors for this paper's compounds of interest. Includes both FRFs at 3 and 5 years mean ages, and their uncertainty range. Compared to previous time-independent FRF estimates from Engel et al. (2018a), as cited in Burkholder and Hodnebrog (2022).

NA: not available.

Download Print Version | Download XLSX

The lifetime of SF6 is subject to some dispute. Engel et al. (2018b) notes that the widely used value of 3200 years (Ravishankara et al., 1993) may be a substantial overestimate. Kovács et al. (2017) estimated an average lifetime of 1278 (1120–1475) years using model data, while Ray et al. (2017) estimated a lifetime of 850 (580–1400) years using observations of SF6 in the Arctic polar vortex. Ravishankara et al. (1993) lists a lower limit for the lifetime of SF6 as 580 years, so the range of 580–3200 years encompasses the estimates of both Ray et al. (2017) and Kovács et al. (2017). Kouznetsov et al. (2020) used a model study which gave a range for SF6 lifetime between 600 and 2900 years, while Loeffel et al. (2022) proposed a value of 2100 years (1900–2600 years range). As there is growing evidence that the 3200 years figure is an overestimate, this paper will focus primarily on Ray's estimate of 850 years stratospheric lifetime, and Kovac's 1278 years stratospheric lifetime estimate for SF6. The estimate for Kouznetsov et al. (2020) gave too wide a spread of possible lifetime for SF6, for this method to be practical. Loeffel et al. (2022) was a modelling paper, and does not focus on defining the lifetime of SF6, and the lifetimes listed are time-dependant lifetimes and varied over the spread of the simulation. For the calculations in this paper, equilibrium steady-state lifetimes are required, so lifetimes listed in Loeffel et al. (2022) are not used. Calculations for both the Ray et al. (2017) and Kovács et al. (2017) lifetime estimates were performed, for FRFs at both 3 and 5 years mean age, and they are seen in Sect. 3.1. When calculating FRFs for SF6 two campaigns were excluded: KIR10 as it could have captured SF6 depleted mesospheric air due to the polar vortex (Ray et al., 2017), and KAL17 as this campaign contained elevated trace gas levels from the highly polluted air masses transported by the Asian Monsoon (Adcock et al., 2021).

This paper uses the FRFs and stratospheric lifetimes (including their uncertainty ranges), for a number of well-studied compounds (SF6, HCFC-141b, HCFC-142b, HCFC-22, CFC-12, CFC-113, CFC-11, H1301, CCl4, CH3CCl3, H1211), found in Leedham-Elvidge et al. (2018) and Burkholder and Hodnebrog (2022). All the lifetime estimates in Leedham-Elvidge et al. are dependent on the uncertainties of the same age of air, as well as on that of CFC-11. With these lifetimes and FRFs a trendline was plotted and the resulting correlation was used to generate predicted lifetimes for our compounds of interest. Different trendline functions were tested to see which best fitted the data, and the “power” trendline (y=cxb) was the best fit. This correlation considered the uncertainty in both the FRFs and stratospheric lifetimes. The calculations were performed using the “power” trendline, using (separately) both the FRFs and lifetimes from Leedham-Elvidge et al. (2018) and using those listed in Burkholder and Hodnebrog (2022). The resulting correlations (using FRFs at 3 years mean age) can be seen in Fig. 3a and b. This was done using (separately) both SF6 lifetimes of 850 and 1278 years (latter not shown in Fig. 3). In order to account for the lifetime uncertainty ranges of these compounds, this trendline was bootstrapped as described previously, in order to derive the eight different lifetime estimates for each compound (Sect. 3.1).

https://acp.copernicus.org/articles/26/4583/2026/acp-26-4583-2026-f03

Figure 3Plotting FRF at 3 years mean ages against Lifetime (years) for mid latitude. FRFs, lifetimes, and lifetime uncertainties from (a) Leedham-Elvidge et al. (2018), and (b) Burkholder and Hodnebrog (2022). With the exception of SF6, where the lifetime from Ray et al. (2017) is used. FRF uncertainties were derived from instrument precision and the uncertainty range generated by the bootstrapping procedure. Some compounds (notably SF6) have small enough uncertainty ranges that they are hard to distinguish. No uncertainty values were provided for CCl4's lifetime estimate, so it is missing the y error bar. Included in the plot are the “power” trendline equation and R2 value.

Download

The method of calculating time-independent FRFs used in Sect. 2.4 is able to correct for changes in the tropospheric trends of the CFCs, however it cannot account for changes in tropical upwelling. This is because the lifetimes calculated are steady-state lifetimes, and rely on the atmosphere to remain in a certain state. If the atmosphere changes, such as with a drastic change in tropical upwelling, then a new steady state would eventually be reached, with a new corresponding steady-state lifetime. There is evidence that stratospheric circulation is changing, and in turn affecting the lifetimes of long-lived tracer gases (Prather et al., 2023). It can be argued that the current observed N2O lifetime changes are relatively small and, for the four long-lived CFCs examined here, it could be expected to be well within the uncertainties that we derive. So, while this method cannot completely account for the effect of upwelling, the lifetimes presented in Sect. 3.1, still represent a significant improvement to previous estimates.

This paper uses the FRFs and stratospheric lifetimes, for a number of well-studied compounds, found in Leedham-Elvidge et al. (2018) and Burkholder and Hodnebrog (2022). In the case of HCFC-141b, Leedham-Elvidge et al. (2018) estimated 101 (64–221) years for the stratospheric lifetime, while Burkholder and Hodnebrog (2022) lists a stratospheric lifetime of 49.4 years stratospheric lifetime. The FRFs listed in Burkholder and Hodnebrog (2022) are taken from Engel et al. (2018a) and Leedham-Elvidge et al. (2018) uses the same time-independent method as Engel et al. (2018a). Engel et al. (2018a) lists FRFs at 5.5 years rather than the 5 years used with the Leedham-Elvidge et al. (2018) data. Burkholder and Hodnebrog (2022) primarily uses lifetime estimate for the compounds in question from the 2013 SPARC lifetime report (Ko et al., 2013), which relied upon kinetics and modelling data. There are two exceptions; HCFC-142b which used the lifetime estimate from Papanastasiou et al. (2018) and CCl4 which used the 2016 SPARC report (Liang et al., 2016). It is worth noting that the stratospheric lifetimes of many compounds are subject to substantial uncertainty, which is something this paper hopes to improve.

In respect to how uncertainty is handled in the tracer method, this paper used two methods. In method 1, the 5n data set of lifetimes and FRFs (shown in Fig. 3) was used to create a trendline and, using the FRF of our compound of interest as “x”, this was used to estimate the lifetime of that compound. The entire 5n data set trendline was bootstrapped (repeat draws again enabled), and the resulting lifetime estimates (2000 of them) were recorded. A mean, weighted by the frequency of each result, was calculated for the FRF of the compound of interest as well as its uncertainty range (so FRF, FRF+ and FRF-, to one standard deviation), resulting in a mean, high and low estimate for lifetime, thus incorporating FRF uncertainty into the estimate.

However, using this method alone can result in an underestimation of the uncertainty range as lifetime uncertainties of the known species are not considered. So in addition method 2 was used, which followed the same procedure as method 1, however instead of using the FRF uncertainty range to generate the lifetime uncertainty range, we take the lowest and highest estimate of lifetime using the mean FRF. As with the procedure for estimating FRFs detailed before, the top and bottom 2.5 % estimates were excluded, leaving 95 % of all predictions, thus excluding extreme outliers.

Using methods 1 and 2 we have two sets of uncertainty estimates (i.e., from the power line bootstrapping and from the FRF uncertainty), which are independent from each other, so cannot be combined as the square root of the sum of squares, and instead must be added together. This means that these uncertainties reflect (a) the uncertainties in the FRFs of the target species, (b) FRFs at different ages of air, and (c) lifetimes from different sources.

All methods have weaknesses. Models rely on parametrisations, and require accurate transport and chemistry inputs, which may be incomplete (Ko et al., 2013). Satellites may be unable to resolve less abundant trace gases. Lab-based kinetics experiments may not be able to differentiate isomers (such as CFC-114/CFC-114a, see Vollmer et al., 2018). This paper uses a version of the tracer-mean age method, which does rely on some assumptions; notably that the lifetimes of the compounds used in this correlation are robust. It also relies on observational data being of high quality. While no method is perfect, expanding the range of methods used can cover gaps left by other methods, and build a more robust understanding of compound lifetimes.

3 Results

3.1 Fractional Release Factors and Stratospheric Lifetime Estimates

Table 2 shows that the FRF at 3 years mean age for CFC-114a (0.313 ± 0.015) is similar to (but greater than) that of CFC-12 (0.24 ± 0.000528) (Engel et al., 2018a) (Table 1), which would constrain the CFC-114a lifetime to the lower end of the reported range. This is feasible: the CFC-12 lifetime is 102 years (±15.5 years), while the CFC-114a lifetime is 82–133 years (Table 1). We can also compare CFC-114, whose FRF at 3 years mean age was found to be 0.121 (±0.007) and has an estimated lifetime of 191 years (±23 years), to HCFC-22 which has an estimated FRF at 3 years mean age of 0.13, and lifetime of 129 (94–204) years in Leedham-Elvidge et al. (2018) and 120 years in Burkholder and Hodnebrog (2022). Hence, HCFC-22 and CFC-114 have similar FRFs at 3 years mean age, and comparable lifetimes.

In Table 2 we see that for the two compounds where we have previous estimates for FRF at 3 years mean age (CFC-114 and CFC-115), the newly derived estimates are lower than the previously derived estimates. For CFC-13 and CFC-114a, FRFs at 3 years mean age are not listed in Burkholder and Hodnebrog (2022), so this data represents an expansion of our knowledge of these compounds.

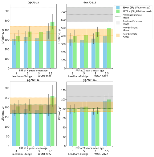
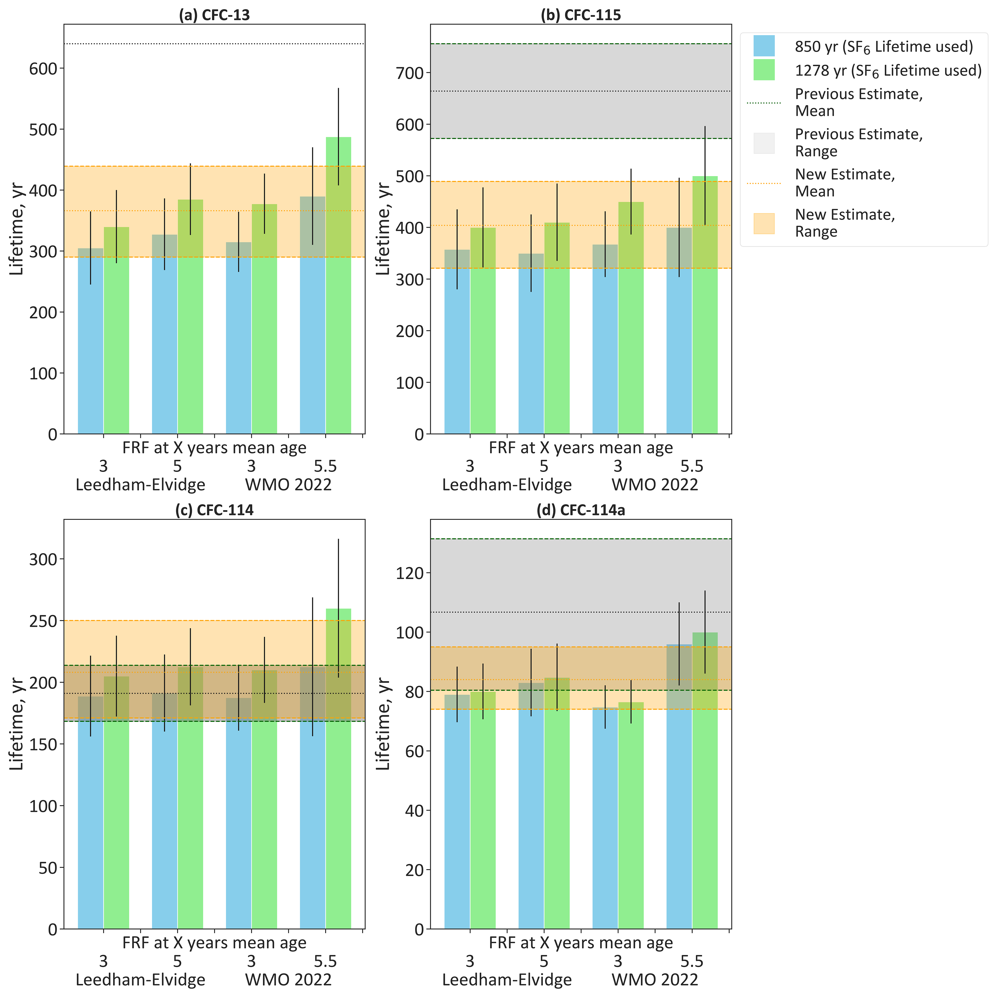
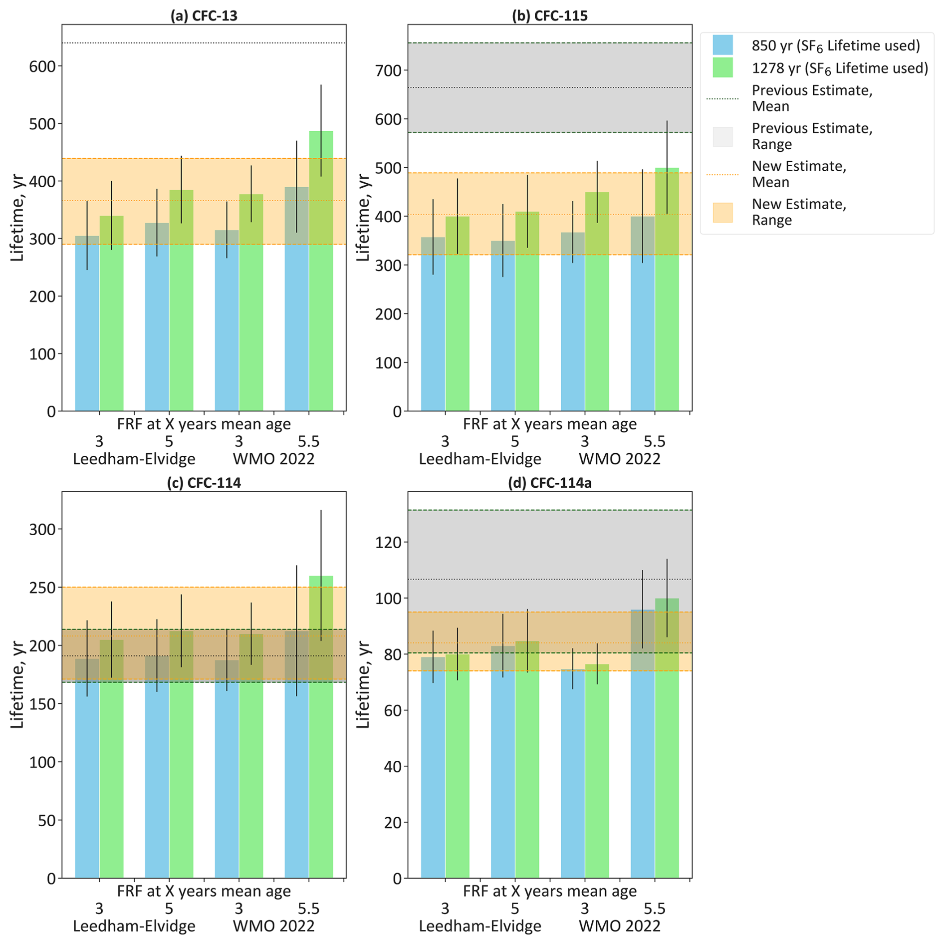
In Fig. 4, the newly estimated stratospheric lifetimes for both CFC-13 and CFC-115 are substantially lower than the previous estimates (see Table 1). This is outside the uncertainty range for CFC-115 for all but one of the new estimates. This was the estimate based on Burkholder and Hodnebrog (2022)'s data, an SF6 lifetime of 1278 years, and FRFs at 5.5 years mean age. Which consistently produces the highest lifetime estimate for all compounds. No uncertainty was provided for the previous CFC-13 lifetime estimate, so we cannot definitively state this is outside the uncertainty range. However, this does strongly suggest that previous stratospheric lifetime estimates for these compounds are a significant overestimate.

https://acp.copernicus.org/articles/26/4583/2026/acp-26-4583-2026-f04

Figure 4Newly estimated stratospheric lifetimes for each compound, using the correlation between FRF at X years mean age (3 or 5/5.5 years) and lifetimes of well-studied compounds taken either from Leedham-Elvidge et al. (2018) or Burkholder and Hodnebrog (2022) (labelled as WMO 2022 in Figure). These are compared to previous lifetime estimates in Burkholder and Hodnebrog (2022). Figure also includes the new average lifetime estimate for each compound and its range. Please note that the previous estimate range for CFC-114, lies within the newly derived estimate range. As the lifetime of SF6 is disputed, two different correlations were used, one containing the lifetime estimates of 850 years from Ray et al. (2017), and one using the lifetime estimate of 1278 years from Kovács et al. (2017). Error bars are to 1 sigma uncertainty. Uncertainty range unavailable in Burkholder and Hodnebrog (2022) for CFC-13.

Download

The longer-lived CFC-13 and CFC-115 both showed greater variation in their estimated lifetime, depending on which SF6 lifetime was used, when compared to the shorter-lived CFC-114 and CFC-114a. As can be seen in Fig. 3a and b, SF6 was the longest-lived compound in the correlation by a substantial margin. Without other compounds within this lifetime range, changes to its lifetime would have a more pronounced effect on estimated lifetimes of compounds with lifetimes between that of SF6 and HCFC-142b (the longest lived of the other compounds used in the correlation). As there were many compounds with comparatively shorter lifetimes, this portion of the trendline is better constrained, and so CFC-114 and CFC-114a would be less affected by which lifetime estimate for SF6 was used. This is seen in Fig. 4c and d as most lifetime estimates for CFC-114 and CFC-114a are within the range of their previous lifetime estimate (Table 1).

3.2 Ozone Depletion Potentials

The newly derived FRFs at 3 and 5 years mean age, and the newly derived lifetimes for these compounds were utilised to calculate ODPs (using Eq. 2), and the results can be seen in Table 3.

(2) ODP i = ( α n Br , i + n Cl , i ) f i f CFC 11 τ i τ CFC 11 M CFC 11 M i 1 3

Equation (2) is the equation for calculation of ODPs. Where i is the gas of interest; α is the bromine efficiency factor (redundant in this case as the CFCs do not contain bromine), n is the number of chlorine (or bromine) atoms in the molecule; f is the FRF; τ is the atmospheric lifetime (in this case the stratospheric steady-state lifetime); and M is the molecular weight. As with the lifetime uncertainty range described in Sect. 2.4, uncertainty for ODPs was calculated using 2 methods. Method 1 varied τi using the new lifetime estimate range (see Table 4), including the mean, low and high estimates. Method 2 instead kept τi the same and varied fi, using the mean, min and max values for FRF from Table 2. The resulting uncertainty was summed together, giving the ODP uncertainty range seen in Table 3.

Table 3The compounds, their ODP values listed in Burkholder and Hodnebrog (2022), and their newly estimated ODP values using FRFs at 3 and 5 years mean age.

Download Print Version | Download XLSX

Table 4The compounds, their newly estimated stratospheric lifetimes (years), FRFs, and ODPs.

Download Print Version | Download XLSX

ODPs derived using FRFs at 3 years and those using FRFs at 5 years agree within their respective uncertainty ranges, Of the newly derived ODPs, only those for CFC-114 overlap with those listed in Burkholder and Hodnebrog (2022).

3.3 Effect on Emissions Estimates

If the stratospheric lifetimes of these compounds are significantly shorter than previously believed, then this would suggest that historic emissions must have been higher than previously estimated in order to account for the compounds' abundance. This paper includes updated data from Western et al. (2023), which used the lowest lifetime derived here (using Leedham-Elvidge et al. (2018) lifetime-FRF data, the 850 year lifetime for SF6, and FRFs at 3 years mean age), in order to demonstrate the maximum impact from the new lifetimes estimated in Fig. 4. The results can be seen in Fig. 5.

https://acp.copernicus.org/articles/26/4583/2026/acp-26-4583-2026-f05

Figure 5The emissions estimates for all four compounds, showing the original emissions estimates from Western et al. (2023) and revised estimates that use the revised lifetime estimates derived from the Leedham-Elvidge et al. (2018) data, using FRFs at 3 years mean age and an SF6 lifetime of 850 years.

Download

As expected, in Fig. 5 we see that between 2000 and 2020, emission estimates are higher when using the revised lifetimes compared to the previously estimated lifetimes, with the exception of CFC-114 (whose lifetime estimate did not change significantly) (Fig. 4). This represented an increase in average emissions for CFC-13 of 17 % (±3 %), CFC-114a of 20 % (±8 %), and CFC-115 of 19 % (±5 %). CFC-114 saw only a −0.07 % change (±8 %). The uncertainty range is broad and overlaps for all compounds, however it is clear that longer stratospheric lifetimes would result in higher emissions.

The question remains whether these increased global emission estimates for CFC-13 and CFC-115 are due to release from long-term banks, or from new emissions. Estimates of bank emissions vary widely as they are estimated using different techniques which utilise incomplete or imprecise information (TEAP, 2009; Lickley et al., 2020). Lickley et al. (2022) argues that production assumptions for several CFCs (including CFC-115 but not CFC-13) have a low bias stemming from under-reporting, leading to published bank estimates that also have a low bias, and thus banks are likely to be larger than previously assumed. This is consistent with Fig. 5 where the decreased lifetimes estimated in Sect. 3.1 resulted in greater estimated emissions.

Emissions from aluminium smelters (CFC-13) and impurities of CFC-115 in the refrigerant HFC-125 did not fully account for the lingering global emissions found in atmospheric observations. Western et al. (2023) found that CFC-115 emissions are probably the result of the production of hydrofluorocarbons, and that CFC-13 emissions can be the result of deliberate plasma arc destruction of CFC-12. Bourguet and Lickley (2024) argues that unreported feedstock production for HFCs may be responsible for higher than expected emissions of CFC-114 and CFC-115. Vollmer et al. (2018) and Western et al. (2023) found that growth rates for both CFC-13 and CFC-115 were significantly larger than would have been predicted based on zero emissions. Shorter lifetimes for these two compounds would require greater emissions than previously assumed in order to account for their atmospheric abundance, which is consistent with this paper's findings. Lickley et al. (2022) found a discrepancy for CFC-115 in which the modelled mole fraction increased through the simulation period (1960–2020), which is in contrast to observed real world mole fractions which were comparatively constant. This is qualitatively consistent with the results shown in Fig. 5, where emissions estimates using the new, shorter lifetime, are greater than those derived using the previously estimated lifetime.

4 Conclusion

In this paper we used in situ data to investigate four relatively long-lived CFCs: CFC-13, CFC-114, CFC-114a, and CFC-115. These are important because due to their long lifetimes they will be present in the atmosphere longer and thus contribute to ozone depletion for longer. This paper presents newly derived (using in situ data) policy relevant metrics for these compounds (Table 4).

This study derived updated steady-state stratospheric lifetimes for these compounds (Sect. 3.1), and in the case of CFC-13 and CFC-115 these were substantially lower than previous estimates. With such lower lifetimes, emissions for these compounds would need to be substantially greater in order to account for the compounds' abundance. Section 3.3 shows that this is indeed the case, with the greatest effect seen for the longer lived compounds (where the lifetimes have been more significantly revised). While this study suggests that emissions of CFC-13 and CFC-115 are likely to be higher than those previously estimated, at present it is not certain if these additional emissions are the result of long-term banks, or new production of the compounds, either deliberately, or as a by-product of other processes.

This paper also derives new FRFs and ODPs for these compounds using observational data. Section 3.1 presents newly derived FRFs; CFC-114 and CFC-115 were found to have lower FRFs than previously assumed (Burkholder and Hodnebrog, 2022). CFC-13 and CFC-114a did not have previously published FRFs, and therefore the results presented here address this gap. In terms of ODPs, Sect. 3.2 found that of the compounds studied here, only CFC-114 had ODPs that overlapped Burkholder and Hodnebrog (2022) within the uncertainties. CFC-13 had a larger ODP than previously estimated, while CFC-114a, and CFC-115 had smaller ODPs.

Emissions of the four long-lived CFCs discussed here have been increasing in recent years, despite a phase-out of the production of CFCs in 2010. The new metrics derived in this work will assist to further investigate the sources and impacts of these ongoing emissions. For example, Lickley et al. (2022) shows that long-term “banks” are likely to be greater than previous estimates had suggested and indicates that production of ODSs was higher than previously reported. In order to accurately assess these banks, accurate lifetimes for the compounds of interest are required. The new estimates for lifetimes found in Table 4 along with the method for using in situ data to determine lifetime described in Sect. 2.4 should aid in accounting for these banks. This in turn should assist in efforts to evaluate ongoing compliance with the Montreal Protocol.

Data availability

Data for this paper includes: The Cape Grim Observatory background trend (date and mixing ratio), as measured at UEA, for CFC-13, CFC-114, CFC-114a, and CFC-115. The mean ages, mixing ratios, and respective uncertainties for the four compounds studied, for all five Geophysica flights. The updated emissions estimates from Western et al. (2023) for all four compounds. This supplementary data can be found at: https://doi.org/10.5281/zenodo.16736497 (Tuffnell, 2025).

Author contributions

ECT wrote the article and conducted most of the analysis of the overall dataset. JCL, KEA, and ELE, conducted most of the sample measurements, and worked together with ECT to calculate the mean ages and fractional release factors. JCL and WTS coordinated activities for the University of East Anglia (UEA) related to the StratoClim aircraft campaigns. PJF, RLL and DEO organised the collection of samples from the Cape Grim Monitoring Station. TR coordinated the operation a whole air sampler on the research aircraft to collect the air samples used in this study. LMW calculated updated (from Western et al., 2023) emissions estimates using this paper's newly estimated stratospheric lifetimes. JM and PBK were the key contacts at AGAGE and contributed substantially to the scientific discussions surrounding this article, and the process of writing it. HB provided help in analysis of the dataset. Valuable comments on the manuscript were provided by all authors, in addition to helpful discussion and insights throughout the study process.

Competing interests

The contact author has declared that none of the authors has any competing interests.

Disclaimer

Publisher's note: Copernicus Publications remains neutral with regard to jurisdictional claims made in the text, published maps, institutional affiliations, or any other geographical representation in this paper. The authors bear the ultimate responsibility for providing appropriate place names. Views expressed in the text are those of the authors and do not necessarily reflect the views of the publisher.

Acknowledgements

AGAGE is supported principally by the National Aeronautics and Space Administration (USA) grants to the Massachusetts Institute of Technology and the Scripps Institution of Oceanography (Prinn et al., 2025).

The Kennaook/Cape Grim station is funded and managed by the Australian Bureau of Meteorology, with the scientific program jointly managed with the Commonwealth Scientific and Industrial Research Organisation (CSIRO). Support is also received from the Australian Department of Climate Change, Energy, the Environment and Water (DCCEEW), Refrigerant Reclaim Australia (RRA), the Australian Refrigeration Council (ARC), and through the NASA Upper Atmospheric Research Program award to MIT (80NSSC21K1369) with a sub-award to CSIRO for Kennaook/Cape Grim AGAGE activities.

The teamwork of the M-55 Geophysica pilots and crew, the campaign coordination team, and the other campaign participants and contributors is very gratefully acknowledged.The RECONCILE campaign was funded by the European Commission under the grant no. RECONCILE-226365-FP7ENV-2008-1. The ESSenCe campaign was funded through the ESA project PremierEx. The StratoClim flights were funded by the European Commission (FP7 project Stratoclim-603557, https://www.stratoclim.org, last access: 2 October 2025).

K.E.A. was funded by the UK Natural Environment Research Council through the EnvEast Doctoral Training Partnership (Grant NE/L002582/1). J.C.L. received funding from the UK Natural Environment Research Council (Research Fellowship NE/I021918/1) and ERC project EXC3ITE (EXC3ITE-678904-ERC-2015-STG).

Financial support

This research has been supported by the European Research Council, H2020 European Research Council (grant no. 678904).

The article processing charges for this open-access publication were covered by the Forschungszentrum Jülich.

Review statement

This paper was edited by John Plane and reviewed by Neil Harris and one anonymous referee.

References

Adcock, K. E., Reeves, C. E., Gooch, L. J., Leedham Elvidge, E. C., Ashfold, M. J., Brenninkmeijer, C. A. M., Chou, C., Fraser, P. J., Langenfelds, R. L., Mohd Hanif, N., O'Doherty, S., Oram, D. E., Ou-Yang, C.-F., Phang, S. M., Samah, A. A., Röckmann, T., Sturges, W. T., and Laube, J. C.: Continued increase of CFC-113a (CCl3CF3) mixing ratios in the global atmosphere: emissions, occurrence and potential sources, Atmos. Chem. Phys., 18, 4737–4751, https://doi.org/10.5194/acp-18-4737-2018, 2018. 

Adcock, K. E., Ashfold, M. J., Chou, C. C.-K., Gooch, L. J., Mohd Hanif, N., Laube, J. C., Oram, D. E., Ou-Yang, C.-F., Panagi, M., Sturges, W. T., and Reeves, C. E.: Investigation of East Asian Emissions of CFC-11 Using Atmospheric Observations in Taiwan, Environ. Sci. Technol., 54, 3814–3822, https://doi.org/10.1021/acs.est.9b06433, 2020. 

Adcock, K. E., Fraser, P. J., Hall, B. D., Langenfelds, R. L., Lee, G., Montzka, S. A., Oram, D. E., Röckmann, T., Stroh, F., Sturges, W. T., Vogel, B., and Laube, J. C.: Aircraft-Based Observations of Ozone-Depleting Substances in the Upper Troposphere and Lower Stratosphere in and Above the Asian Summer Monsoon, J. Geophys. Res.-Atmos., 126, https://doi.org/10.1029/2020JD033137, 2021. 

Allin, S. J., Laube, J. C., Witrant, E., Kaiser, J., McKenna, E., Dennis, P., Mulvaney, R., Capron, E., Martinerie, P., Röckmann, T., Blunier, T., Schwander, J., Fraser, P. J., Langenfelds, R. L., and Sturges, W. T.: Chlorine isotope composition in chlorofluorocarbons CFC-11, CFC-12 and CFC-113 in firn, stratospheric and tropospheric air, Atmos. Chem. Phys., 15, 6867–6877, https://doi.org/10.5194/acp-15-6867-2015, 2015. 

Barreto, H. and Howland, F.: “Introductory Econometrics: Using Monte Carlo Simulation with Microsoft Excel” Add-In, Cambridge University Press, https://doi.org/10.1017/CBO9780511809231, ISBN 9780511809231, 2010. 

Bourguet, S. and Lickley, M.: Bayesian modeling of HFC production pipeline suggests growth in unreported CFC by-product and feedstock production, https://doi.org/10.21203/rs.3.rs-4718479/v1, 2024. 

Brown, A. T., Volk, C. M., Schoeberl, M. R., Boone, C. D., and Bernath, P. F.: Stratospheric lifetimes of CFC-12, CCl4, CH4, CH3Cl and N2O from measurements made by the Atmospheric Chemistry Experiment-Fourier Transform Spectrometer (ACE-FTS), Atmos. Chem. Phys., 13, 6921–6950, https://doi.org/10.5194/acp-13-6921-2013, 2013. 

Burkholder, J. B. and Hodnebrog, Ø.: “ANNEX – Summary of Abundances, Lifetimes, ODPs, REs, GWPs, and GTPs”, World Meteorological Organization (WMO). Scientific Assessment of Ozone Depletion: 2022, GAW Report No. 278, World Meteorological Organization (WMO), Geneva, ISBN 978-9914-733-97-6, 2022. 

Burkholder, J. B., Sander, S. P., Abbatt, J., Barker, J. R., Cappa, C., Crounse, J. D., Dibble, T. S., Huie, R. E., Kolb, C. E., Kurylo, M. J., Orkin, V. L., Percival, C. J., Wilmouth, D. M., and Wine, P. H.: Chemical Kinetics and Photochemical Data for Use in Atmospheric Studies, Evaluation No. 19, JPL Publication 19-5, Jet Propulsion Laboratory, Pasadena, http://jpldataeval.jpl.nasa.gov (last access: 2 October 2025), 2019. 

Butchart, N., Scaife, A. A., Bourqui, M., Grandpré, J., Hare, S. H. E., Kettleborough, J., Langematz, U., Manzini, E., Sassi, F., Shibata, K., Shindell, D., and Sigmond, M.: Simulations of anthropogenic change in the strength of the Brewer-Dobson circulation, Clim. Dynam., 27, 727–741, https://doi.org/10.1007/s00382-006-0162-4, 2006. 

Carpenter, L. J., Reimann, S., Burkholder, J. B., Clerbaux, C., Hall, B. D., Hossaini, R., Laube, J. C., Yvon-Lewis, S. A., Blake, D. R., Dorf, M., Dutton, G. S., Fraser, P. J., Froidevaux, L., Hendrick, F., Hu, J., Jones, A., Krummel, P. B., Kuijpers, L. J. M., Kurylo, M. J., Liang, Q., Mahieu, E., Mühle, J., O'Doherty, S., Ohnishi, K., Orkin, V. L., Pfeilsticker, K., Rigby, M., Simpson, I. J., and Yokouchi, Y.: CHAPTER 1 Update on Ozone-Depleting Substances (ODSs) and Other Gases of Interest to the Montreal Protocol Update on ozone-depleting substances (ODSs) and other gases of interest to the Montréal protocol contents, Global Ozone Research and Monitoring Project-Report, Montreal Protocol, ISBN 978-9966-076-01-4, 2014. 

Cunnold, D. M., Prinn, R. G., Rasmussen, R. A., Simmonds, P. G., Alyea, F. N., Cardelino, C. A., Crawford, A. J., Fraser, P. J., and Rosen, R. D.: Atmospheric lifetime and annual release estimates for CFCl3 and CF2Cl2 from 5 years of ALE data, J. Geophys. Res.-Atmos., 91, 10797–10817, https://doi.org/10.1029/JD091ID10P10797, 1986. 

Daniel, J. S., Reimann, S., Ashford, P., Fleming, E. L., Hossaini, R., Lickley, M. J., Schofield, R., and Walter-Terrinoni, H.: Chapter 7: Scenarios and Information for Policymakers, in: Scientific Assessment of Ozone Depletion: 2022, GAW Report No. 278, World Meteorological Organization (WMO), Geneva, 2022. 

Davis, M. E., Bernard, F., McGillen, M. R., Fleming, E. L., and Burkholder, J. B.: UV and infrared absorption spectra, atmospheric lifetimes, and ozone depletion and global warming potentials for CCl2FCCl2F (CFC-112), CCl3CClF2 (CFC-112a), CCl3CF3 (CFC-113a), and CCl2FCF3 (CFC-114a), Atmos. Chem. Phys., 16, 8043–8052, https://doi.org/10.5194/acp-16-8043-2016, 2016. 

Engel, A., Strunk, M., Müller, M., Haase, H. P., Poss, C., Levin, I., and Schmidt, U.: Temporal development of total chlorine in the high-latitude stratosphere based on reference distributions of mean age derived from CO2 and SF6, J. Geophys. Res.-Atmos., 107, https://doi.org/10.1029/2001jd000584, 2002. 

Engel, A., Bönisch, H., Ostermöller, J., Chipperfield, M. P., Dhomse, S., and Jöckel, P.: A refined method for calculating equivalent effective stratospheric chlorine, Atmos. Chem. Phys., 18, 601–619, https://doi.org/10.5194/acp-18-601-2018, 2018a. 

Engel, A., Rigby, M., Burkholder, J. B., Fernandez, R. P., Froidevaux, L., Hall, B. D., Hossaini, R., Saito, T., Vollmer, M. K., and Yao, B.: Update on Ozone-Depleting Substances (ODSs) and Other Gases of Interest to the Montreal Protocol, Chapter 1 in Scientific Assessment of Ozone Depletion: 2018, World Meteorological Organization (WMO), Geneva, ISBN 978-1-7329317-1-8, 2018b. 

Fisher, D. A. and Midgley, P. M.: The production and release to the atmosphere of CFCs 113, 114 and 115, Atmos. Environ., 27, 271–276, https://doi.org/10.1016/0960-1686(93)90357-5, 1993. 

Golombek, A. and Prinn, R. G.: Global Three-Dimensional Model Calculations of the Budgets and Present-Day Atmospheric Lifetimes of CF2ClCFCl2 (CFC-113) and CHClF2 (CFC-22), Geophys. Res. Lett., 16, 1153–1156, https://doi.org/10.1029/GL016i010p01153, 1989. 

Holton, J. R.: On the Global Exchange of Mass between the Stratosphere and Troposphere, J. Atmos. Sci., 47, 392–395, https://doi.org/10.1175/1520-0469(1990)047<0392:OTGEOM>2.0.CO;2, 1990. 

Johansson, S., Höpfner, M., Kirner, O., Wohltmann, I., Bucci, S., Legras, B., Friedl-Vallon, F., Glatthor, N., Kretschmer, E., Ungermann, J., and Wetzel, G.: Pollution trace gas distributions and their transport in the Asian monsoon upper troposphere and lowermost stratosphere during the StratoClim campaign 2017, Atmos. Chem. Phys., 20, 14695–14715, https://doi.org/10.5194/acp-20-14695-2020, 2020. 

Kaufmann, M., Blank, J., Friedl-Vallon, F., Gerber, D., Guggenmoser, T., Hoepfner, M., Kleinert, A., Sha, M. K., Oelhaf, H., Riese, M., Suminska-Ebersoldt, O., Woiwode, W., Siddans, R., Kerridge, B., Moyna, B., Rea, S., and Oldfield, M.: ESSenCe-Final-Report, Research Centre Jülich, https://doi.org/10.5270/esa-9jtyjr0, 2013. 

Kloss, C., Newland, M. J., Oram, D. E., Fraser, P. J., Brenninkmeijer, C. A. M., Röckmann, T., and Laube, J. C.: Atmospheric abundances, trends and emissions of CFC-216ba, CFC-216ca and HCFC-225ca, Atmosphere-Basel, 5, 420–434, https://doi.org/10.3390/atmos5020420, 2014. 

Ko, M. K. W., Sze, N. D., and Weisenstein, D. K.: Use of satellite data to constrain the model-calculated atmospheric lifetime for N2O: implications for other trace gases, J. Geophys. Res., 96, 7547–7552, https://doi.org/10.1029/91JD00273, 1991. 

Ko, M. K. W., Newman, P. A., Reimann, S., and Strahan, S. E.: Stratosphere-troposphere Processes And their Role in Climate (SPARC) Report on the Lifetimes of Stratospheric Ozone-Depleting Substances, Their Replacements, and Related Species, SPARC Rep., No. 6, 256 pp., https://aparc-climate.org/publications/sparc-report-no-6/ (last access: 2 October 2025), 2013. 

Kouznetsov, R., Sofiev, M., Vira, J., and Stiller, G.: Simulating age of air and the distribution of SF6 in the stratosphere with the SILAM model, Atmos. Chem. Phys., 20, 5837–5859, https://doi.org/10.5194/acp-20-5837-2020, 2020. 

Kovács, T., Feng, W., Totterdill, A., Plane, J. M. C., Dhomse, S., Gómez-Martín, J. C., Stiller, G. P., Haenel, F. J., Smith, C., Forster, P. M., García, R. R., Marsh, D. R., and Chipperfield, M. P.: Determination of the atmospheric lifetime and global warming potential of sulfur hexafluoride using a three-dimensional model, Atmos. Chem. Phys., 17, 883–898, https://doi.org/10.5194/acp-17-883-2017, 2017. 

Laube, J., Tegtmeier, S., Fernandez R. P., Harrison, J., Hu, L., Krummel, P., Mahieu, E., Park, S., and Western, L.: Chapter 1: Update On Ozone-Depleting Substances (ODSs) And Other Gases Of Interest To The Montreal Protocol, Scientific Assessment of Ozone Depletion: 2022, GAW Report No. 278, World Meteorological Organization (WMO), Geneva, ISBN 978-9914-733-97-6, 2022. 

Laube, J. C., Engel, A., Bönisch, H., Möbius, T., Sturges, W. T., Braß, M., and Röckmann, T.: Fractional release factors of long-lived halogenated organic compounds in the tropical stratosphere, Atmos. Chem. Phys., 10, 1093–1103, https://doi.org/10.5194/acp-10-1093-2010, 2010. 

Laube, J. C., Keil, A., Bönisch, H., Engel, A., Röckmann, T., Volk, C. M., and Sturges, W. T.: Observation-based assessment of stratospheric fractional release, lifetimes, and ozone depletion potentials of ten important source gases, Atmos. Chem. Phys., 13, 2779–2791, https://doi.org/10.5194/acp-13-2779-2013, 2013. 

Laube, J. C., Mohd Hanif, N., Martinerie, P., Gallacher, E., Fraser, P. J., Langenfelds, R., Brenninkmeijer, C. A. M., Schwander, J., Witrant, E., Wang, J.-L., Ou-Yang, C.-F., Gooch, L. J., Reeves, C. E., Sturges, W. T., and Oram, D. E.: Tropospheric observations of CFC-114 and CFC-114a with a focus on long-term trends and emissions, Atmos. Chem. Phys., 16, 15347–15358, https://doi.org/10.5194/acp-16-15347-2016, 2016. 

Laube, J. C., Leedham Elvidge, E. C., Adcock, K. E., Baier, B., Brenninkmeijer, C. A. M., Chen, H., Droste, E. S., Grooß, J.-U., Heikkinen, P., Hind, A. J., Kivi, R., Lojko, A., Montzka, S. A., Oram, D. E., Randall, S., Röckmann, T., Sturges, W. T., Sweeney, C., Thomas, M., Tuffnell, E., and Ploeger, F.: Investigating stratospheric changes between 2009 and 2018 with halogenated trace gas data from aircraft, AirCores, and a global model focusing on CFC-11, Atmos. Chem. Phys., 20, 9771–9782, https://doi.org/10.5194/acp-20-9771-2020, 2020. 

Lee, C., Martin, R. V., Van Donkelaar, A., Lee, H., Dickerson, R. R., Hains, J. C., Krotkov, N., Richter, A., Vinnikov, K., and Schwab, J. J.: SO2 emissions and lifetimes: Estimates from inverse modeling using in situ and global, space-based (SCIAMACHY and OMI) observations, J. Geophys. Res.-Atmos., 116, https://doi.org/10.1029/2010JD014758, 2011. 

Lee, K.-O., Barret, B., Flochmoën, E. L., Tulet, P., Bucci, S., von Hobe, M., Kloss, C., Legras, B., Leriche, M., Sauvage, B., Ravegnani, F., and Ulanovsky, A.: Convective uplift of pollution from the Sichuan Basin into the Asian monsoon anticyclone during the StratoClim aircraft campaign, Atmos. Chem. Phys., 21, 3255–3274, https://doi.org/10.5194/acp-21-3255-2021, 2021. 

Leedham Elvidge, E. C., Bönisch, H., Brenninkmeijer, C. A. M., Engel, A., Fraser, P. J., Gallacher, E., Langenfelds, R., Mühle, J., Oram, D. E., Ray, E. A., Ridley, A. R., Röckmann, T., Sturges, W. T., Weiss, R. F., and Laube, J. C.: Evaluation of stratospheric age of air from CF4, C2F6, C3F8, CHF3, HFC-125, HFC-227ea and SF6; implications for the calculations of halocarbon lifetimes, fractional release factors and ozone depletion potentials, Atmos. Chem. Phys., 18, 3369–3385, https://doi.org/10.5194/acp-18-3369-2018, 2018. 

Liang, Q., Newman, P. A., and Reimann, S.: SPARC Report on the Mystery of Carbon Tetrachloride, https://doi.org/10.3929/ethz-a-010690647, 2016. 

Lickley, M., Solomon, S., Fletcher, S., Velders, G. J. M., Daniel, J., Rigby, M., Montzka, S. A., Kuijpers, L. J. M., and Stone, K.: Quantifying contributions of chlorofluorocarbon banks to emissions and impacts on the ozone layer and climate, Nat. Commun., 11, https://doi.org/10.1038/s41467-020-15162-7, 2020. 

Lickley, M. J., Daniel, J. S., Fleming, E. L., Reimann, S., and Solomon, S.: Bayesian assessment of chlorofluorocarbon (CFC), hydrochlorofluorocarbon (HCFC) and halon banks suggest large reservoirs still present in old equipment, Atmos. Chem. Phys., 22, 11125–11136, https://doi.org/10.5194/acp-22-11125-2022, 2022. 

Loeffel, S., Eichinger, R., Garny, H., Reddmann, T., Fritsch, F., Versick, S., Stiller, G., and Haenel, F.: The impact of sulfur hexafluoride (SF6) sinks on age of air climatologies and trends, Atmos. Chem. Phys., 22, 1175–1193, https://doi.org/10.5194/acp-22-1175-2022, 2022. 

Minschwaner, K., Hoffmann, L., Brown, A., Riese, M., Müller, R., and Bernath, P. F.: Stratospheric loss and atmospheric lifetimes of CFC-11 and CFC-12 derived from satellite observations, Atmos. Chem. Phys., 13, 4253–4263, https://doi.org/10.5194/acp-13-4253-2013, 2013. 

Montzka, S. A., Butler, J. H., Elkins, J. W., Thompson, T. M., Clarke, A. D., and Lock, L. T.: Present and future trends in the atmospheric burden of ozone-depleting halogens, Nature, 398, 690–694, https://doi.org/10.1038/19499, 1999. 

Murphy, A. B., Farmer, A. J. D., Horrigan, E. C., and McAllister, T.: Plasma Destruction of Ozone Depleting Substances, Plasma Chem. Plasma P., 22, 371–385, https://doi.org/10.1023/A:1015365032020, 2002. 

Newman, P. A., Daniel, J. S., Waugh, D. W., and Nash, E. R.: A new formulation of equivalent effective stratospheric chlorine (EESC), Atmos. Chem. Phys., 7, 4537–4552, https://doi.org/10.5194/acp-7-4537-2007, 2007. 

Ostermöller, J., Bönisch, H., Jöckel, P., and Engel, A.: A new time-independent formulation of fractional release, Atmos. Chem. Phys., 17, 3785–3797, https://doi.org/10.5194/acp-17-3785-2017, 2017. 

Papanastasiou, D. K., Beltrone, A., Marshall, P., and Burkholder, J. B.: Global warming potential estimates for the C1C3 hydrochlorofluorocarbons (HCFCs) included in the Kigali Amendment to the Montreal Protocol, Atmos. Chem. Phys., 18, 6317–6330, https://doi.org/10.5194/acp-18-6317-2018, 2018. 

Plumb, R. A.: Tracer interrelationships in the stratosphere, Rev. Geophys., 45, https://doi.org/10.1029/2005RG000179, 2007. 

Plumb, R. A. and Ko, M. K. W.: Interrelationships between mixing ratios of long-lived stratospheric constituents, J. Geophys. Res., 97, https://doi.org/10.1029/92JD00450, 1992. 

Plumb, R. A. and Zheng, X.: Source determination from trace gas observations: An orthogonal function approach and results for long-lived gases with surface sources, J. Geophys. Res.-Atmos., 101, 18569–18585, https://doi.org/10.1029/96jd00573, 1996. 

Prather, M. J., Froidevaux, L., and Livesey, N. J.: Observed changes in stratospheric circulation: decreasing lifetime of N2O, 2005–2021, Atmos. Chem. Phys., 23, 843–849, https://doi.org/10.5194/acp-23-843-2023, 2023. 

Prinn, R., Weiss, R., Arduini, J., Choi, H., Engel, A., Fraser, P., Ganesan, A., Harth, C., Hermansen, O., Kim, J., Krummel, P., Loh, Z., Lunder, C., Maione, M., Manning, A., Mitrevski, B., Mühle, J., O'Doherty, S., Park, S., Pitt, J., Reimann, S., Rigby, M., Saito, T., Salameh, P., Schmidt, R., Simmonds, P., Stanley, K., Stavert, A., Steele, P., Vollmer, M., Wagenhäuser, T., Wang, H., Wenger, A., Western, L., Yao, B., Young, D., Zhou, L., and Zhu, L.: The dataset of in-situ measurements of chemically and radiatively important atmospheric gases from the Advanced Global Atmospheric Gas Experiment (AGAGE) and affiliated stations (20250721), https://doi.org/10.60718/75D7-QE84, 2025. 

Prinn, R. G., Weiss, R. F., Fraser, P. J., Simmonds, P. G., Cunnold, D. M., Alyea, F. N., O'Doherty, S., Salameh, P., Miller, B. R., Huang, J., Wang, R. H. J., Hartley, D. E., Harth, C., Steele, L. P., Sturrock, G., Midgley, P. M., and McCulloch, A.: A history of chemically and radiatively important gases in air deduced from ALE/GAGE/AGAGE, J. Geophys. Res.-Atmos., 105, 17751–17792, https://doi.org/10.1029/2000JD900141, 2000. 

Prinn, R. G., Weiss, R. F., Arduini, J., Arnold, T., DeWitt, H. L., Fraser, P. J., Ganesan, A. L., Gasore, J., Harth, C. M., Hermansen, O., Kim, J., Krummel, P. B., Li, S., Loh, Z. M., Lunder, C. R., Maione, M., Manning, A. J., Miller, B. R., Mitrevski, B., Mühle, J., O'Doherty, S., Park, S., Reimann, S., Rigby, M., Saito, T., Salameh, P. K., Schmidt, R., Simmonds, P. G., Steele, L. P., Vollmer, M. K., Wang, R. H., Yao, B., Yokouchi, Y., Young, D., and Zhou, L.: History of chemically and radiatively important atmospheric gases from the Advanced Global Atmospheric Gases Experiment (AGAGE), Earth Syst. Sci. Data, 10, 985–1018, https://doi.org/10.5194/essd-10-985-2018, 2018. 

Ravishankara, A. R., Solomon, S., Turnipseed, A. A., and Warren, R. F.: Atmospheric lifetimes of long-lived halogenated species, Science, 259, 194–199, https://doi.org/10.1126/science.259.5092.194, 1993. 

Ray, E. A., Moore, F. L., Elkins, J. W., Rosenlof, K. H., Laube, J. C., Röckmann, T., Marsh, D. R., and Andrews, A. E.: Quantification of the SF6 lifetime based on mesospheric loss measured in the stratospheric polar vortex, J. Geophys. Res., 122, 4626–4638, https://doi.org/10.1002/2016JD026198, 2017. 

Rigby, M., Prinn, R. G., O'Doherty, S., Montzka, S. A., McCulloch, A., Harth, C. M., Mühle, J., Salameh, P. K., Weiss, R. F., Young, D., Simmonds, P. G., Hall, B. D., Dutton, G. S., Nance, D., Mondeel, D. J., Elkins, J. W., Krummel, P. B., Steele, L. P., and Fraser, P. J.: Re-evaluation of the lifetimes of the major CFCs and CH3CCl3 using atmospheric trends, Atmos. Chem. Phys., 13, 2691–2702, https://doi.org/10.5194/acp-13-2691-2013, 2013. 

Rigby, M., Park, S., Saito, T., Western, L. M., Redington, A. L., Fang, X., Henne, S., Manning, A. J., Prinn, R. G., Dutton, G. S., Fraser, P. J., Ganesan, A. L., Hall, B. D., Harth, C. M., Kim, J., Kim, K. R., Krummel, P. B., Lee, T., Li, S., Liang, Q., Lunt, M. F., Montzka, S. A., Mühle, J., O'Doherty, S., Park, M. K., Reimann, S., Salameh, P. K., Simmonds, P., Tunnicliffe, R. L., Weiss, R. F., Yokouchi, Y., and Young, D.: Increase in CFC-11 emissions from eastern China based on atmospheric observations, Nature, 569, 546–550, https://doi.org/10.1038/s41586-019-1193-4, 2019. 

Solomon, S., Mills, M., Heidt, L. E., Pollock, W. H., and Tuck, A. F.: On the evaluation of ozone depletion potentials, J. Geophys. Res.-Atmos., 97, 825–842, https://doi.org/10.1029/91JD02613, 1992. 

Strunk, M., Engel, A., Schmidt, U., Volk, C. M., Wetter, T., Levin, I., and Glatzel-Mattheier, H.: CO2 and SF6 as stratospheric age tracers: Consistency and the effect of mesospheric SF6-loss, Geophys. Res. Lett., 27, 341–344, https://doi.org/10.1029/1999GL011044, 2000. 

TEAP: Montreal Protocol on substances that deplete the ozone layer, Technology and Economic Assessment Panel task force decision xx/8 report “Assessment of alternatives to HCFCS and HFCS and update of the TEAP 2005 supplement report data,” UNEP, https://ozone.unep.org/science/assessment/teap (last access: 28 March 2026), 2009. 

Tuffnell, E. C.: Supplmentary data for: Observationally-derived Fractional Release Factors, Ozone Depletion Potentials, and Stratospheric Lifetimes of Four Long-Lived CFCs: CFC-13 (CClF3), CFC-114 (C2Cl2F4), CFC-114a (CF3CCl2F), and CFC-115 (C2ClF5), Zenodo [data set], https://doi.org/10.5281/zenodo.16736497, 2025. 

UNEP: Twenty-Eighth Meeting of the Parties to the Montreal Protocol on Substances that Deplete the Ozone Layer, United Nations Environment Programme, Kigali, https://ozone.unep.org/meetings/twenty-eighth-meeting-parties/final-report (last access: 28 March 2026), 2016.  

UNEP: Handbook for the Montreal Protocol on Substances that Deplete the Ozone Layer, 11th edn., United Nations Environment Programme, ISBN 978-9966-076-79-3, 2017. 

Vollmer, M. K., Young, D., Trudinger, C. M., Mühle, J., Henne, S., Rigby, M., Park, S., Li, S., Guillevic, M., Mitrevski, B., Harth, C. M., Miller, B. R., Reimann, S., Yao, B., Steele, L. P., Wyss, S. A., Lunder, C. R., Arduini, J., McCulloch, A., Wu, S., Rhee, T. S., Wang, R. H. J., Salameh, P. K., Hermansen, O., Hill, M., Langenfelds, R. L., Ivy, D., O'Doherty, S., Krummel, P. B., Maione, M., Etheridge, D. M., Zhou, L., Fraser, P. J., Prinn, R. G., Weiss, R. F., and Simmonds, P. G.: Atmospheric histories and emissions of chlorofluorocarbons CFC-13 (CClF3), ΣCFC-114 (C2Cl2F4), and CFC-115 (C2ClF5), Atmos. Chem. Phys., 18, 979–1002, https://doi.org/10.5194/acp-18-979-2018, 2018. 

von Hobe, M., Bekki, S., Borrmann, S., Cairo, F., D'Amato, F., Di Donfrancesco, G., Dörnbrack, A., Ebersoldt, A., Ebert, M., Emde, C., Engel, I., Ern, M., Frey, W., Genco, S., Griessbach, S., Grooß, J.-U., Gulde, T., Günther, G., Hösen, E., Hoffmann, L., Homonnai, V., Hoyle, C. R., Isaksen, I. S. A., Jackson, D. R., Jánosi, I. M., Jones, R. L., Kandler, K., Kalicinsky, C., Keil, A., Khaykin, S. M., Khosrawi, F., Kivi, R., Kuttippurath, J., Laube, J. C., Lefèvre, F., Lehmann, R., Ludmann, S., Luo, B. P., Marchand, M., Meyer, J., Mitev, V., Molleker, S., Müller, R., Oelhaf, H., Olschewski, F., Orsolini, Y., Peter, T., Pfeilsticker, K., Piesch, C., Pitts, M. C., Poole, L. R., Pope, F. D., Ravegnani, F., Rex, M., Riese, M., Röckmann, T., Rognerud, B., Roiger, A., Rolf, C., Santee, M. L., Scheibe, M., Schiller, C., Schlager, H., Siciliani de Cumis, M., Sitnikov, N., Søvde, O. A., Spang, R., Spelten, N., Stordal, F., Sumińska-Ebersoldt, O., Ulanovski, A., Ungermann, J., Viciani, S., Volk, C. M., vom Scheidt, M., von der Gathen, P., Walker, K., Wegner, T., Weigel, R., Weinbruch, S., Wetzel, G., Wienhold, F. G., Wohltmann, I., Woiwode, W., Young, I. A. K., Yushkov, V., Zobrist, B., and Stroh, F.: Reconciliation of essential process parameters for an enhanced predictability of Arctic stratospheric ozone loss and its climate interactions (RECONCILE): activities and results, Atmos. Chem. Phys., 13, 9233–9268, https://doi.org/10.5194/acp-13-9233-2013, 2013. 

Waugh, D. W., Strahan, S. E., and Newman, P. A.: Sensitivity of stratospheric inorganic chlorine to differences in transport, Atmos. Chem. Phys., 7, 4935–4941, https://doi.org/10.5194/acp-7-4935-2007, 2007. 

Western, L. M., Vollmer, M. K., Krummel, P. B., Adcock, K. E., Crotwell, M., Fraser, P. J., Harth, C. M., Langenfelds, R. L., Montzka, S. A., Mühle, J., O'Doherty, S., Oram, D. E., Reimann, S., Rigby, M., Vimont, I., Weiss, R. F., Young, D., and Laube, J. C.: Global increase of ozone-depleting chlorofluorocarbons from 2010 to 2020, Nat. Geosci., 16, 309–313, https://doi.org/10.1038/s41561-023-01147-w, 2023. 

Download
Short summary
The greater the stratospheric lifetime of chlorofluorocarbons (CFCs), the longer they will deplete ozone. This paper investigates four longer-lived CFCs, and discovers two of them have much shorter lifetimes than previously believed. Demonstrating emissions of these compounds are higher than assumed, to account for their abundance. Unusually this paper uses stratospheric whole-air samples, rather than models or lab-based experiments, to derive policy-relevant metrics for these compounds.
Share
Altmetrics
Final-revised paper
Preprint