Articles | Volume 26, issue 5
https://doi.org/10.5194/acp-26-3697-2026
https://doi.org/10.5194/acp-26-3697-2026
Research article
 | 
16 Mar 2026
Research article |  | 16 Mar 2026

Cloud condensation nuclei phenomenology: predictions based on aerosol chemical and optical properties

Inés Zabala, Juan Andrés Casquero-Vera, Elisabeth Andrews, Andrea Casans, Gerardo Carrillo-Cardenas, Anna Gannet Hallar, and Gloria Titos
Abstract

This study presents a comprehensive phenomenological analysis of cloud condensation nuclei (CCN) and aerosol properties – including activation properties, microphysical characteristics, chemical composition, and optical properties – across nine surface sites in different environments. Aerosol properties vary widely, reflecting the diverse environments, and controlling the CCN activation characteristics. Despite their critical role in aerosol–cloud interactions, CCN observations remain sparse and unevenly distributed, limiting global assessments of activation behavior. To address this gap, this study presents CCN predictive methods based on chemical composition combined with particle number size distribution (PNSD) data, and aerosol optical properties (AOPs). The chemical composition driven predictions are tested using three hygroscopicity schemes. All schemes overpredict the CCN concentrations (median relative bias; MRB = 13 %–15 %), although the two composition-derived CCN concentrations are markedly better predictors than the fixed-κchem assumption (MRB = 24 %). The AOPs-derived CCN prediction is based on two approaches: first, an extended empirical parameterization of Shen et al. (2019) (hereafter S2019) to 13 stations, which reduces bias from −27 % to −8 % and improves CCN agreement; and second, a random forest model that infers Twomey activation parameters (C and k) using both the S2019 variables and all the available AOPs. Including all AOPs reduces MRB from 19 % to 15 % and highlights the role of absorption in predicting CCN activation. These findings demonstrate that both chemical and optical measurements can provide a reasonable estimate of CCN concentrations when direct measurements are unavailable. These results will enable retrospective analyses of long-term aerosol time series to investigate aerosol–cloud interactions.

Share
1 Introduction

Aerosol-cloud interactions (ACI) represent the largest source of uncertainty in quantifying the effective radiative forcing of anthropogenic aerosols, as highlighted in the IPCC: Intergovernmental Panel on Climate Change (2021) report. Within the total aerosol-induced effective radiative forcing of -1.3(±0.7) W m2, ACI contributes approximately -1.0(±0.7) W m2. This substantial uncertainty in ACI related processes arises primarily from an incomplete understanding of how changes in cloud droplet number concentration and size affect cloud water content and cloud spatial extent. These changes are driven mainly by variations in the abundance of cloud condensation nuclei (CCN) – aerosol particles that act as seeds for cloud droplet activation. Therefore, improving our understanding of CCN variability across spatial and temporal scales is essential to reduce uncertainties in global aerosol–cloud interactions and, by extension, climate projections (Seinfeld et al.2016).

Reducing these uncertainties requires an improved understanding of aerosol properties across both long-term/large-scale and short-term/regional contexts. Key properties to reduce these uncertainties include aerosol number concentration, size distribution, chemical composition, and the ability of these particles to act as CCN. Over the past few decades, numerous studies have investigated the spatial and temporal variability of CCN and the factors controlling their concentrations in diverse (urban, continental, high-altitude, marine, and polar regions) environments (e.g., Ansmann et al.2023; Deng et al.2018; Gallo et al.2023; Jurányi et al.2011; Patel and Jiang2021; Rejano et al.2021; Rose et al.2010). However, most of these observations are based on short-term field campaigns and their comparability is limited due to differences in instrumentation and data processing, complicating efforts to quantify CCN impacts at the global scale. Thus, improving our understanding of aerosol-cloud interactions relies heavily on consistent and long-term measurements of particle number size distributions (PNSD), CCN number concentrations (NCCN), aerosol chemical composition and hygroscopicity (Fanourgakis et al.2019). A significant contribution to addressing this limitation was made by Schmale et al. (2017, 2018), who conducted a phenomenological study of collocated PNSD, chemical composition, and CCN measurements at 11 observatories – eight in Europe, two in Asia, and one in the USA. However, expanding this analysis to a global scale requires a more extensive dataset with measurements in regions not previously studied. To address this, Andrews et al. (2025a) recently compiled a dataset of PNSD, aerosol optical properties (AOPs), chemical composition and CCN at 10 observatories – three in the continental USA, two in South America, two in the Arctic and two in the middle of the Atlantic Ocean.

Even with the recent improvement in spatial coverage of CCN measurements and harmonized datasets (e.g., Andrews et al.2025a and others), the limited current availability of direct measurements of NCCN is still not adequate for climate research due to the high spatio-temporal heterogeneity of atmospheric aerosol. To overcome this limitation of regional/short-term measurements, several studies have investigated the use of more widely available aerosol parameters, particularly AOPs, for CCN estimation (e.g., Ghan et al.2006; Shinozuka et al.2009, 2015; Andreae2009; Jefferson2010; Liu and Li2014; Tao et al.2018). These include properties such as the scattering coefficient (σsp), back-scattered fraction (BSF), and aerosol optical depth (AOD), which are routinely measured by ground-based networks (e.g., AERONET, GAW) and satellites. For example, Jefferson (2010) used σsp, BSF and single scattering albedo (SSA) to parameterize Twomey’s empirical CCN activation parametrization (Twomey1959), estimating the coefficients C and k. Previous studies have shown that C and k parameterizations are site-dependent and are affected by the loading and chemical composition of aerosol particles, respectively (e.g., Rejano et al.2021). To address this site dependency, Shen et al. (2019) developed a CCN prediction equation based on in-situ aerosol optical properties and showed that correlations between the fit parameters could be used to reduce site dependency and improve generalization across regions.

The combination of aerosol chemical composition and PNSD within the framework of κ-Köhler theory has been widely applied to estimate CCN concentrations (e.g., Gunthe et al.2009; Jurányi et al.2010; Wang et al.2010; Cai et al.2022; Rejano et al.2024). These estimates rely on different assumptions regarding the reconstruction of bulk aerosol hygroscopicity from individual chemical components (Schmale et al.2018; Rejano et al.2024). Reported closure agreement varies across studies, with aerosol mixing state identified as a key factor influencing CCN prediction accuracy (Cubison et al.2008). The relationship between CCN spectral parameters and aerosol properties is often highly nonlinear because CCN activation depends not only on particle composition but also on size, with particles of different diameters activating at different supersaturation (SS) levels (e.g., Liang et al.2022; Ervens et al.2007; Nair and Yu2020). These nonlinearities limit the effectiveness of traditional linear analyses in fully capturing the complexity of aerosol CCN activity.

In recent years, machine learning (ML) has emerged as a powerful tool in atmospheric science, capable of capturing complex nonlinear relationships. To the best of our knowledge, the first application of ML to CCN prediction was introduced by Nair and Yu (2020) and later expanded by Nair et al. (2020), who developed a model using aerosol chemical composition and meteorological parameters under specific SS conditions. Rejano et al. (2024) applied a neural network at a high-altitude site with four inputs: N80 (concentration of particles larger than 80 nm), the OA/PM1 ratio (organic aerosol to PM1 mass concentration), the oxidation proxy f44 (fraction of organic signal at m/z 44), and global solar irradiance. Liang et al. (2022) and Lenhardt et al. (2025) both applied random forest (RF) models, the former achieving robust CCN estimates from AOPs without chemical data and the latter identifying aerosol size as the main predictor of CCN–lidar backscatter relationships. More recently, Wang et al. (2025b) applied an ensemble of ML methods to six sites to determine the most important AOPs for CCN prediction. Collectively, these studies highlight the potential of ML to improve spatial and temporal characterization of CCN, with implications for satellite retrievals and climate models. However, applications remain largely site-specific, and generalizability across diverse environments is still uncertain, although Wang et al. (2025b) observed consistent patterns within similar site types.

In this study, observations from 9 observatories comprising collocated measurements of PNSDs, CCN number concentrations, CCN activation properties, and, in some cases, aerosol chemical composition and AOPs are analyzed. The stations cover a range of environmental conditions (continental, mountain, marine and polar). In what follows, first, the CCN phenomenology in terms of CCN concentration and activation parameters related to size distribution information is presented. Next, an overview of the chemical composition and in-situ AOPs, where available, is presented in connection with the observed CCN properties. CCN predictions based on aerosol chemical composition are evaluated and two additional approaches using aerosol optical properties, parameterizations and machine learning, are explored. Finally, the different prediction methods are systematically compared in the discussion section.

2 Methodology

This section first describes the location, environment type and the measurements available for each site. Then a brief description of the data quality control process is given. Next, we describe the CCN activation parameters and AOPs. Several CCN prediction schemes using the chemical composition and AOPs are presented. Finally, the random forest model methodology for CCN prediction is described.

2.1 Sites and measurement availability

This study considers 9 sites distributed across various environmental settings. All data presented here are described in Andrews et al. (2025a) and accessible at Andrews et al. (2025b). Although the Andrews et al. (2025a) dataset includes 10 sites, measurements at one of the sites (Ascension Island, ASI) were excluded from the present analysis due to unresolved instrument inconsistencies (e.g. temporal shifts in CCN-SMPS relationships) as reported by Che et al. (2025). Figure 1 shows the location, environment and measurement availability of each site, and Tables S4 and S5 in the Supplement present an overview of the characteristics of each station. Three observatories – MAO, COR and SGP – are located in continental environments, with MAO also occasionally influenced by urban emissions from the nearby municipality of Manacapuru (Brazil). One station – ENA – is situated in a marine region (north Atlantic Ocean). Additionally, ANX and MOS are located in the Arctic, where they sample both polar and marine aerosols. The MOS site corresponds to the MOSAiC (Multidisciplinary drifting Observatory for the Study of ArctIc Climate) expedition, where the instruments were deployed on an icebreaker frozen into and moving with the ice (Shupe et al.2022). The remaining three observatories – GUC, SBS-CP and SBS-SPL – are situated in mountainous terrain in Colorado (USA), although these mountain sites are also subject to continental influences. The SBS-CP and SBS-SPL observations occurred during the STORMVEX (Storm Peak Laboratory Cloud Property Validation Experiment) field campaign (Mace et al.2010), at the Steamboat Springs Ski Resort, separated by 5 km horizontally and 782 m vertically. The database includes both short-term campaigns with only a few months of measurements and long-term stations with several years of data, such as ENA and SGP. Further details on all sites and campaigns are provided in Andrews et al. (2025a).

From the available dataset developed by Andrews et al. (2025a), the data considered in this study include hourly-averaged measurements of NCCN, aerosol activation properties, PNSD, total particle number concentration, chemical composition and AOPs (i.e., aerosol light-scattering and backscattering coefficients and absorption coefficient). All data considered have been previously processed, harmonized and quality assured and are freely available (Andrews et al.2025b). All data are reported at standard pressure and temperature conditions (Tstd=0 °C and Pstd=1013 hPa) and at low relative humidity (<40 %) to ensure better comparability of results among collocated instruments at each site and across all 9 stations. The complete processing is described in detail in the data descriptor paper by Andrews et al. (2025a). A brief description of the instruments is provided below.

CCN concentrations were obtained with a CCN counter (CCNC), either the single-column (DMT1C) or the dual-column (DMT2C) version. Both models of CCNC had a column scanning across different SS with time, referred to as column A, and the DMT2C had an additional column measuring at a fixed SS, referred to as column B. Hourly-averaged PNSD data were derived from measurements made with a scanning mobility particle sizer (SMPS). The PNSD files also include the total particle number concentration measured by an independent condensation particle counter (CPC) over the same period. An integrating nephelometer and a particle soot absorption photometer (PSAP) provided aerosol optical data at most sites. The nephelometer measured aerosol scattering and backscattering coefficients at three wavelengths (450, 550 and 700 nm) and the PSAP measured absorption coefficients at 564, 529, and 648 nm. Optical measurements were made downstream of a switched impactor system so that both PM10 and PM1 values of the optical properties are available. Our analysis primarily relies on hourly PM10 optical data, while PM1 absorption data is used to complement the sub-micrometer composition data. The chemical composition data sets used in this study consist of hourly measurements from the quadrupole aerosol chemical speciation monitor (Q-ACSM, hereafter referred to as ACSM) and include the sub-micrometer mass concentration of particulate organics, sulfate, ammonium, nitrate, and chloride. Included with the ACSM data is the black carbon mass concentration derived from the PM1 PSAP absorption coefficient at 529 nm.

Tables S4 and S5 provide an overview of the instrument models, available measurements, and site-dependent settings. Note that two (SBS-CP and SBS-SPL) and five (ANX, MAO, MOS, SBS-CP, and SBS-SPL) of the 9 sites do not have optical and chemical composition measurements, respectively (Fig. 1).

https://acp.copernicus.org/articles/26/3697/2026/acp-26-3697-2026-f01

Figure 1Map of sites considered in this study. Site type is indicated with different colors; if the outline is different than the fill color the site could be described by more than one type (e.g., polar and marine). MOS is a mobile deployment so the location represents the midpoint of shiptrack. Symbols indicate measurements availability.

2.2 Data quality control

To ensure confidence in the measurements, the datasets used in this study rely on multiple instrument intercomparison quality checks (closure studies) previously described in Andrews et al. (2025a). These checks identify potential inconsistencies between collocated instruments and ensure correct instrument functioning. In this study, we make use of two of these quality checks.

The first quality check applies to DMT2C instruments. CCN concentrations at 0.4 % supersaturation measured by column B are compared with those at the same SS from column A to ensure internal consistency. Data are excluded if the concentration difference exceeds 50 % (quality flag Qc_column_AB in the harmonized files). As shown in Fig. S4 of Andrews et al. (2025a), data from all sites with 2-column CCNC generally show excellent agreement.

The second quality check compares the total particle number concentration (Ntot) derived from the SMPS PNSD with that measured by a stand-alone CPC. In this study, SMPS–CPC concentrations are excluded if the relative difference exceeds 50 % (quality check Qc_CPC_SMPS described in Andrews et al.2025a), but only when the contribution of particles smaller than 30 nm (N<30) to Ntot is less than 20 % (condition applied in this study). This additional condition avoids removing data due to discrepancies related to the CPC's lower size cutoff and counting efficiency, especially during new particle formation events, when CPC counts can substantially exceed those inferred from the SMPS. Overall, the SMPS–CPC comparison across sites shows good agreement, as illustrated in Fig. S1 of Andrews et al. (2025a).

After applying these two quality checks, less than 2 % of the CCN column A data and a similarly small fraction of SMPS data were excluded across all sites. Figure S5 shows the instrument operating periods at each site after these quality checks are applied. Gaps may also exist due to periods when instruments were offline or not functioning properly, and for optical data, when sample RH inside the nephelometer exceeded 40 %.

For MOS, additional post-processing prior to applying the quality checks was required to remove periods affected by ship emissions (Boyer et al.2023), using a pollution detection algorithm previously developed by Beck et al. (2022). The post-processing pollution detection algorithm was applied to the 5-minute resolution CPC data (MOS_smps_5min in Andrews et al.2025b). As all instruments in this campaign measured from the same inlet, periods identified as polluted using the CPC are considered polluted for all instruments. The algorithm applies several filters: a power law filter (a=0.95, m=0.6), a threshold filter (10–104 cm−3), a neighboring point filter, a median filter (30, 1.4), and a sparse data filter (30, 24). Only measurements classified as clean (66 % of the original data) are retained. After this filtering, minor additional removal of flagged SMPS (0.1 %) and CCN column A (0.07 %) data was applied. Figure S5 shows the available measurement periods at MOS after applying quality checks and the pollution detection algorithm.

2.3 CCN-derived properties

The Andrews et al. (2025a) data sets used in this study also include calculated parameters that can be used to characterize the CCN activation properties of the aerosol. These parameters are the activated fraction (AF), the critical diameter (Dcrit), and the hygroscopicity parameter (κCCN). The activated fraction (AF) represents the fraction of particles that activate as CCN at a given SS, calculated as the ratio of CCN concentration to the total particle number concentration. In this study, AF values derived from CPC measurements were used at all sites except MAO, where SMPS data were used due to the lack of CPC measurements. The critical diameter (Dcrit) represents the particle size above which all particles are activated into cloud droplets at a given SS. While the term critical diameter is sometimes used in Köhler theory to refer to the wet particle diameter at the maximum of the Köhler curve (corresponding to SScrit), we follow the terminology adopted in the considered data set (Andrews et al.2025b) and associated manuscript (Andrews et al.2025a), as well as in Schmale et al. (2018), where Dcrit denotes the dry diameter required for activation at a given SS. It can be derived by integrating the PNSD from the largest to the smallest diameters (Eq. 1) until the integrated number matches the measured CCN concentration at a given SS (Vogelmann et al.2012; Jurányi et al.2011). Alternatively, if Dcrit is assumed and size distribution measurements are available but CCN data are not, CCN concentrations can be estimated as the number of particles larger than Dcrit (Bougiatioti et al.2009; Kulkarni et al.2023; Rejano et al.2024).

(1) N CCN ( SS ) = D crit ( SS ) D max d N d log D d log D

The hygroscopicity parameter (κCCN) quantifies the ability of an aerosol population to absorb water from the environment and activate as cloud droplets (Petters and Kreidenweis2007). κCCN values derived from CCN measurements provide an estimate of the effective hygroscopicity of activated particles in the CCNC and exhibit a dependence on SS. Detailed derivations and equations for these parameters are provided in Andrews et al. (2025a).

2.4 ACSM-derived properties

Another approach to estimate the hygroscopicity parameter involves using chemical composition measurements. Since it is not feasible to determine the properties of each individual particle in the sample, an effective κchem for the entire population is estimated. Petters and Kreidenweis (2007) proposed a simple approximation (Eq. 2) to calculate κchem based on the hygroscopicity parameter (κ) and the corresponding volume fraction (ϵ) of each species (i) in the sample. This approximation follows the Zdanovskii-Stokes-Robinson (ZSR) approach, assuming a multi-component solution (i.e., a mixture of n different solutes) in equilibrium.

(2) κ chem = i = 1 n ϵ i κ i , ϵ i = M i / ρ i j = 1 n M j / ρ j

Here, Mi is the mass of species i and ρi its corresponding density. The index i refers to each individual species in the aerosol mixture. The summation in the denominator runs through all species (from 1 to n) each time. Further details on the κchem calculation under different assumptions, as well as its use in conjunction with measured size distributions used for CCN prediction, are explained in Sect. 2.6.1.

2.5 Optical parameters

The aerosol optical properties can provide insight into the size and chemical composition of aerosol particles. In-situ measurements of multi-wavelength aerosol scattering (σsp), back-scattering (σbsp), and absorption (σap) coefficients are available at most sites (Tables S4 and S5). From these measurements, several optical parameters were calculated, including the back-scattered fraction (BSF), scattering Ångström exponent (SAE), absorption Ångström exponent (AAE), and single scattering albedo (SSA) following standard formulations (see Sherman et al.2015; Shen et al.2019).

The BSF indicates the relative abundance of smaller particles (D<0.3µm) (Collaud Coen et al.2007), while the SAE describes the wavelength dependence of σsp and serves as an additional proxy for particle size (Seinfeld and Pandis1998). BSF and SAE are sensitive to different segments of the aerosol size distribution (Collaud Coen et al.2007); BSF is more responsive to particles in the lower part of the accumulation mode, whereas SAE is more influenced by particles in the upper part of the accumulation mode and the coarse mode. The AAE is calculated analogously to SAE and provides insight into aerosol composition, with values near 1 indicating the influence of dust or organic carbon (e.g., from biomass burning) (Bergstrom et al.2007; Kirchstetter et al.2004). The SSA quantifies the relative contribution of σsp and σap and is also related to particle composition. All but one of the optical parameters were calculated at the native instrument wavelengths: BSF at 550 nm, SAE using 450 and 700 nm wavelengths, and AAE with 464 and 648 nm wavelengths. The exception is SSA where the absorption was adjusted to 550 nm to match the scattering wavelength.

2.6 CCN prediction methods

Although CCN concentration measurements are crucial for accurate representation of the CCN availability and variability across sites, these observations are not always available. As noted in the introduction, various methods have been developed to overcome this observational limitation and predict CCN concentrations (e.g. Gysel et al.2007; Jefferson2010; Shen et al.2019). In this section, we describe the three methods we apply to predict CCN concentration. A flowchart summarizing all CCN prediction methods is provided in the Supplement (Fig. S6).

2.6.1 CCN prediction using chemical composition

CCN concentrations can be predicted using κ-Köhler theory together with PNSD measurements (Eqs. 3 and 4 in Andrews et al.2025a), once the bulk hygroscopicity parameter (κchem) has been derived. Below we describe the three schemes used to calculate κchem:

  •  

    Scheme 1: Chemical composition measurements from the ACSM and the BC mass concentration are considered, so Eq. (2) can be expressed in terms of three main components: organics (OA), inorganics (IA), and black carbon (BC) (Eq. 3). This approximation has been shown to provide a reliable estimate of the effective aerosol hygroscopicity (e.g., Bougiatioti et al.2009; Rejano et al.2024).

    (3) κ chem = κ OA ϵ OA + i κ IA i ϵ IA i + κ BC ϵ BC

    The contribution of inorganic aerosols to κchem includes several inorganic salts present in the atmosphere, such as ammonium nitrate, ammonium sulfate, ammonium bisulfate and sulfuric acid. The volume fractions of these salts are determined using the simplified ion pairing scheme from Gysel et al. (2007). The densities and κ values used for each component are summarized in Table S6 in the Supplement.

  •  

    Scheme 2: To better understand the influence of black carbon on aerosol hygroscopicity, Scheme 2 excludes BC from the κchem calculation, focusing only on the hygroscopic components (inorganic salts, acids, and organics), which aligns with approaches commonly used in previous literature (e.g., Almeida et al.2014; Schmale et al.2018; Rejano et al.2024). Comparison of both schemes allows for a clearer evaluation of the extent to which BC modulates the overall hygroscopic behavior of the aerosol population.

  •  

    Scheme 3: To complement these two approaches, Scheme 3 is introduced, in which a constant value of κchem=0.3 is assumed. This scheme aims to serve as a simplified reference, independent of aerosol chemical composition. The value of 0.3 is commonly used in the literature as representative of average aerosol hygroscopicity under diverse atmospheric conditions (e.g., Schmale et al.2018; Pringle et al.2010). Pringle et al. (2010) report global mean κchem values of 0.27 for continental regions at the Earth's surface, supporting the use of 0.3 as a reasonable approximation for bulk aerosol hygroscopicity.

2.6.2 CCN prediction using optical properties

The prediction of CCN concentrations from aerosol optical properties has been explored in several studies (e.g., Ghan et al.2006; Jefferson2010; Shinozuka et al.2009, 2015; Liu and Li2014; Rejano et al.2021). In addition to exploring the ability of AOPs to estimate CCN concentrations, the main application of this approach is to improve satellite retrievals (e.g., Shinozuka et al.2015). In Shen et al. (2019) (hereafter referred to as S2019), a new empirical parameterization was developed by analyzing in situ measurements at six stations representing different environments. S2019 investigated the relationships between CCN concentrations at different SS and AOPs, and derived the following parameterization that explicitly depends on the SAE, BSF, BSFmin (1st percentile of BSF data) and σsp of PM10 particles:

(4) N CCN , S 2019 ( SS ) ( 286 ± 46 ) SAE ln SS 0.093 ± 0.006 ( BSF - BSF min ) + ( 5.2 ± 3.3 ) σ sp .

This parameterization is designed to be applicable to any site, regardless of its environmental conditions, and for any SS < 1.1 % and provides a basis for estimating NCCN directly from optical measurements (Shen et al.2019).

In this study, we first test the generality of Eq. (4) and assess whether its performance holds across a wider range of aerosol types. Then we apply the S2019 methodology to our 7 sites plus the 6 sites utilized by S2019 to develop a new equation based on 13 sites to see if it improves the predictions of NCCN. The derivation is detailed in the Supplement (Shen methodology section) and leads to the following equation:

(5) N CCN , new ( SS ) ( 320 ± 78 ) SAE ln SS 0.089 ± 0.011 ( BSF - BSF min ) + ( 8.7 ± 9.3 ) σ sp .

For the seven sites with available AOPs included in this study, the BSFmin is estimated as 0.11±0.01. Accounting for the uncertainties in the regression coefficients, the propagated relative uncertainties in the predicted CCN concentrations are 81 %, 34 %, 27 %, 26 %, 25 % and 25 % at supersaturations 0.1 %, 0.2 %, 0.4 %, 0.6 %, 0.8 % and 1.0 %, respectively. Applying the original S2019 parameterization (Eq. 4) to the same dataset yields uncertainties from 16 % to 52 %. The wider error range in the new fit is driven primarily by the larger standard deviation of Rmin, defined as the first percentile of NCCN/σsp (see Supplement for details), which is ±9.3 cm−3 Mm compared to ±3.3 cm−3 Mm in S2019. It is important to highlight several methodological differences between our approach and that of Shen et al. (2019). Although both studies include measurements from the MAO site, in our analysis this site is treated as independent from that in S2019 due to differences in time periods and data constraints: we used data from 2014–2015 and applied a relative humidity (RH) filter (RH < 40 %), while S2019 only used 2014 data without RH restrictions. Furthermore, instead of applying a threshold of σsp>10 Mm−1 as in S2019, our study used a less restrictive filtering approach by excluding only data (σsp, BSF and SAE) when σsp values were below 0.5 Mm−1 and above the 99.5th percentile, allowing a broader range of scattering conditions to be considered. Differences in the treatment of CCN data may also contribute to the variability between the resulting parameterizations.

2.6.3 CCN prediction based on AOPs using the Twomey equation and a random forest model

The Twomey equation (Twomey1959) describes the relationship between supersaturation (SS) and CCN concentration (NCCN) via a power law with parameters C and k:

(6) N CCN ( SS ) = C SS k .

This relationship is depicted graphically in Fig. S7 (solid lines) for some of the sites considered here. While Fig. S7 shows the overall fits to the data for each site, C and k can also be found for each individual SS scan at each site. Previous studies have found strong correlations between C, k and various aerosol properties (Jefferson2010; Rejano et al.2021). Here, machine-learning is applied to predict these parameters from AOPs.

Random forest (RF) is a machine learning method that relates target variables (here, C and k) to predictors or “features” (Breiman2001; Cutler et al.2012; Grange et al.2018). Its main tuning parameters are (a) the number of trees, (b) the number of features considered at each decision node, and (c) the minimum number of observations required in a terminal or “leaf” node (also known as minimum leaf size), which controls the depth and complexity of each tree. The RF model might give better predictions with more trees and more explanatory variables considered, but that also increases the computational cost. Here, we use combinations of AOP variables (σsp, σap, BSF, SAE, SSA, and AAE) as predictors to train the model. The RF algorithm is trained on one portion of the data and then the results of the training are applied to the non-training or test data to validate the prediction. In this work, two different validation strategies are considered. First, our primary validation uses a stratified 70/30 split: for each site, 70 % of scans are randomly chosen for training and the remaining 30 % for testing. These per-site subsets are then pooled across all sites to form single training and test sets. Second, as an additional check, we perform leave-one-site-out (LOSO) cross-validation – iteratively holding out one site for testing and training on the others – to assess how including or excluding any given station affects model performance and to verify that the 70/30 approach yields valid results across all locations. The predictors are not scaled or normalized before processing.

We implemented RF in MATLAB with TreeBagger function considering 500 trees, using the default minimum leaf size value (1) and sampling all predictors at each split. Performance was assessed via out-of-bag (OOB) error, and feature importance via OOB-permutation (Breiman2001). The model was run once to find the features relevant for C and then again, on the same data, to find the features relevant for k. Normalized importance scores reveal the variables that most consistently predict C and k. These predicted C and k values are then plugged into the Twomey power-law (Eq. 6) to estimate CCN concentrations at any given SS.

3 Results

In this section, we present the results showing the phenomenology of aerosol and CCN activation properties for all the stations considered in this study and the CCN prediction outcomes. We first provide a general overview of aerosol microphysical and CCN activation properties to demonstrate the range and variability of these characteristics at the 9 sites. Next, we summarize the aerosol chemical composition and use them to predict NCCN for the sites where ACSM data are available using κchem. Similarly, we summarize the observed AOPs, where available, and use them to predict NCCN, using the S2019 and RF methods. Finally, in Section 4, we evaluate the various CCN prediction methods we have applied and make recommendations for future studies.

3.1 Overview of aerosol and CCN activation properties at 9 sites

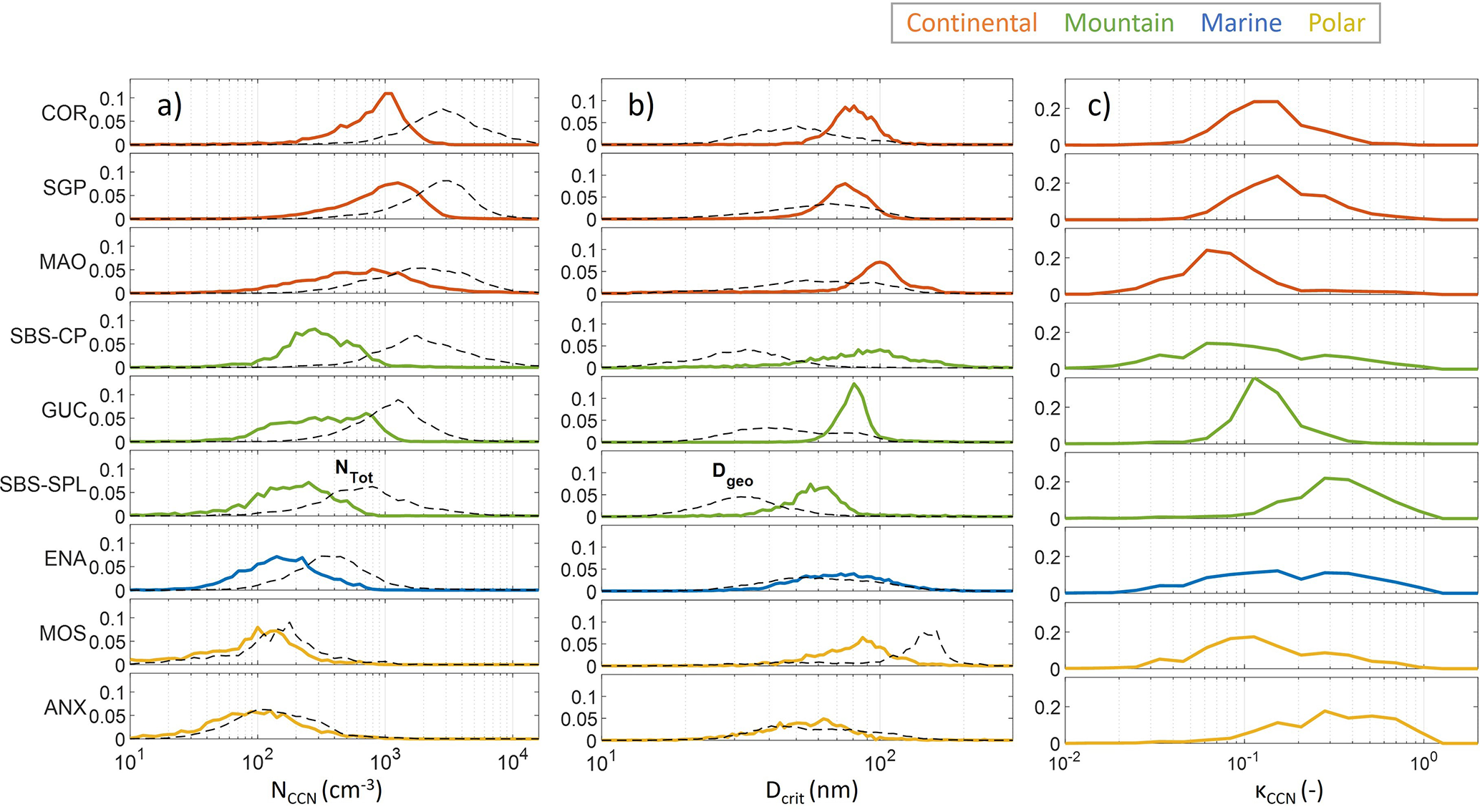
A summary of aerosol and CCN parameters at 0.4 % supersaturation for each site is presented in Fig. 2 as normalized frequency distributions. To facilitate a direct comparison with the results of Schmale et al. (2018), the distributions were computed using the same or comparable binning methods and normalized to the total number of data points at each station. However, we focus our analysis on 0.4 % SS – rather than 0.2 % SS used by Schmale et al. (2018) because the measurements at 0.4 % SS undergo an additional quality check (see Sect. 2.2), ensuring greater reliability of the data. While other supersaturations ranging from ≈0.1 to 1 % have been reported in the literature, we emphasize 0.4 % SS here to provide the most robust dataset for analysis.

The leftmost column (Fig. 2a) shows NCCN (colored solid line) overlaid with total particle number concentration (Ntot, black dashed line). The center column (Fig. 2b) shows Dcrit (colored solid line) overlaid with the geometric diameter (Dgeo, black dashed line) of the PNSD. The rightmost column (Fig. 2c) depicts the CCN hygroscopicity parameter (κCCN). Table 1 provides the median values together with the 25th and 75th percentiles (P25–P75) for the five parameters shown in Fig. 2 and for the activated fraction. All variables are referred to 0.4 % SS.

Stations located in polar environments (MOS and ANX) tend to have the lowest Ntot and NCCN (Fig. 2a), which is characteristic of the Arctic maritime environment (Barrie1986; Schmale et al.2018). These sites are representative of pristine environments with minimal local sources of aerosols, dominated by natural processes and occasional long-range transport from distant regions. A similar trend was observed in other Arctic sites such as Barrow (Alaska) by Schmale et al. (2018). Slightly higher Ntot and NCCN are observed at the ENA marine site compared to the Arctic sites, consistent with this site being a remote marine location where aerosols are primarily influenced by natural sources such as sea salt and biogenic emissions (Quinn et al.2023; Wilson et al.2015). At ENA, enhanced particle concentrations are likely associated with local sources due to the proximity of the station to an airport (Gallo et al.2020). Nevertheless, CCN concentrations at ENA remain relatively low, leading to an activated fraction of 0.26.

The three mountain sites (GUC, SBS-CP, SBS-SPL) exhibit higher Ntot and NCCN at 0.4 % SS than the polar and marine sites. SBS-SPL shows the lowest Ntot and NCCN of the three mountain sites. SBS-CP is a site where the difference between Ntot and NCCN is particularly pronounced, with Ntot up to six times larger than NCCN. Both distributions are relatively narrow, suggesting that limited aerosol sources influence the site. The region where SBS-CP is located experiences springtime dust transport from both local and remote sources, which affects overall hygroscopicity (Hallar et al.2015). Although the SBS-SPL site is very close to the SBS-CP site (SBS-SPL is 5 km east of SBS-CP), the altitude difference (∼2500 m for SBS-CP and ∼3200 m for SBS-SPL) makes SBS-CP more susceptible to influence from the atmospheric boundary layer, while SBS-SPL is more likely to measure free troposphere aerosol in the cooler months when these measurements were made. SBS-SPL is frequently in-cloud which may also lower aerosol loading via wet scavenging (Hallar et al.2025). The NCCN distribution at GUC is broader and shows higher concentrations than SBS-SPL despite their similar altitude. This is related to the influence of biomass burning intrusions during June and September 2022 (Gibson et al.2025) affecting GUC. The three mountain sites show low median activated fractions at 0.4 % SS (0.11, 0.24, and 0.19 at SBS-CP, GUC, and SBS-SPL, respectively) compared to other high-mountain sites reported in the literature (Rejano et al.2021; Jurányi et al.2011; Duan et al.2023). This difference can be partly attributed to a substantial fraction of measurements being collected during winter months, when weaker photochemical aerosol production (Baltensperger et al.1997; Barbaro et al.2024) and more persistent free-tropospheric influence (Collaud Coen et al.2011; Jurányi et al.2011) lead to smaller, less hygroscopic particles and lower AF. Site-specific processes, including intercontinental dust at SBS-CP and SBS-SPL (Hallar et al.2011) and occasional biomass-burning events at GUC (Gibson et al.2025) may also contribute to the observed low AF.

Frequency distributions of Ntot and NCCN for the continental sites are shifted to higher particle and CCN concentrations. These sites represent regions with a mix of natural and anthropogenic influences, where long-range transport of pollution and local emissions contribute to the aerosol burden. The highest concentration of particles is observed at COR (median value of 3017 cm−3, with concentrations above 10 000 cm−3), which is frequently affected by biomass burning from the Amazon and anthropogenic emissions from Chile and Argentina (Fast et al.2024). MAO exhibits a broad NCCN and Ntot frequency distribution with an extended tail at the upper end of the distribution. The high NCCN (and Ntot) values at MAO are associated with the station being affected by the regional transport of biomass burning pollutants (especially in the dry season, July–December) and to the Manaus (city located 70 km upwind) urban plume (Rizzo et al.2013). COR and MAO show similar activated fraction of 0.29 and 0.25, respectively. Slightly higher AF is observed at SGP (0.38) associated with higher CCN concentrations.

The center column of Fig. 2 allows us to compare Dcrit and the size distribution Dgeo at different sites. Dgeo serves as a proxy for the aerosol size distribution. Notable differences are observed in both the position and amplitude of the frequency distributions, suggesting variations in aerosol composition and activation processes across locations. Overall, Dcrit is generally shifted to higher values compared to Dgeo, indicating that a substantial fraction of particles do not reach the CCN activation threshold at 0.4 % SS. A similar trend between Dcrit and Dgeo was observed at most of the sites analyzed in Schmale et al. (2018). However, at MOS, Dcrit is lower than Dgeo, meaning that at 0.4 % SS, most particles activate as CCN. The marine station ENA exhibits broad frequency distributions centered on larger values, with overlapping Dcrit and Dgeo, suggesting that only a fraction of the particles activate at 0.4 % SS (AF median value of 0.26). This aligns with the wide range of hygroscopicity values observed at ENA, reflecting a mixture of marine aerosols and other sources, likely local emissions such as the nearby airport.

Of the two polar stations, ANX exhibits a lower median Dcrit (55 nm), indicative of relatively hygroscopic aerosols, whereas MOS shows a higher median value (85 nm). The Dcrit at MOS is broadly consistent with previous short-term, episodic observations (Dada et al.2022), which report ≈80 nm at SS = 0.29 % and ≈50 nm at SS = 0.78 % under background conditions. At mountain stations, SBS-SPL stands out with the lowest Dcrit (59 nm) and the highest value of κCCN (0.35), indicating a significant fraction of hygroscopic aerosols. This high hygroscopicity value could be attributed to the influence of anthropogenic SO2 plumes from nearby coal-fired power plants, which have been shown to enhance particle growth from NPF to CCN-relevant sizes and thus facilitate CCN activation at SPL (Hirshorn et al.2022).

In contrast, SBS-CP exhibits broader distributions and higher Dcrit values, suggesting a more diverse aerosol mixture influences this site than SBS-SPL. The GUC mountain site exhibits frequency distributions similar to those of continental stations, characterized by Dcrit distributions shifted toward intermediate-to-high values. The bimodal distribution of Dgeo observed at GUC indicates the presence of two distinct aerosol sources influencing the site, such as background continental aerosols and episodic contributions from biomass burning or dust transport, consistent with previous studies (Gibson et al.2025). Among continental stations, SGP has the lowest median Dcrit (76 nm), indicating a higher fraction of CCN-active aerosols compared to COR (82 nm) and MAO (98 nm). This is consistent with the higher κCCN and activated fraction observed at SGP.

https://acp.copernicus.org/articles/26/3697/2026/acp-26-3697-2026-f02

Figure 2Normalized frequency distributions of (a) CCN number concentration (NCCN) and total particle concentration (Ntot) in black, (b) critical diameter (Dcrit) and geometric diameter (Dgeo) in black and (c) hygroscopicity parameter (κCCN). All parameters related to CCN measurements are at 0.4 % SS.

Download

Table 1Median values and percentiles 25th and 75th (P25–P75) of the total aerosol concentration (NTot), CCN concentration (NCCN), geometric diameter (Dgeo), critical diameter (Dcrit), hygroscopicity parameter (κCCN) and activated fraction (AF) for each measurement location grouped by site type. All parameters related to CCN measurements are at 0.4 % SS.

Download Print Version | Download XLSX

3.2 Aerosol chemical composition and CCN prediction

3.2.1 Overview of aerosol composition

The aerosol sub-micrometer chemical composition measured with the ACSM is available at four of the nine stations (see Tables S4 and S5 for details). The operating temperature of the ACSM (600 °C) is not high enough to vaporize refractory components of the aerosol particles, thus only the non-refractory components can be analyzed. As a result, components such as elemental carbon, crustal material, and sea salt cannot be detected (Wu et al.2016). To complement the ACSM chemistry, BC concentrations are derived from the PSAP absorption coefficient measurements. Figure 3 presents pie charts that illustrate the relative contribution of the species considered (organics, SO42-, NO3-, NH4+, Cl, BC) to PM1 at each site, along with the total mean mass concentration.

The mean concentration of PM1 in the four sites ranges from 0.54 to 5.56 µg m−3, with varying contributions of the different components, reflecting the distinct aerosol characteristics of each location during the measurement period. Continental sites, COR and SGP, exhibit the highest concentrations (4.01 and 5.56 µg m−3, respectively). The mean value measured at SGP is slightly lower than that measured during 2010–2011 at the site (7 µg m−3) (Parworth et al.2015) while for COR, the same value is reported in Fast et al. (2024) for the same campaign. In contrast, the lowest mass concentration is observed at the marine site ENA with a mean value of 0.54 µg m−3. The mountain site GUC exhibits an intermediate concentration of 1.57 µg m−3. These mean values are consistent with previous studies reporting PM1 levels below 1 µg m−3 in remote and pristine marine environments over the Pacific, Atlantic, and polar oceans (Zhou et al.2023), as well as with observations from high-altitude mountain sites where lower aerosol mass concentrations are typically found due to reduced anthropogenic influence (e.g., Fröhlich et al.2015; Jimenez et al.2009). It is important to note that the aerosol chemical composition exhibits strong seasonal variability, and the values presented here reflect specific measurement periods rather than long-term, annual averages, except at SGP, where long-term measurements are available.

https://acp.copernicus.org/articles/26/3697/2026/acp-26-3697-2026-f03

Figure 3Pie chart of PM1 mass concentration (OA, SO42-, NO3-, NH4+, Cl and BC) averaged for all the sites. Total mean PM1 mass concentration for each site included.

Download

For non-marine sites, the most abundant aerosol component is organic aerosol (OA), with the relative contribution ranging from 50 % at COR to 73 % at GUC. The OA concentration is highest at SGP (2.30 µg m−3), followed by COR (2 µg m−3). At the marine site ENA, sulfate and organic have the same concentration values (0.19 µg m−3), representing 35 % each of the total PM1 mass. The presence of sulfate at this site is likely mainly associated with sea salt particles (Lin et al.2022), consistent with its location in the marine environment. For COR, SGP, and GUC, sulfate is the primary inorganic component, with contributions of 31 % at COR, 17 % in SGP, and 12 % in GUC. The high contribution of SO42- in COR has been linked to SO2 emissions from small fires occurring outside Patagonia and the Atacama Desert (Fast et al.2024).

The ammonium contribution ranges from 6 % at the GUC mountain site (0.10 µg m−3) to 16 % at the ENA marine site (0.009 µg m−3). At the continental sites, COR and SGP, ammonium accounts for 9% of the PM1 mass concentration (0.36 and 0.50 µg m−3, respectively). Differences in ammonium contributions reflect both emission sources and total aerosol load. In continental environments, higher ammonium concentrations are driven by local and regional anthropogenic sources, including agriculture (especially livestock and fertilizer use), road traffic, industrial activities, landfills, coal combustion, and biomass burning (Anderson et al.2003; Sutton et al.2000). In contrast, the low total PM1 mass observed at the marine site ENA results in a relatively high ammonium mass fraction despite low absolute concentrations. The ocean is one source for this ammonium (e.g., Quinn et al.1988). Regional transport and secondary formation processes further enhance ammonium levels through the production of compounds such as ammonium sulfate and nitrate (Kang et al.2018).

At most stations, nitrate plays a minor role (contribution less than 6 %) except for the continental stations (SGP; 11 % and COR; 7 %). SGP shows the higher mean NO3- concentration (0.6 µg m−3), followed by COR (0.3 µg m−3). The higher contribution of nitrate at continental sites is associated with anthropogenic emission sources such as fossil fuel combustion, biofuel combustion, and agricultural fertilization (Jaegle et al.2005).

Among BC concentrations, the highest contributions are observed at ENA (9 %; 0.05 µg m−3), likely influenced by local human activity near the station, which is located within half a kilometer of the local airport (Wilbourn et al.2024). At the mountain site GUC, BC concentrations remain low (0.42 µg m−3), yet it accounts for 5 % of PM1 mass. At continental sites, BC contributes less than 2 % with concentrations of 0.11 µg m−3 at SGP and 0.08 µg m−3 at COR.

3.2.2 Composition-derived hygroscopicity, κchem

The bulk chemical composition is used to estimate the overall κchem for each site, as explained in Sect. 2.4. In this study, κchem is derived based on three variations of Eq. (2): (i) including BC (Scheme 1); (ii) excluding BC (Scheme 2); and (iii) assuming a fixed κchem of 0.3 for all aerosols (Scheme 3). Figure 4a shows the resulting κchem values for each scheme at sites with available chemical composition measurements. Scheme 3, which assumes a constant value κchem regardless of site characteristics, is represented as a horizontal line at all stations. Among all sites and for both schemes 1 and 2, the marine station (ENA) has the highest κchem values (around 0.45), followed by the continental sites (COR and SGP, approximately 0.3), and the mountain site (GUC, around 0.23). In this context, applying a fixed value of κchem=0.3 (Scheme 3) tends to underestimate aerosol hygroscopicity in the marine environment and overestimate it at the mountain sites, while for the continental stations it provides a reasonably accurate approximation. The inclusion of BC in Scheme 1 results in slightly lower κchem values compared to Scheme 2 across all sites, since BC is assumed to be completely hydrophobic (κBC=0), thereby reducing the volume-weighted contribution of hygroscopic species. It is also worth noting that at marine sites, κchem may be underestimated due to the inability of the ACSM to detect refractory sea salt, which can significantly contribute to aerosol hygroscopicity in those regions (Deshmukh et al.2025).

In general, κCCN is lower than κchem for all sites (see Fig. 4a and Table 1). Note that these two parameters cannot be directly compared since κCCN only accounts for activated particles in the CCNC and its calculation depends primarily on the dry aerosol size distribution and CCN concentrations as a function of SS, while κchem represents a bulk, mass-weighted hygroscopicity of all particles measured by the ACSM in the 40–1000 nm size range (Watson2017). As a result, if particles with diameters close to Dcrit are less (more) hygroscopic than the larger particles dominating submicron mass, κCCN is expected to be smaller (larger) than κchem.

https://acp.copernicus.org/articles/26/3697/2026/acp-26-3697-2026-f04

Figure 4(a) Boxplots of κchem values for Schemes 1 and 2 at all sites with available chemical composition measurements. The line inside each box indicates the median, the bottom and top edges of the box represent the 25th and 75th percentiles, and the whiskers extend from the ends of the interquartile range (IQR) to the most extreme data points within 1.5 times the IQR. Scheme 3, which assumes a constant κchem=0.3, is represented as a horizontal line across all sites. (b) Relationship of the composition-derived κchem from Scheme 1 to the binned and averaged ratio of organic (OA) to total (OA + IA) aerosol components. The vertical bars denote the standard deviation.

Download

Figure 4b shows the variation in the chemical composition derived hygroscopicity parameter (κchem) from Scheme 1 as a function of the binned and averaged ratio of organic to total aerosol mass concentration (OA / [OA + IA]) for the four locations with ACSM measurements. The data were binned into 30 logarithmically spaced intervals between 0.01 and 10. The standard deviation is represented for each averaged value. Figure S8 in the Supplement provides the corresponding analysis using Scheme 2. For both schemes, a clear decreasing trend in κchem with increasing organic fraction is observed at all sites, reflecting that a higher contribution of organic aerosols reduces the overall hygroscopicity of the aerosol population. This behavior is consistent with the typically lower hygroscopicity of organic compounds relative to inorganic salts (Pöhlker et al.2023). At low (OA / [OA + IA]) ratios (<0.1) κchem becomes more noisy due to the lower number of data points, but appears to plateau between 0.5 and 0.7. When OA / [OA + IA] < 0.1, the volume fractions ϵi of sulfate, ammonium, and nitrate dominate, as these are the main inorganic species at all sites (as shown in Fig. 3). Consequently, these species govern the sum in Eq. (2), and κchem plateaus at their volume-fraction-weighted average value (approximately 0.5–0.7; see Table S6).

This pattern is further supported by the results presented in Figs. 3 and 4a. GUC, the site with the highest organic fraction (73 %), exhibits the lowest κchem,Sch1 value among all the sites (∼0.2). Similarly, the other two continental sites, SGP and COR, have intermediate OA fractions (61 % and 50 %, respectively) and correspondingly low κchem,Sch1 values (∼0.25 and ∼0.30). In contrast, the marine site ENA, with a lower organic fraction of 35 %, presents a more balanced chemical composition – 35 % organics, 35 % sulfate, and 16 % ammonium – and a higher κchem,Sch1 (∼0.45). These results suggest that the organic fraction is a key driver of particle hygroscopicity, modulating the ability of the aerosol to take up water, thereby impacting the overall particle hygroscopicity (Aklilu et al.2006; Dusek et al.2010). In general, increasing organic fraction leads to a reduction in κchem, while a higher contribution of inorganic species – particularly sulfate and ammonium - increases overall hygroscopicity (Petters and Kreidenweis2007).

3.2.3 CCN prediction using κchem

Using the calculated κchem values, NCCN is estimated using κ-Köhler theory (Sect. 2.6.1). The predictions are made considering the three κchem schemes. Figure 5 compares the predicted and measured CCN concentrations at all SS for the four sites where chemical composition measurements are available.

https://acp.copernicus.org/articles/26/3697/2026/acp-26-3697-2026-f05

Figure 5Log-log scatter plot of predicted CCN concentrations (NCCN pred) with respect to the observed CCN concentrations (NCCN meas) for all SS for all the sites using the three prediction schemes. Colored areas indicate the density of paired measurements, with color intensity representing the number of points within each log-spaced 2D bin (105×105 bins). A boxplot showing the relative bias is included- the central line represents the median, the box edges correspond to the 25th and 75th percentiles, and the whiskers extend from the ends of the interquartile range (IQR) to the most extreme data points within 1.5 times the IQR. Plots correspond to (a) Scheme 1 (κchem,Sch1), (b) Scheme 2 (κchem,Sch2) and (c) Scheme 3 (fixed κchem). The solid black line represents the 1:1 line and the dashed lines are the ±50 %.

Download

Among the three schemes, the coefficient of determination (R2) is virtually identical (0.82 or 0.83), indicating a similarly strong correlation between predicted and observed CCN concentrations for all schemes. Scheme 1 (Fig. 5a) shows the best overall agreement with observations, with a slope of 1.09 and the lowest median relative bias (13 %), indicating a slight overall overprediction. Scheme 2 (Fig. 5b), which is best interpreted as a sensitivity test that indicates the impact of BC rather than as a different predictive approach, shows a slightly higher slope of 1.15 and a median relative bias of 15 %, reflecting a slightly higher overprediction compared to observations. However, the overall performance remains comparable to Scheme 1, with similar predictive capability despite not considering BC. Scheme 3 (Fig. 5c), which uses a fixed κchem, exhibits the highest slope (1.22) and the highest median relative bias (24 %), pointing to a consistent tendency to overpredict NCCN. It must be considered that CCN concentrations predicted from κchem are based on the bulk, mass-weighted hygroscopicity of all particles measured by the ACSM as mentioned in Sect. 3.2.2. Because the CCNC measures the number of particles activated at the critical supersaturation (Dcrit), and κCCN is inferred from number concentrations, the measured CCN concentration primarily reflects the hygroscopicity of particles near Dcrit. Consequently, if particles around Dcrit are less (or more) hygroscopic than the larger particles dominating the submicron mass, the predicted CCN concentration based on κchem may overestimate (or underestimate) the measured CCN concentration.

Figure S9 in the Supplement provides further insight into the performance of each scheme across different stations by showing the R2 and median relative bias (MRB) values per site. Table S7 lists the number of data points available per site for each scheme. Continental stations (SGP, COR, GUC) exhibit a good predictive skill with a slight CCN concentration overestimation across schemes, while the marine site ENA shows larger sensitivity to hygroscopicity assumptions, largely due to the inability of the ACSM to detect sea-salt aerosol. Despite these limitations, the results are consistent with previous studies (e.g. Schmale et al.2018), confirming that composition-derived κchem values improve CCN predictions, while a constant bulk κchem=0.3 provides a realistic first-order estimate of CCN number concentrations in diverse environments.

3.3 Aerosol optical properties and CCN prediction

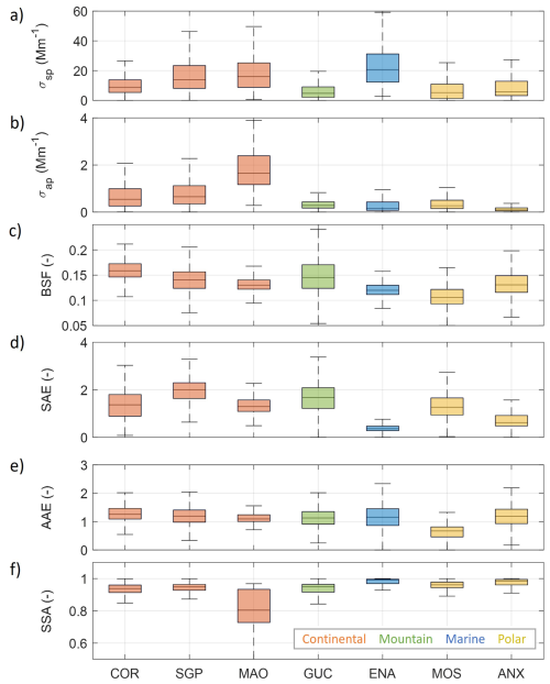
3.3.1 Overview of aerosol optical properties

Aerosol optical measurements are available at 7 of the 9 sites (not available for SBS-CP and SBS-SPL). Figure 6 provides an overview of key aerosol optical parameters for all sites, including σsp and σap, and four derived parameters: BSF, SAE, AAE and SSA. All measurements used in this analysis correspond to PM10 aerosol size cut hourly data and are reported at 550 nm, or for the blue/red wavelength pair for SAE and AAE. As filtering criteria, for the calculation of the derived parameters, measurements with σsp<0.5 Mm−1 were not considered and unphysical values were also excluded, i.e., SSA and BSF outside 0–1. In addition, negative SAE and AAE values were also excluded. On average, the combined constraints eliminated about 4 % of the data across all stations, although at MOS up to 17 % of the measurements were discarded. The filter responsible for most exclusions varied depending on the station, while the SSA constraint was generally the least restrictive, removing the fewest data points. It is important to note that the values presented here correspond to specific measurement periods rather than year-round averages, except for SGP and GUC, where more than 1 year of AOP observations are available and allow for a more representative characterization.

https://acp.copernicus.org/articles/26/3697/2026/acp-26-3697-2026-f06

Figure 6Boxplots of the distribution of aerosol optical properties at all sites. (a) σsp, (b) σabs, (c) BSF, (d) SAE, (e) AAE and (f) SSA. Median values (black lines), 25th–75th percentiles (black boxes) and the whiskers extend from the ends of the interquartile range (IQR) to the most extreme data points within 1.5 times the IQR.

Download

The scattering coefficient (Fig. 6a) shows notable variability across sites, reflecting differences in aerosol loading. The highest median σsp is observed at the marine site ENA (e.g., 20.7 Mm−1), which contrasts with the low PM1 concentration at this site. This is likely due to high concentrations of supermicron sea salt particles commonly found in marine-influenced environments (Vaishya et al.2011). This site is followed by MAO, SGP, and COR continental stations, with median values of 15.9, 13.9, and 8.9 Mm−1, respectively. In contrast, the mountain site GUC and the polar locations (MOS and ANX) show the lowest median scattering coefficients (e.g., 4.7, 5.2, and 5.7 Mm−1, respectively), consistent with their remote and cleaner atmospheric conditions. These findings align with those reported by Laj et al. (2020), where values below 10 Mm−1 were observed for polar environments and mountain sites.

The absorption coefficient (Fig. 6b) has a different pattern at the sites than the scattering coefficient. The highest median σap is observed at the continental site MAO (1.63 Mm−1), suggesting a strong presence of absorbing particles, likely from biomass burning and anthropogenic emissions (Rizzo et al.2013). This is followed by the other continental stations, COR and SGP, with median values of 0.55 and 0.65 Mm−1, respectively. Marine and polar sites exhibit significantly lower values, with ENA, MOS and ANX showing median concentrations of 0.17, 0.27, and 0.09 Mm−1. The mountain site GUC reports a moderate absorption level of 0.28 Mm−1, in line with previous findings for high-altitude, remote locations, where aerosol absorption tends to be limited due to the absence of nearby combustion sources (Collaud Coen et al.2018).

The back-scattered fraction (Fig. 6c), which is a proxy for particle size in the aerosol population, shows the highest median values at continental and mountain sites. The highest BSF is observed at COR (0.16), followed by SGP, GUC, and MAO, all with median values of 0.14. These elevated BSF values indicate a greater contribution from smaller particles. Marine and polar sites (ENA, ANX, and MOS) show smaller median BSF values in the range 0.10–0.13. This highlights the different source regimes - sea spray and remote transport in the marine boundary layer, and aged background aerosol in polar regions.

The scattering Ångström exponent (Fig. 6d) provides complementary information to BSF, as it is more sensitive to particles in the upper accumulation and coarse modes (Collaud Coen et al.2007). The highest SAE values are observed at continental and mountain sites such as SGP (2.01), GUC (1.67), and COR (1.37), consistent with the prevalence of fine-mode aerosols from anthropogenic and biomass burning sources. At COR, frequent dust transport during the austral spring may explain its relatively lower SAE compared to other continental sites (Varble et al.2019). In contrast, lower SAE values at marine and polar sites – ENA (0.36), ANX (0.62), and MOS (1.27) – suggest a stronger influence of coarse-mode particles such as sea spray or aged background aerosol.

The absorption Ångström exponent (Fig. 6e), which describes the wavelength dependence of aerosol light absorption and provides insight into aerosol composition, shows relatively consistent median values across most sites, ranging between 1.1 and 1.3, but with the higher percentiles ranging up to 2–2.5. The median values reflect locations with absorption primarily due to BC based on the Cappa et al. (2016) AAE / SAE matrix, while the higher AAE values indicate occasional incursions of absorbing aerosols related to dust or biomass burning organics (Cazorla et al.2013; Kirchstetter et al.2004). In contrast, the polar site MOS exhibits a notably lower median AAE of 0.67. AAE values below 1 have been previously reported at remote Arctic and marine sites (Schmeisser et al.2018), although such low AAE values may also be partially influenced by measurement artifacts in the presence of coarse-mode aerosols (Bond et al.1999).

Finally, the single scattering albedo (Fig. 6f), which indicates the relative contribution of absorbing particles to aerosol extinction coefficient, shows high values across most sites (>0.9), suggesting the dominance of scattering aerosols. ANX, MOS, and ENA, which are all marine influenced, have median SSA > 0.95, while GUC, SGP and COR have median SSA values closer to 0.9. The lowest median SSA is found at MAO (0.80), indicating a relatively more absorbing aerosol mixture at this site consistent with anthropogenic and biomass sources.

3.3.2 CCN predictions using aerosol optical properties (S2019)

Following the S2019 methodology described in Sect. 2.6.2, Fig. 7 compares predicted CCN concentrations using (a) the original S2019 equation (NCCN,S2019) and (b) the new version of the S2019 equation derived using the original data of S2019 and the data from the stations in this study (NCCN,new), against measured CCN concentrations (NCCN meas) for the seven sites with optical properties in this study and for all SS. The number of data points for each site used in the comparison – identical for both equations – is provided in Table S7 in the Supplement. The comparison shows an increase in the regression slope from 0.72 in plot (a) to 0.86 in plot (b), indicating a better agreement between predicted and measured NCCN when using the new equation. The coefficient of determination (R2) remains unchanged (0.61), suggesting that the overall model performance is comparable in terms of explained variance. The median relative bias decreases in absolute value from −27 % in (a) to −8 % in (b) as the number of sites increases, indicating a reduced underestimation in the predictions. Meanwhile, the similar length of the MRB whiskers in both cases suggests that the variability remains comparable, even when a broader range of stations and aerosol conditions are included. However, the interquartile range decreases from 81 to 69, indicating reduced variability in errors. This reduction in MRB, together with the smaller IQR, reflects an improvement in prediction accuracy, with fewer extreme deviations and a more balanced distribution of errors. Consequently, the new equation provides CCN predictions that are more reliable and closely aligned with the measured CCN concentrations across the full range of conditions.

Figure S10 in the Supplement provides additional insight into the performance of both equations across different stations by displaying the site-specific R2 and MRB (median relative bias) values. As observed in Fig. 7, the coefficients of determination remain largely unchanged between the two equations. For continental (COR, SGP, MAO) and mountain (GUC) sites, CCN concentrations tend to be slightly underpredicted with MRB < 0 (Fig. S10a), whereas overpredictions are more common at marine (ENA) and polar (MOS, ANX) sites (MRB > 0; Fig. S10a). The new equation (Fig. S10b) generally increases the predicted NCCN values, leading to an overall improvement in prediction accuracy. Figure S11 shows the slope and relative bias for each measured SS between the predicted and the measured CCN concentrations considering the new equation. Excluding the lowest SS (0.1 %), both the slope and the median relative bias remain relatively stable across all SS values, indicating that the predictive equation performs consistently well regardless of SS. The larger deviation observed at 0.1 % SS may be attributed to the logarithmic function used to capture the dependence of NCCN on SS. These results confirm that the original S2019 equation performs well across a wide range of conditions, even when evaluated with an extended dataset. However, the new equation proposed in this work provides a more accurate and balanced estimation of NCCN, particularly by reducing systematic underestimation and improving agreement across the full concentration range.

https://acp.copernicus.org/articles/26/3697/2026/acp-26-3697-2026-f07

Figure 7Log-log scatter plot of predicted with respect to the observed CCN concentrations (NCCN meas) considering (a) equation in S2019 (NCCN,S2019) and (b) new equation (NCCN,new; based on 13 sites). The data plotted is only for the seven sites with optical data in this study (i.e., sites shown in Fig. 6). The solid black line represents the 1:1 line and the dashed lines are the ±50 %. Colored areas indicate the density of paired measurements, with color intensity representing the number of points within each log-spaced 2D bin (105×105 bins). A boxplot showing the relative bias is included. The boxes represent the interquartile range (25th–75th percentiles), with black lines indicating the median values and whiskers extending from the ends of the interquartile range (IQR) to the most extreme data points within 1.5 times the IQR.

Download

3.3.3 CCN prediction with random forest model using optical properties

To further explore the potential of aerosol optical properties to predict CCN concentrations, a random forest model was implemented to estimate the C and k parameters of the Twomey equation. As input variables for the RF model, the same set of AOPs as in the S2019 equation (Sect. 3.3.2) is considered: σsp, BSF and SAE. All RF models considered in this work were trained with 500 regression trees, a number selected based on a convergence analysis of out-of-bag RMSE and R2, which indicated stable model performance for both C and k parameters. Detailed model performance metrics for both training and test datasets including R2, RMSE, MAE, and hyperparameter settings (number of trees, maximum depth) are provided in the Supplement (Random forest performance section). The close agreement between training and test metrics for both C and k indicates stable model behavior and no evidence of overfitting. Once the model is run, the predicted parameters are used to compute CCN concentrations across a range of SS. The performance of the model is evaluated by comparing these predictions based on RF with measured CCN values, allowing a direct comparison with the results of the S2019 parameterizations.

Figures 8 and S12 present the results of the RF model. Figure 8a and b display the relative importance of each input variable in predicting the C and k parameters, respectively, while Fig. S12 compares the observed and RF-predicted C and k parameters. For the C parameter, σsp contributes the most, followed by BSF and SAE, highlighting the dominant role of the total particle loading in determining the potential CCN concentration. In contrast, BSF is the most important variable in k prediction, followed by SAE and σsp, suggesting that the physicochemical properties of the particles, more strongly reflected by BSF and SAE, are more relevant to capture the chemical sensitivity embedded in k. These results are consistent with previous studies that have shown that C is primarily influenced by aerosol number concentration and total mass loading, while k reflects aerosol hygroscopicity and size distribution (Cohard et al.1998; Jefferson2010; Vié et al.2016; Rejano et al.2021). Typically, high C values are found under polluted conditions with high particle number concentrations, whereas low k values are associated with particles exhibiting higher hygroscopicity and larger sizes (Martins et al.2009; Pöhlker et al.2016; Jayachandran et al.2020). Thus, independent prediction of these two parameters offers valuable information on the abundance and physicochemical properties of aerosols that influence CCN activation.

Figure 8c shows the comparison of the predicted CCN concentrations, calculated using the RF-derived C and k values, and measured CCN concentrations across all supersaturations. The result shows a slope of 0.90 and a R2 of 0.62, indicating good agreement between predictions and measurements. The inset boxplot shows the distribution of relative bias, with a median value of approximately 19 %, indicating an overall overestimation.

https://acp.copernicus.org/articles/26/3697/2026/acp-26-3697-2026-f08

Figure 8Importance of input variables in the random forest model considering AOPs used in S2019 (σsp, BSF, and SAE) for (a) C and (b) k parameters. (c) Log-log scatter plot of predicted (NCCN pred) versus observed (NCCN meas) CCN concentrations using a RF model to estimate the parameters of the Twomey equation. The solid black line represents the 1:1 line and the dashed lines are the ±50 %. Colored areas indicate the density of paired measurements, with color intensity representing the number of points within each log-spaced 2D bin (105×105 bins). A boxplot showing the relative bias is included. Boxes show the interquartile range (IQR, 25th–75th percentiles), with black lines indicating median values, and whiskers extending from the ends of the IQR to the most extreme data points within 1.5 times the IQR.

Download

RF models can take advantage of additional informative features without a significant loss in predictive performance (Breiman2001) so, as the next step, the RF model is extended by including the full set of AOPs as predictors: σsp, BSF, SAE, σap, AAE and SSA. Although some of these variables are strongly correlated (see Fig. S13), RF models are known to be robust to multicollinearity (Gregorutti et al.2017). A full compilation of training and test metrics, as well as RF configuration details for this extended model is provided in the Supplement (Random Forest performance section). The improvement in R2 and error metrics is consistently observed for both training and test datasets, indicating that the improved performance reflects increased predictive information rather than model overfitting. Figure 9c compares the predicted CCN concentrations – calculated using RF-derived C and k values from the full AOP set – with the observed values. The extended model achieves a slope of 0.91 and an R2 of 0.69, slightly improving upon the performance of the RF model using only the three Shen-based variables (slope = 0.90, R2=0.62). The median relative bias also decreases slightly from 19 % (three-variable case) to 15 % (full AOP set), with comparable interquartile ranges (−92 to 180 vs. −88 to 145). To assess the RF models' performance across different SS levels, Fig. S14 presents the slope and median relative bias for both schemes. Results are consistent across the SS range, with slopes ranging from 0.80 to 0.99 and median relative biases between 8 % and 32 %, indicating that the predictive capability of the RF models is independent of SS. Finally, Fig. S15 in the Supplement shows site-specific R2 values comparing predicted and measured CCN concentrations for both RF schemes, the S2019 AOPs (Fig. S15a) and the full AOP set (Fig. S15b). While the overall performance is similar, the inclusion of all AOPs – despite some strong inter-variable correlations (Fig. S13) – slightly improves both the coefficient of determination and the bias across all sites, supporting a more accurate prediction of CCN concentrations.

To better understand the source of these improvements in CCN prediction, we next analyze the relative importance of the input variables used to estimate the C and k parameters when using the full AOPs set. Figure 9a and b display the relative importance of each input variable in predicting the C and k parameters, respectively, while plots in Fig. S16 compare the observed and RF-predicted C and k parameters. AAE is identified as the most important input for the prediction of k (Fig. 9b), followed by SAE and BSF, suggesting that the chemical sensitivity embedded in k is better captured when accounting for absorption-related properties. For the prediction of the C parameter, BSF is the most important variable (Fig. 9a), followed by SAE and AAE, while σsp is of relatively lower importance. This result contrasts with the previous model (Fig. 8a), where σsp dominated, highlighting that including absorption-related parameters redistribute the contribution across variables. As previously mentioned, some of these variables are strongly correlated (Fig. S13) and the model tends to distribute the importance among correlated variables affecting overall predictive performance (Genuer et al., 2010).

https://acp.copernicus.org/articles/26/3697/2026/acp-26-3697-2026-f09

Figure 9Importance of input variables in the random forest model considering all AOPs (σsp, BSF, and SAE, σap, AAE, and SSA) for (a) C and (b) k parameters. (c) Log-log scatter plot of predicted (NCCN pred) versus observed (NCCN meas) CCN concentrations using a RF model to estimate the parameters of the Twomey equation. The solid black line represents the 1:1 line and the dashed lines are the ±50 %. Colored areas indicate the density of paired measurements, with color intensity representing the number of points within each log-spaced 2D bin (105×105 bins). A boxplot of the relative bias is included. Boxes show the interquartile range (IQR, 25th–75th percentiles), with black lines indicating median values, and whiskers extending from the ends of the IQR to the most extreme data points within 1.5 times the IQR.

Download

To further analyze how different AOPs contribute to the prediction of the C and k parameters, Fig. 10 presents heatmaps of variable importance for models using different combinations of AOP inputs for C (Fig. 10a) and k (Fig. 10b). In these heatmaps, each row corresponds to a model run (the first row includes all AOPs; subsequent rows exclude one AOP at a time), and each column represents one of the six AOPs. Analyzing these heatmaps reveals that BSF remains the most important predictor of C, except when σsp, σap, or BSF itself are excluded from the model. In these cases, the model shifts its reliance to a closely related variable: AAE becomes the dominant predictor when BSF is removed, while σap and σsp substitute for each other when one is absent. This behavior likely reflects the partial redundancy and strong interdependence among BSF, AAE, σsp, and σap. Indeed, their relationships are supported by the Spearman correlation coefficients (Fig. S13 in the Supplement): BSF and σsp are negatively correlated (ρs=-0.41), σsp and σap show a strong positive correlation (ρs=0.68), and BSF and AAE are moderately correlated (ρs=0.36). While these correlations help explain why certain variables gain importance when others are removed, it is important to note that RF variable importance also depends on how much each variable contributes to reducing prediction error across the ensemble, not solely on pairwise correlations (Breiman2001). For the prediction of k (Fig. 10b), the AAE is the most important predictor under the full model. Removing AAE shifts the top rank to BSF, again reflecting their correlation. This result highlights the RF model's ability to reallocate predictive importance among partially redundant features, relying on combinations of variables that together best capture the relevant information rather than depending on any single variable.

https://acp.copernicus.org/articles/26/3697/2026/acp-26-3697-2026-f10

Figure 10Heatmap of input variable importance in the Random Forest model for (a) C and (b) k parameters. Each row corresponds to a RF model in which one AOP has been removed, while each column represents the importance assigned to each available AOP in that model. The variable with the highest importance in each prediction is shown in red; importance values ≥0.20 are shown in orange; values between 0.15 and 0.19 in dark yellow; and values <0.15 in light yellow.

Download

RF model results could be influenced by the differences in the availability of data at each measurement site, providing better results for those sites where datasets are longer. Therefore, to evaluate the influence of each location on model generalization when considering all AOPs, a LOSO cross-validation approach is applied as explained in Sect. 2.6.3. This analysis is intended to evaluate spatial robustness and site representativeness, rather than to provide an alternative global performance metric to the train-test and OOB evaluations discussed above. Figure S17 in the Supplement shows the variable importance for each site in the LOSO iteration. In each subplot, the name of the site excluded is indicated. The importance of predictors remains consistent across sites: AAE and SAE typically dominate the prediction of k, while BSF, SAE and AAE are more important for predicting C. This consistency confirms that no single site influences feature selection within the model. Notably, when SGP – the site with the largest number of observations – is excluded, some shifts in variable importance are observed. However, these changes are not large enough to affect the overall importance, suggesting that the 70/30 approach used in the main analysis is not biased by the dominance of SGP data. Figure S18 in the Supplement shows the comparison between predicted and observed CCN concentrations at each excluded site. Slopes range from 0.38 in ENA to 1.87 in MOS, and R2 values from 0.03 to 0.56. Although predictive performance remains good for most sites, the model shows reduced accuracy at marine and polar locations (e.g., ENA, MOS, ANX). This is likely due to the fact that the training data are dominated by continental stations, limiting the model’s ability to capture the distinct AOP characteristics of marine and polar environments.

A recently published study by Wang et al. (2025a) used an ensemble of multiple machine learning tools to investigate the ability of AOPs to predict CCN concentrations at 4 sites which are common to this study (SGP, GUC, ENA and MOS). As input variables, Wang et al. (2025a) uses σsp, BSF, SAE and SSA at the different wavelengths. The R2 values obtained ranged between 0.2 to 0.63, depending on the predictive model construction. Their ensemble model was trained specifically for each site and for SS = 0.4 %, aiming at optimizing their predictive potential to the unique atmospheric conditions of each site. In our case, we decided to apply the RF model to the whole range of SS and to all sites together in order to provide a general model that performs reasonably well at most atmospheric conditions.

4 Discussion of CCN prediction methods

Direct measurements of CCN concentrations are less common than other aerosol properties, making reliable prediction from commonly measured variables an attractive and cost-effective alternative. In this study, we evaluated several CCN prediction approaches using co-located measurements at the selected sites. These include chemistry-based methods (three schemes differing in the treatment of BC and hygroscopicity assumptions), optical property-based approaches using empirical parameterizations derived from AOPs (the original Shen et al. (2019) formulation and a new parameterization developed here), and a machine-learning method, where a random forest model is used to predict the Twomey equation parameters C and k from aerosol optical properties.

In addition to these approaches, a widely-used particle number size distribution PNSD-based method is included here to enhance the discussion. In this approach, CCN concentrations are estimated by counting particles larger than the critical activation diameter (Dcrit), assumed to be 151, 113, 82, 64, 53, and 50 nm for SS = 0.1 %, 0.2 %, 0.4 %, 0.6 %, 0.8 %, and 1.0 %, respectively. These values correspond to the median Dcrit for each SS obtained from the median values across stations and fall within the range reported in previous studies (Bougiatioti et al.2011; Jurányi et al.2011; Schmale et al.2018). The results of this PNSD-based approach are presented in Fig. S19 in the Supplement, showing the results across the 9 sites.

Figure 11a shows the MRB, which quantifies systematic deviations with positive values indicating overprediction and negative values underprediction, between predicted and measured CCN concentrations for all the methods. Figure 11b shows the median absolute error (MdAE) for each method, providing the typical magnitude of the prediction error in absolute units. It should be noted that these values are calculated across all SS and all sites where different methods can be applied. The simple Dcrit approach exhibits the best overall performance, with a MRB of −2 % and the lowest MdAE (83 cm−3), indicating negligible systematic bias and high precision relative to the CCN concentrations typically observed at the studied sites.

The chemistry-based prediction approaches show slightly reduced performance compared to the Dcrit method. Schemes 1 (including BC) and 2 (excluding BC) exhibit moderate overprediction (MRB < 15 %) and comparable MdAE values (98–100 cm−3), indicating reasonably good precision but a tendency toward positive bias. Scheme 3, which assumes a constant κchem=0.3, shows the largest bias (MRB = 24 %) and higher MdAE (141 cm−3), reflecting increased error dispersion. While less accurate, this approach still provides a useful first-order estimate when chemical composition measurements are unavailable, consistent with previous studies (Schmale et al.2017; Rejano et al.2024). The reliance on bulk chemical composition, which assumes particles are internally mixed and chemically homogeneous regardless of size (Wang et al.2010; Ren et al.2018), and assumptions about the chemical species present (e.g., sulfate forms, organic types) in the atmosphere, can increase uncertainty in chemistry-based CCN prediction methods (Schmale et al.2017; Rejano et al.2024).

https://acp.copernicus.org/articles/26/3697/2026/acp-26-3697-2026-f11

Figure 11Performance of different CCN prediction methods across all SS and sites. (a) Median relative bias (MRB, %) and (b) median absolute error (MdAE, cm−3) between predicted and measured NCCN. Each box corresponds to a different predictive method applied to the sites with available data.

Download

The AOP-based empirical methods (blue bars S2019 Eq. and New eq.) exhibit larger absolute errors than the PNSD- and chemistry-based approaches. The original S2019 equation substantially underestimates CCN concentrations (MRB =−27 %) and shows a relatively large MdAE (195 cm−3). The updated parameterization notably reduces the systematic bias (MRB =−8 %) while maintaining a similar MdAE (180 cm−3), indicating improved agreement on average but comparable error dispersion. Despite their lower precision, these approaches are straightforward to implement and only require nephelometer measurements, which greatly enhances their applicability to long-term and globally distributed datasets.

The RF approach represents a further step toward exploiting aerosol optical information. When using the three S2019 AOPs as predictors (σsp, BSF, SAE), the RF model shows moderate overprediction (MRB =19 %) and a MdAE of 132 cm−3. Incorporating all AOPs (σsp, BSF, SAE, σap, AAE, SSA) reduces both bias (MRB =15 %) and MdAE (110 cm−3), yielding the lowest overall error dispersion among all AOP-based methods. Although the RF approach does not outperform the Dcrit method in terms of bias, it achieves a level of precision comparable to chemistry-based schemes while relying exclusively on optical measurements. In addition, the RF approach provides additional insights into the relative importance of different optical properties for predicting C and k, which cannot be obtained with other methods based solely on optical measurements.

https://acp.copernicus.org/articles/26/3697/2026/acp-26-3697-2026-f12

Figure 12Summary of CCN prediction methods evaluated in this study and recommended use.

Download

Overall, the different CCN prediction approaches evaluated in this study exhibit complementary strengths in terms of bias and precision. When PNSD data are available, the Dcrit method is a robust and straightforward option that minimizes systematic bias. When only nephelometer/optical data are available, the new version of the Shen-based equation or the RF model are preferred, with the former being the simplest to apply and the latter offering improved precision and providing additional insight into the relative importance of individual aerosol optical properties. This makes it particularly valuable for diagnostic and exploratory analyses.

There are still many ways in which the CCN prediction schemes based on aerosol optical or chemical properties can be expanded. For example, Wang et al. (2025b) showed that using dry scattering measurements enhances CCN estimates, while datasets with co-located scattering-related hygroscopicity, f(RH), such as those compiled by Burgos et al. (2019), provide valuable information to refine CCN prediction models under ambient humidity and reduce associated uncertainties. Beyond the 9 sites considered in this study, additional co-located datasets could be combined to harmonize measurements across more locations. In this context, the RF model and the new developed S2019 equation could be applied to long-term aerosol optical records to estimate CCN concentrations over broader spatial and temporal scales and to evaluate the performance of global models (Fanourgakis et al.2019).

5 Conclusions

This work presents a comprehensive phenomenological study of in-situ aerosol microphysical, CCN activation, chemical composition, and optical properties at 9 surface sites across diverse environments. Several CCN prediction methods using the chemical composition and aerosol optical properties were evaluated.

Analysis of aerosol microphysical properties and CCN activation at 0.4 %  SS reveals a wide variability between environments. The polar and marine sites exhibited the lowest concentrations of Ntot and NCCN, with values below 400 and 160 cm−3, respectively. Despite similar particle concentrations at these remote sites, the significant variability in Dcrit and AF underscores the importance of size distribution and chemistry in CCN activation. In contrast, continental sites exhibited the highest Ntot and NCCN (>2000 and 659 cm−3, respectively) with fairly similar AF values (0.25–0.38) and a relatively narrow range in Dcrit (76–98 nm). The mountain sites were more similar to the continental sites than the remote sites in terms of aerosol concentrations, but generally exhibited lower AF (<0.24).

The chemical composition analysis of the sites with ACSM measurements shows that organics dominate in continental and mountain sites (50 %–73 % of PM1), while the marine station is sulfate-rich (35 % of PM1). Total PM1 mass ranges from 0.54 to 5.5 µg m−3 across sites. Ammonium and nitrate reflect local emissions at the sites and BC is a minor fraction (<9 %) of the aerosol mass. A κchem analysis was performed using three different schemes to represent hygroscopcity (κchem calculated from ACSM composition + BC, κchem calculated from ACSM composition only and fixed κchem=0.3). The median hygroscopicity across sites ranged from approximately 0.2 to 0.5 and increased systematically as the organic fraction decreased.

Aerosol optical properties across the seven sites reveal clear environmental differences. Both σsp and σap vary with aerosol loading and sources, with continental sites having the highest absorption due to biomass burning and anthropogenic emissions. At the marine site ENA, high σsp reflects the presence of marine aerosols with high scattering efficiency. BSF and SAE indicate a predominance of fine particles at continental and mountain sites, whereas marine and polar sites are dominated by coarser particles. AAE values remain generally consistent across sites with median values of approximately 1.2, indicating that BC is the primary absorbing component. Most sites are dominated by scattering aerosols (SSA > 0.9), with lower SSA observed at the site with the most urban influence.

The joint dataset of CCN, aerosol chemical composition and optical properties have been used to evaluate the ability of different prediction methods to estimate CCN concentrations, using either particle number size distribution, chemical composition or aerosol optical properties as inputs. Comparing these prediction methods across site types provides a better understanding of biases and uncertainty in CCN concentration estimates when direct CCN measurements are unavailable. The practical outcome of the different methods is summarized in Fig. 12, which links each approach to the type of available measurements and highlights their complementary strengths. When high-resolution particle number size distribution measurements are available, the PNSD-based approach is the most robust, while chemistry-based schemes offer physically consistent alternatives, though including BC yields limited improvement. Optical-based methods, including the new version of the S2019 equation and the random forest model, provide robust CCN predictions and can be applied at sites with limited measurements. Overall, method selection should balance data availability, predictive accuracy, and interpretability, considering associated uncertainties.

Additionally, the random forest approach allows identifying input variable importance. The application of the random forest (RF) model extended the range of aerosol optical properties considered beyond those included in previous parameterizations. To our knowledge, this is the first explicit use of the absorption Ångström exponent (AAE) as a predictor for CCN estimation based on optical data. RF analysis indicated the importance of AAE in predicting the Twomey exponent k, highlighting the potential value of including absorbing aerosol characteristics in future parameterizations.

Both empirical (Shen-based) and machine-learning (RF) approaches offer practical pathways to estimate long-term CCN trends at stations with extensive aerosol optical property archives. Retrospective application of these methods can provide insights into the evolution of aerosol-cloud interactions over recent decades. A key requirement for such analyses is robust quantification of prediction uncertainties to ensure reliable trend interpretation.

Finally, while this study adds to the accumulated knowledge and previous synthesis of data (e.g., Schmale et al.2018) relevant for CCN analysis, there are still gaps in spatial coverage. Other observational sites making PNSD and CCN measurements do exist. A truly global CCN climatology, similar in spirit to the effort of Rose et al. (2021) for Ntot and PNSD, would require an extensive harmonization of disparate datasets – it would be a monumental but valuable undertaking.

Code availability

Code will be made available on request.

Data availability
Supplement

The supplement related to this article is available online at https://doi.org/10.5194/acp-26-3697-2026-supplement.

Author contributions

I.Z. wrote the original draft, performed visualization, investigation, formal analysis, data curation, and conceptualization. J.A.C.V. contributed to writing – review & editing, methodology, investigation, formal analysis, conceptualization and supervision. E.A. contributed to writing – review & editing, methodology, investigation, and conceptualization. A.C. contributed to data curation, conceptualization, writing – review & editing,. G.C.-C. contributed to writing – review & editing. A.G.H. contributed to writing – review & editing and funding acquisition. G.T. contributed to writing – review & editing, supervision, project administration, methodology, funding acquisition, and conceptualization.

Competing interests

At least one of the (co-)authors is a member of the editorial board of Atmospheric Chemistry and Physics. The peer-review process was guided by an independent editor, and the authors also have no other competing interests to declare.

Disclaimer

Publisher's note: Copernicus Publications remains neutral with regard to jurisdictional claims made in the text, published maps, institutional affiliations, or any other geographical representation in this paper. The authors bear the ultimate responsibility for providing appropriate place names. Views expressed in the text are those of the authors and do not necessarily reflect the views of the publisher.

Acknowledgements

We thank contribution from MICIU/AEI/10.13039/501100011033/ and “European Union NextGeneration EU/PRTR” via NUCLEUS project PID2021-128757OB-I00, the University of Granada Scientific Unit of Excellence: Earth System (UCE-PP2017-02) and the MIXDUST project (PID2024-160280NB-I00) funded by MICIU/AEI/10.13039/501100 011033/ and by FEDER, EU. We acknowledge the DOE/ARM mentors for providing help with data issues.

Financial support

This research has been supported by the U.S. Department of Energy, Atmospheric System Research (ASR) program, under grant DE-SC0022886.

Review statement

This paper was edited by Imre Salma and reviewed by three anonymous referees.

References

Aklilu, Y. A., Mozurkewich, M., Prenni, A. J., Kreidenweis, S. M., Alfarra, M. R., Allan, J. D., Anlauf, K., Brook, J., Leaitch, W. R., Sharma, S., Boudries, H., and Worsnop, D. R.: Hygroscopicity of particles at two rural, urban influenced sites during Pacific 2001: Comparison with estimates of water uptake from particle composition, Atmos. Environ., 40, 2650–2661, https://doi.org/10.1016/j.atmosenv.2005.11.063, 2006. a

Almeida, G. P., Brito, J., Morales, C. A., Andrade, M. F., and Artaxo, P.: Measured and modelled cloud condensation nuclei (CCN) concentration in São Paulo, Brazil: the importance of aerosol size-resolved chemical composition on CCN concentration prediction, Atmos. Chem. Phys., 14, 7559–7572, https://doi.org/10.5194/acp-14-7559-2014, 2014. a

Anderson, N., Strader, R., and Davidson, C.: Airborne reduced nitrogen: ammonia emissions from agriculture and other sources, Environ. Int., 29, 277–286, https://doi.org/10.1016/S0160-4120(02)00186-1, 2003. a

Andreae, M. O.: Correlation between cloud condensation nuclei concentration and aerosol optical thickness in remote and polluted regions, Atmos. Chem. Phys., 9, 543–556, https://doi.org/10.5194/acp-9-543-2009, 2009. a

Andrews, E., Zabala, I., Carrillo-Cardenas, G., Titos, G., Casquero-Vera, J. A., and Hallar, A. G.: Harmonized aerosol size distribution, cloud condensation nuclei, chemistry and optical properties at 10 sites, Sci. Data, 12, https://doi.org/10.1038/s41597-025-04931-y, 2025a. a, b, c, d, e, f, g, h, i, j, k, l, m, n, o, p

Andrews, E., Zabala, I., Carrillo-Cardenas, G., Titos, G., Casquero-Vera, J. A., and Hallar, A. G.: Harmonized aerosol size distribution, cloud condensation nuclei, chemistry and optical properties at 12 sites, figshare [data set], https://doi.org/10.6084/m9.figshare.27913806.v1, 2025b. a, b, c, d, e

Ansmann, A., Ohneiser, K., Engelmann, R., Radenz, M., Griesche, H., Hofer, J., Althausen, D., Creamean, J. M., Boyer, M. C., Knopf, D. A., Dahlke, S., Maturilli, M., Gebauer, H., Bühl, J., Jimenez, C., Seifert, P., and Wandinger, U.: Annual cycle of aerosol properties over the central Arctic during MOSAiC 2019–2020 – light-extinction, CCN, and INP levels from the boundary layer to the tropopause, Atmos. Chem. Phys., 23, 12821–12849, https://doi.org/10.5194/acp-23-12821-2023, 2023. a

Baltensperger, U., Gäggeler, H. W., Jost, D. T., Lugauer, M., Schwikowski, M., Weingartner, E., and Seibert, P.: Aerosol climatology at the high-alpine site Jungfraujoch, Switzerland, J. Geophys. Res.-Atmos., 102, 19707–19715, https://doi.org/10.1029/97JD00928, 1997. a

Barbaro, E., Feltracco, M., De Blasi, F., Turetta, C., Radaelli, M., Cairns, W., Cozzi, G., Mazzi, G., Casula, M., Gabrieli, J., Barbante, C., and Gambaro, A.: Chemical characterization of atmospheric aerosols at a high-altitude mountain site: a study of source apportionment, Atmos. Chem. Phys., 24, 2821–2835, https://doi.org/10.5194/acp-24-2821-2024, 2024. a

Barrie, L.: Arctic air pollution: An overview of current knowledge, Atmos. Environ., 20, 643–663, https://doi.org/10.1016/0004-6981(86)90180-0, 1986. a

Beck, I., Angot, H., Baccarini, A., Dada, L., Quéléver, L., Jokinen, T., Laurila, T., Lampimäki, M., Bukowiecki, N., Boyer, M., Gong, X., Gysel-Beer, M., Petäjä, T., Wang, J., and Schmale, J.: Automated identification of local contamination in remote atmospheric composition time series, Atmos. Meas. Tech., 15, 4195–4224, https://doi.org/10.5194/amt-15-4195-2022, 2022. a

Bergstrom, R. W., Pilewskie, P., Russell, P. B., Redemann, J., Bond, T. C., Quinn, P. K., and Sierau, B.: Spectral absorption properties of atmospheric aerosols, Atmos. Chem. Phys., 7, 5937–5943, https://doi.org/10.5194/acp-7-5937-2007, 2007. a

Bond, T. C., Anderson, T. L., and Campbell, D.: Calibration and Intercomparison of Filter-Based Measurements of Visible Light Absorption by Aerosols, Aerosol Sci. Technol., 30, 582–600, https://doi.org/10.1080/027868299304435, 1999. a

Bougiatioti, A., Fountoukis, C., Kalivitis, N., Pandis, S. N., Nenes, A., and Mihalopoulos, N.: Cloud condensation nuclei measurements in the marine boundary layer of the Eastern Mediterranean: CCN closure and droplet growth kinetics, Atmos. Chem. Phys., 9, 7053–7066, https://doi.org/10.5194/acp-9-7053-2009, 2009. a, b

Bougiatioti, A., Nenes, A., Fountoukis, C., Kalivitis, N., Pandis, S. N., and Mihalopoulos, N.: Size-resolved CCN distributions and activation kinetics of aged continental and marine aerosol, Atmos. Chem. Phys., 11, 8791–8808, https://doi.org/10.5194/acp-11-8791-2011, 2011. a

Boyer, M., Aliaga, D., Pernov, J. B., Angot, H., Quéléver, L. L. J., Dada, L., Heutte, B., Dall'Osto, M., Beddows, D. C. S., Brasseur, Z., Beck, I., Bucci, S., Duetsch, M., Stohl, A., Laurila, T., Asmi, E., Massling, A., Thomas, D. C., Nøjgaard, J. K., Chan, T., Sharma, S., Tunved, P., Krejci, R., Hansson, H. C., Bianchi, F., Lehtipalo, K., Wiedensohler, A., Weinhold, K., Kulmala, M., Petäjä, T., Sipilä, M., Schmale, J., and Jokinen, T.: A full year of aerosol size distribution data from the central Arctic under an extreme positive Arctic Oscillation: insights from the Multidisciplinary drifting Observatory for the Study of Arctic Climate (MOSAiC) expedition, Atmos. Chem. Phys., 23, 389–415, https://doi.org/10.5194/acp-23-389-2023, 2023. a

Breiman, L.: Random Forests, Mach. Learn., 45, 5–32, https://doi.org/10.1023/A:1010933404324, 2001. a, b, c, d

Burgos, M. A., Andrews, E., Titos, G., Alados-Arboledas, L., Baltensperger, U., Day, D., Jefferson, A., Kalivitis, N., Mihalopoulos, N., Sherman, J., Sun, J., Weingartner, E., and Zieger, P.: A global view on the effect of water uptake on aerosol particle light scattering, Sci. Data, 6, 157, https://doi.org/10.1038/s41597-019-0158-7, 2019. a

Cai, M., Huang, S., Liang, B., Sun, Q., Liu, L., Yuan, B., Shao, M., Hu, W., Chen, W., Song, Q., Li, W., Peng, Y., Wang, Z., Chen, D., Tan, H., Xu, H., Li, F., Deng, X., Deng, T., Sun, J., and Zhao, J.: Measurement report: Distinct size dependence and diurnal variation in organic aerosol hygroscopicity, volatility, and cloud condensation nuclei activity at a rural site in the Pearl River Delta (PRD) region, China, Atmos. Chem. Phys., 22, 8117–8136, https://doi.org/10.5194/acp-22-8117-2022, 2022. a

Cappa, C. D., Kolesar, K. R., Zhang, X., Atkinson, D. B., Pekour, M. S., Zaveri, R. A., Zelenyuk, A., and Zhang, Q.: Understanding the optical properties of ambient sub- and supermicron particulate matter: results from the CARES 2010 field study in northern California, Atmos. Chem. Phys., 16, 6511–6535, https://doi.org/10.5194/acp-16-6511-2016, 2016. a

Cazorla, A., Bahadur, R., Suski, K. J., Cahill, J. F., Chand, D., Schmid, B., Ramanathan, V., and Prather, K. A.: Relating aerosol absorption due to soot, organic carbon, and dust to emission sources determined from in-situ chemical measurements, Atmos. Chem. Phys., 13, 9337–9350, https://doi.org/10.5194/acp-13-9337-2013, 2013. a

Che, H., Zhang, L., Segal-Rozenhaimer, M., Dang, C., Zuidema, P., and Sedlacek III, A. J.: Aerosol hygroscopicity over the South-East Atlantic Ocean during the biomass burning season – Part 2: Influence of sea salt and burning conditions on CCN hygroscopicity, Atmos. Chem. Phys., 25, 10987–11002, https://doi.org/10.5194/acp-25-10987-2025, 2025. a

Cohard, J., Pinty, J., and Bedos, C.: Extending Twomey's analytical estimate of nucleated cloud droplet concentrations from CCN spectra, J. Atmos. Sci., 55, 3348–3357, https://doi.org/10.1175/1520-0469(1998)055<3348:ETSAEO>2.0.CO;2, 1998. a

Collaud Coen, M., Weingartner, E., Nyeki, S., Cozic, J., Henning, S., Verheggen, B., Gehrig, R., and Baltensperger, U.: Long-term trend analysis of aerosol variables at the high-alpine site Jungfraujoch, J. Geophys. Res.-Atmos., 112, https://doi.org/10.1029/2006JD007995, 2007. a, b, c

Collaud Coen, M., Weingartner, E., Furger, M., Nyeki, S., Prévôt, A. S. H., Steinbacher, M., and Baltensperger, U.: Aerosol climatology and planetary boundary influence at the Jungfraujoch analyzed by synoptic weather types, Atmos. Chem. Phys., 11, 5931–5944, https://doi.org/10.5194/acp-11-5931-2011, 2011. a

Collaud Coen, M., Andrews, E., Aliaga, D., Andrade, M., Angelov, H., Bukowiecki, N., Ealo, M., Fialho, P., Flentje, H., Hallar, A. G., Hooda, R., Kalapov, I., Krejci, R., Lin, N.-H., Marinoni, A., Ming, J., Nguyen, N. A., Pandolfi, M., Pont, V., Ries, L., Rodríguez, S., Schauer, G., Sellegri, K., Sharma, S., Sun, J., Tunved, P., Velasquez, P., and Ruffieux, D.: Identification of topographic features influencing aerosol observations at high altitude stations, Atmos. Chem. Phys., 18, 12289–12313, https://doi.org/10.5194/acp-18-12289-2018, 2018. a

Cubison, M. J., Ervens, B., Feingold, G., Docherty, K. S., Ulbrich, I. M., Shields, L., Prather, K., Hering, S., and Jimenez, J. L.: The influence of chemical composition and mixing state of Los Angeles urban aerosol on CCN number and cloud properties, Atmos. Chem. Phys., 8, 5649–5667, https://doi.org/10.5194/acp-8-5649-2008, 2008. a

Cutler, A., Cutler, D. R., and Stevens, J. R.: Random Forests, in: Ensemble Machine Learning, edited by: Zhang, C. and Ma, Y., pp. 157–175, Springer, New York, https://doi.org/10.1007/978-1-4419-9326-7_5, 2012. a

Dada, L., Angot, H., Beck, I., Baccarini, A., Quéléver, L., Boyer, M., Laurila, T., Brasseur, Z., Jozef, G., de Boer, G., Shupe, M., Henning, S., Bucci, S., Dütsch, M., Stohl, A., Petäjä, T., Daellenbach, K., Jokinen, T., and Schmale, J.: A central arctic extreme aerosol event triggered by a warm air-mass intrusion, Nat. Commun., 13, https://doi.org/10.1038/s41467-022-32872-2, 2022. a

Deng, Y., Kagami, S., Ogawa, S., Kawana, K., Nakayama, T., Kubodera, R., Adachi, K., Hussein, T., Miyazaki, Y., and Mochida, M.: Hygroscopicity of Organic Aerosols and Their Contributions to CCN Concentrations Over a Midlatitude Forest in Japan, J. Geophys. Res.-Atmos., 123, https://doi.org/10.1029/2017JD027292, 2018. a

Deshmukh, S., Poulain, L., Wehner, B., Henning, S., Petit, J.-E., Fombelle, P., Favez, O., Herrmann, H., and Pöhlker, M.: External particle mixing influences hygroscopicity in a sub-urban area, Atmos. Chem. Phys., 25, 741–758, https://doi.org/10.5194/acp-25-741-2025, 2025. a

Duan, J., Chen, Y., Zhang, X., Wang, W., Zhong, S., Li, J., Lu, G., Fang, C., Guo, L., and Fu, P.: Influence of aerosol physicochemical properties on CCN activation during the Asian winter monsoon at the summit of Mt. Lu, China, Atmos. Environ., 296, https://doi.org/10.1016/j.atmosenv.2023.119592, 2023. a

Dusek, U., Frank, G. P., Curtius, J., Drewnick, F., Schneider, J., Kürten, A., Rose, D., Andreae, M. O., Borrmann, S., and Pöschl, U.: Enhanced organic mass fraction and decreased hygroscopicity of cloudcondensation nuclei (CCN) during new particle formation events, Geophys. Res. Lett., 37, https://doi.org/10.1029/2009GL040930, 2010. a

Ervens, B., Cubison, M., Andrews, E., Feingold, G., Ogren, J., Jimenez, J., DeCarlo, P., and Nenes, A.: Prediction of cloud condensation nucleus number concentration using measurements of aerosol size distributions and composition and light scattering enhancement due to humidity, J. Geophys. Res.-Atmos., 112, https://doi.org/10.1029/2006JD007426, 2007. a

Fanourgakis, G. S., Kanakidou, M., Nenes, A., Bauer, S. E., Bergman, T., Carslaw, K. S., Grini, A., Hamilton, D. S., Johnson, J. S., Karydis, V. A., Kirkevåg, A., Kodros, J. K., Lohmann, U., Luo, G., Makkonen, R., Matsui, H., Neubauer, D., Pierce, J. R., Schmale, J., Stier, P., Tsigaridis, K., van Noije, T., Wang, H., Watson-Parris, D., Westervelt, D. M., Yang, Y., Yoshioka, M., Daskalakis, N., Decesari, S., Gysel-Beer, M., Kalivitis, N., Liu, X., Mahowald, N. M., Myriokefalitakis, S., Schrödner, R., Sfakianaki, M., Tsimpidi, A. P., Wu, M., and Yu, F.: Evaluation of global simulations of aerosol particle and cloud condensation nuclei number, with implications for cloud droplet formation, Atmos. Chem. Phys., 19, 8591–8617, https://doi.org/10.5194/acp-19-8591-2019, 2019. a, b

Fast, J. D., Varble, A. C., Mei, F., Pekour, M., Tomlinson, J., Zelenyuk, A., Sedlacek III, A. J., Zawadowicz, M., and Emmons, L.: Large spatiotemporal variability in aerosol properties over central Argentina during the CACTI field campaign, Atmos. Chem. Phys., 24, 13477–13502, https://doi.org/10.5194/acp-24-13477-2024, 2024. a, b, c

Fröhlich, R., Cubison, M. J., Slowik, J. G., Bukowiecki, N., Canonaco, F., Croteau, P. L., Gysel, M., Henne, S., Herrmann, E., Jayne, J. T., Steinbacher, M., Worsnop, D. R., Baltensperger, U., and Prévôt, A. S. H.: Fourteen months of on-line measurements of the non-refractory submicron aerosol at the Jungfraujoch (3580 m a.s.l.) – chemical composition, origins and organic aerosol sources, Atmos. Chem. Phys., 15, 11373–11398, https://doi.org/10.5194/acp-15-11373-2015, 2015. a

Gallo, F., Uin, J., Springston, S., Wang, J., Zheng, G., Kuang, C., Wood, R., Azevedo, E. B., McComiskey, A., Mei, F., Theisen, A., Kyrouac, J., and Aiken, A. C.: Identifying a regional aerosol baseline in the eastern North Atlantic using collocated measurements and a mathematical algorithm to mask high-submicron-number-concentration aerosol events, Atmos. Chem. Phys., 20, 7553–7573, https://doi.org/10.5194/acp-20-7553-2020, 2020. a

Gallo, F., Uin, J., Sanchez, K. J., Moore, R. H., Wang, J., Wood, R., Mei, F., Flynn, C., Springston, S., Azevedo, E. B., Kuang, C., and Aiken, A. C.: Long-range transported continental aerosol in the eastern North Atlantic: three multiday event regimes influence cloud condensation nuclei, Atmos. Chem. Phys., 23, 4221–4246, https://doi.org/10.5194/acp-23-4221-2023, 2023. a

Ghan, S. J., Rissman, T. A., Elleman, R., Ferrare, R. A., Turner, D., Flynn, C., Wang, J., Ogren, J., Hudson, J., Jonsson, H. H., VanReken, T., Flagan, R. C., and Seinfeld, J. H.: Use of in situ cloud condensation nuclei, extinction, and aerosol size distribution measurements to test a method for retrieving cloud condensation nuclei profiles from surface measurements, J. Geophys. Res.-Atmos., 111, https://doi.org/10.1029/2004jd005752, 2006. a, b

Gibson, L. D., Levin, E. J. T., Emerson, E., Good, N., Hodshire, A., McMeeking, G., Patterson, K., Rainwater, B., Ramin, T., and Swanson, B.: Measurement report: An investigation of the spatiotemporal variability in aerosols in the mountainous terrain of the upper Colorado River basin using SAIL-Net, Atmos. Chem. Phys., 25, 2745–2762, https://doi.org/10.5194/acp-25-2745-2025, 2025. a, b, c

Grange, S. K., Carslaw, D. C., Lewis, A. C., Boleti, E., and Hueglin, C.: Random forest meteorological normalisation models for Swiss PM10 trend analysis, Atmos. Chem. Phys., 18, 6223–6239, https://doi.org/10.5194/acp-18-6223-2018, 2018. a

Gregorutti, B., Bertrand, M., and Saint-Pierre, P.: Correlation and variable importance in random forests, Stat. Comput., 27, 659–678, https://doi.org/10.1007/s11222-016-9646-1, 2017. a

Gunthe, S. S., King, S. M., Rose, D., Chen, Q., Roldin, P., Farmer, D. K., Jimenez, J. L., Artaxo, P., Andreae, M. O., Martin, S. T., and Pöschl, U.: Cloud condensation nuclei in pristine tropical rainforest air of Amazonia: size-resolved measurements and modeling of atmospheric aerosol composition and CCN activity, Atmos. Chem. Phys., 9, 7551–7575, https://doi.org/10.5194/acp-9-7551-2009, 2009. a

Gysel, M., Crosier, J., Topping, D. O., Whitehead, J. D., Bower, K. N., Cubison, M. J., Williams, P. I., Flynn, M. J., McFiggans, G. B., and Coe, H.: Closure study between chemical composition and hygroscopic growth of aerosol particles during TORCH2, Atmos. Chem. Phys., 7, 6131–6144, https://doi.org/10.5194/acp-7-6131-2007, 2007. a, b

Hallar, A. G., Chirokova, G., McCubbin, I., Painter, T. H., Wiedinmyer, C., and Dodson, C.: Atmospheric bioaerosols transported via dust storms in the western United States, Geophys. Res. Lett., 38, https://doi.org/10.1029/2011GL048166, 2011. a

Hallar, A. G., Petersen, R., Andrews, E., Michalsky, J., McCubbin, I. B., and Ogren, J. A.: Contributions of dust and biomass burning to aerosols at a Colorado mountain-top site, Atmos. Chem. Phys., 15, 13665–13679, https://doi.org/10.5194/acp-15-13665-2015, 2015. a

Hallar, A. G., McCubbin, I. B., Borys, R., Lowenthal, D. H., Wetzel, M., Hindman, E., Brooks, S. D., Steenburgh, W. J., Gratz, L., Hoch, S., Stephens, B., Horel, J. D., Molotch, N. P., Mace, G. G., Bailey, A., Pettersen, C., Andrews, E., Cziczo, D. J., and Garcia, M.: Storm Peak Laboratory: A Research and Training Facility for the Atmospheric Sciences, B. Am. Meteorol. Soc., 106, E1130–E1148, https://doi.org/10.1175/BAMS-D-24-0043.1, 2025. a

Hirshorn, N. S., Zuromski, L. M., Rapp, C., McCubbin, I., Carrillo-Cardenas, G., Yu, F., and Hallar, A. G.: Seasonal significance of new particle formation impacts on cloud condensation nuclei at a mountaintop location, Atmos. Chem. Phys., 22, 15909–15924, https://doi.org/10.5194/acp-22-15909-2022, 2022. a

IPCC: Intergovernmental Panel on Climate Change: Climate Change 2021: The Physical Science Basis, Cambridge University Press, https://doi.org/10.1017/9781009157896, 2021. a

Jaegle, L., Steinberger, A. L., Martin, R. V., and Chance, K.: Global partitioning of NOx sources using satellite observations: Relative roles of fossil fuel combustion, biomass burning and soil emissions, Faraday Discuss., 130, 407–423, https://doi.org/10.1039/B502128F, 2005. a

Jayachandran, V. N., Suresh Babu, S. N., Vaishya, A., Gogoi, M. M., Nair, V. S., Satheesh, S. K., and Krishna Moorthy, K.: Altitude profiles of cloud condensation nuclei characteristics across the Indo-Gangetic Plain prior to the onset of the Indian summer monsoon, Atmos. Chem. Phys., 20, 561–576, https://doi.org/10.5194/acp-20-561-2020, 2020. a

Jefferson, A.: Empirical estimates of CCN from aerosol optical properties at four remote sites, Atmos. Chem. Phys., 10, 6855–6861, https://doi.org/10.5194/acp-10-6855-2010, 2010. a, b, c, d, e, f

Jimenez, J. L., Canagaratna, M. R., Donahue, N. M., Prevot, A. S., Zhang, Q., Kroll, J. H., DeCarlo, P. F., Allan, J. D., Coe, H., Ng, N. L., Aiken, A. C., Docherty, K. S., Ulbrich, I. M., Grieshop, A. P., Robinson, A. L., Duplissy, J., Smith, J. D., Wilson, K. R., Lanz, V. A., Hueglin, C., Sun, Y. L., Tian, J., Laaksonen, A., Raatikainen, T., Rautiainen, J., Vaattovaara, P., Ehn, M., Kulmala, M., Tomlinson, J. M., Collins, D. R., Cubison, M. J., Dunlea, E. J., Huffman, J. A., Onasch, T. B., Alfarra, M. R., Williams, P. I., Bower, K., Kondo, Y., Schneider, J., Drewnick, F., Borrmann, S., Weimer, S., Demerjian, K., Salcedo, D., Cottrell, L., Griffin, R., Takami, A., Miyoshi, T., Hatakeyama, S., Shimono, A., Sun, J. Y., Zhang, Y. M., Dzepina, K., Kimmel, J. R., Sueper, D., Jayne, J. T., Herndon, S. C., Trimborn, A. M., Williams, L. R., Wood, E. C., Middlebrook, A. M., Kolb, C. E., Baltensperger, U., and Worsnop, D. R.: Evolution of organic aerosols in the atmosphere, Science, 11, 1525–1529, https://doi.org/10.1126/science.1180353, 2009. a

Jurányi, Z., Gysel, M., Weingartner, E., DeCarlo, P. F., Kammermann, L., and Baltensperger, U.: Measured and modelled cloud condensation nuclei number concentration at the high alpine site Jungfraujoch, Atmos. Chem. Phys., 10, 7891–7906, https://doi.org/10.5194/acp-10-7891-2010, 2010. a

Jurányi, Z., Gysel, M., Weingartner, E., Bukowiecki, N., Kammermann, L., and Baltensperger, U.: A 17 month climatology of the cloud condensation nuclei number concentration at the high alpine site Jungfraujoch, J. Geophys. Res.-Atmos., 10, 7891–7906, https://doi.org/10.1029/2010JD015199, 2011. a, b, c, d, e

Kang, M., Fu, P., Kawamura, K., Yang, F., Zhang, H., Zang, Z., Ren, H., Ren, L., Zhao, Y., Sun, Y., and Wang, Z.: Characterization of biogenic primary and secondary organic aerosols in the marine atmosphere over the East China Sea, Atmos. Chem. Phys., 18, 13947–13967, https://doi.org/10.5194/acp-18-13947-2018, 2018. a

Kirchstetter, T., Novakov, T., and Hobbs, P.: Evidence that the spectral dependence of light absorption by aerosols is affected by organic carbon, J. Geophys. Res.-Atmos., 109, https://doi.org/10.1029/2004JD004999, 2004. a, b

Kulkarni, G., Mei, F., Shilling, J. E., Wang, J., Pinto Reveggino, R., Flynn, C., Zelenyuk, A., and Fast, J.: Cloud Condensation Nuclei Closure Study Using Airborne Measurements Over the Southern Great Plains, J. Geophys. Res.-Atmos., 128, https://doi.org/10.1029/2022JD037964, 2023. a

Laj, P., Bigi, A., Rose, C., Andrews, E., Lund Myhre, C., Collaud Coen, M., Lin, Y., Wiedensohler, A., Schulz, M., Ogren, J. A., Fiebig, M., Gliß, J., Mortier, A., Pandolfi, M., Petäja, T., Kim, S.-W., Aas, W., Putaud, J.-P., Mayol-Bracero, O., Keywood, M., Labrador, L., Aalto, P., Ahlberg, E., Alados Arboledas, L., Alastuey, A., Andrade, M., Artíñano, B., Ausmeel, S., Arsov, T., Asmi, E., Backman, J., Baltensperger, U., Bastian, S., Bath, O., Beukes, J. P., Brem, B. T., Bukowiecki, N., Conil, S., Couret, C., Day, D., Dayantolis, W., Degorska, A., Eleftheriadis, K., Fetfatzis, P., Favez, O., Flentje, H., Gini, M. I., Gregorič, A., Gysel-Beer, M., Hallar, A. G., Hand, J., Hoffer, A., Hueglin, C., Hooda, R. K., Hyvärinen, A., Kalapov, I., Kalivitis, N., Kasper-Giebl, A., Kim, J. E., Kouvarakis, G., Kranjc, I., Krejci, R., Kulmala, M., Labuschagne, C., Lee, H.-J., Lihavainen, H., Lin, N.-H., Löschau, G., Luoma, K., Marinoni, A., Martins Dos Santos, S., Meinhardt, F., Merkel, M., Metzger, J.-M., Mihalopoulos, N., Nguyen, N. A., Ondracek, J., Pérez, N., Perrone, M. R., Petit, J.-E., Picard, D., Pichon, J.-M., Pont, V., Prats, N., Prenni, A., Reisen, F., Romano, S., Sellegri, K., Sharma, S., Schauer, G., Sheridan, P., Sherman, J. P., Schütze, M., Schwerin, A., Sohmer, R., Sorribas, M., Steinbacher, M., Sun, J., Titos, G., Toczko, B., Tuch, T., Tulet, P., Tunved, P., Vakkari, V., Velarde, F., Velasquez, P., Villani, P., Vratolis, S., Wang, S.-H., Weinhold, K., Weller, R., Yela, M., Yus-Diez, J., Zdimal, V., Zieger, P., and Zikova, N.: A global analysis of climate-relevant aerosol properties retrieved from the network of Global Atmosphere Watch (GAW) near-surface observatories, Atmos. Meas. Tech., 13, 4353–4392, https://doi.org/10.5194/amt-13-4353-2020, 2020. a

Lenhardt, E., Gao, L., Hostetler, C. A., Ferrare, R. A., Burton, S. P., Moore, R. H., Ziemba, L. D., Crosbie, E., Sorooshian, A., Soloff, C., and Redemann, J.: Aerosol effective radius governs the relationship between cloud condensation nuclei (CCN) concentration and aerosol backscatter, Atmos. Chem. Phys., 25, 13747–13768, https://doi.org/10.5194/acp-25-13747-2025, 2025. a

Liang, M., Tao, J., Ma, N., Kuang, Y., Zhang, Y., Wu, S., Jiang, X., He, Y., Chen, C., Yang, W., Zhou, Y., Cheng, P., Xu, W., Hong, J., Wang, Q., Zhao, C., Zhou, G., Sun, Y., Zhang, Q., Su, H., and Cheng, Y.: Prediction of CCN spectra parameters in the North China Plain using a random forest model, Atmos. Environ., 289, 119323, https://doi.org/10.1016/j.atmosenv.2022.119323, 2022. a, b

Lin, Y.-C., Yu, M., Xie, F., and Zhang, Y.: Anthropogenic Emission Sources of Sulfate Aerosols in Hangzhou, East China: Insights from Isotope Techniques with Consideration of Fractionation Effects between Gas-to-Particle Transformations, Environ. Sci. Technol., 56, https://doi.org/10.1021/acs.est.1c05823, 2022. a

Liu, J. and Li, Z.: Estimation of cloud condensation nuclei concentration from aerosol optical quantities: influential factors and uncertainties, Atmos. Chem. Phys., 14, 471–483, https://doi.org/10.5194/acp-14-471-2014, 2014. a, b

Mace, J., Matrosov, S., Shupe, M., Lawson, P., Hallar, G., McCubbin, I., Marchand, R., Orr, B., Coulter, R., Sedlacek, A., Avallone, L., and Long, C.: STORMVEX: The Storm Peak Lab Cloud Property Validation Experiment Science and Operations Plan, Tech. rep., DOE Office of Science Atmospheric Radiation Measurement (ARM) Program, https://doi.org/10.2172/989263, 2010. a

Martins, J. A., Gonçalves, F. L. T., Morales, C. A., Fisch, G. F., Pinheiro, F. G. M., Leal Júnior, J. B. V., Oliveira, C. J., Silva, E. M., Oliveira, J. C. P., Costa, A. A., and Silva Dias, M. A. F.: Cloud condensation nuclei from biomass burning during the Amazonian dry-to-wet transition season, Meteorol. Atmos. Phys., 104, 83–93, https://doi.org/10.1007/s00703-009-0019-6, 2009. a

Nair, A. A. and Yu, F.: Using machine learning to derive cloud condensation nuclei number concentrations from commonly available measurements, Atmos. Chem. Phys., 20, 12853–12869, https://doi.org/10.5194/acp-20-12853-2020, 2020. a, b

Nair, A., Yu, F., Campuzano-Jost, P., DeMott, P., Levin, E., Jimenez, J., Peischl, J., Pollack, I., Fredrickson, C., Beyersdorf, A., Nault, B., Park, M., Yum, S., Palm, B., Xu, L., Bourgeois, I., Anderson, B., Nenes, A., Ziemba, L., Moore, R., Lee, T., Park, T., Thompson, C., Flocke, F., Huey, L., Kim, M., and Peng, Q.: Machine Learning Uncovers Aerosol Size Information From Chemistry and Meteorology to Quantify Potential Cloud-Forming Particles, Geophys. Res. Lett., 48, https://doi.org/10.1029/2021GL094133, 2020. a

Parworth, C., Fast, J., Mei, F., Shippert, T., Sivaraman, C., Tilp, A., Watson, T., and Zhang, Q.: Long-term measurements of submicrometer aerosol chemistry at the Southern Great Plains (SGP) using an Aerosol Chemical Speciation Monitor (ACSM), Atmos. Environ., 106, 43–55, https://doi.org/10.1016/j.atmosenv.2015.01.060, 2015. a

Patel, P. N. and Jiang, J. H.: Cloud condensation nuclei characteristics at the Southern Great Plains site: role of particle size distribution and aerosol hygroscopicity, Environ. Res. Commun., 3, https://doi.org/10.1088/2515-7620/ac0e0b, 2021. a

Petters, M. D. and Kreidenweis, S. M.: A single parameter representation of hygroscopic growth and cloud condensation nucleus activity, Atmos. Chem. Phys., 7, 1961–1971, https://doi.org/10.5194/acp-7-1961-2007, 2007. a, b, c

Pringle, K. J., Tost, H., Pozzer, A., Pöschl, U., and Lelieveld, J.: Global distribution of the effective aerosol hygroscopicity parameter for CCN activation, Atmos. Chem. Phys., 10, 5241–5255, https://doi.org/10.5194/acp-10-5241-2010, 2010. a, b

Pöhlker, L., Pöhlker, C., Quaas, J., Mülmenstädt, J., Pozzer, A., Andreae, M. O., Artaxo, P., Block, K., Coe, H., Ervens, B., Gallimore, P., Gaston, C. J., Gunthe, S. S., Henning, S., Herrmann, H., Krüger, O. O., McFiggans, G., Poulain, L., Raj, S. S., Reyes-Villegas, E., Royer, H. M., Walter, D., Wang, Y., and Pöschl, U.: Global organic and inorganic aerosol hygroscopicity and its effect on radiative forcing, Nat. Commun., 14, https://doi.org/10.1038/s41467-023-41695-8, 2023. a

Pöhlker, M. L., Pöhlker, C., Ditas, F., Klimach, T., Hrabe de Angelis, I., Araújo, A., Brito, J., Carbone, S., Cheng, Y., Chi, X., Ditz, R., Gunthe, S. S., Kesselmeier, J., Könemann, T., Lavrič, J. V., Martin, S. T., Mikhailov, E., Moran-Zuloaga, D., Rose, D., Saturno, J., Su, H., Thalman, R., Walter, D., Wang, J., Wolff, S., Barbosa, H. M. J., Artaxo, P., Andreae, M. O., and Pöschl, U.: Long-term observations of cloud condensation nuclei in the Amazon rain forest – Part 1: Aerosol size distribution, hygroscopicity, and new model parametrizations for CCN prediction, Atmos. Chem. Phys., 16, 15709–15740, https://doi.org/10.5194/acp-16-15709-2016, 2016. a

Quinn, P., Charlson, R., and Bates, T.: Simultaneous observations of ammonia in the atmosphere and ocean, Nature, 335, 336–338, https://doi.org/10.1038/335336a0, 1988. a

Quinn, P., Bates, T., Coffman, D., J.E., J., and Upchurch, L.: Climate roles of nonsea salt sulfate and sea spray aerosol in the atmospheric marine boundary layer: Highlights of 40 years of PMEL research., Oceanography, 36, 168–174, https://doi.org/10.5670/oceanog.2023.202, 2023. a

Rejano, F., Casans, A., Via, M., Casquero-Vera, J. A., Castillo, S., Lyamani, H., Cazorla, A., Andrews, E., Pérez-Ramírez, D., Alastuey, A., Gómez-Moreno, F. J., Alados-Arboledas, L., Olmo, F. J., and Titos, G.: Activation properties of aerosol particles as cloud condensation nuclei at urban and high-altitude remote sites in southern Europe, Sci. Total Environ., 762, https://doi.org/10.1016/j.scitotenv.2020.143100, 2021. a, b, c, d, e, f

Rejano, F., Casans, A., Via, M., Casquero-Vera, J. A., Castillo, S., Lyamani, H., Cazorla, A., Andrews, E., Pérez-Ramírez, D., Alastuey, A., Gómez-Moreno, F. J., Alados-Arboledas, L., Olmo, F. J., and Titos, G.: CCN estimations at a high-altitude remote site: role of organic aerosol variability and hygroscopicity, Atmos. Chem. Phys., 24, 13865–13888, https://doi.org/10.5194/acp-24-13865-2024, 2024. a, b, c, d, e, f, g, h

Ren, J., Zhang, F., Wang, Y., Collins, D., Fan, X., Jin, X., Xu, W., Sun, Y., Cribb, M., and Li, Z.: Using different assumptions of aerosol mixing state and chemical composition to predict CCN concentrations based on field measurements in urban Beijing, Atmos. Chem. Phys., 18, 6907–6921, https://doi.org/10.5194/acp-18-6907-2018, 2018. a

Rizzo, L. V., Artaxo, P., Müller, T., Wiedensohler, A., Paixão, M., Cirino, G. G., Arana, A., Swietlicki, E., Roldin, P., Fors, E. O., Wiedemann, K. T., Leal, L. S. M., and Kulmala, M.: Long term measurements of aerosol optical properties at a primary forest site in Amazonia, Atmos. Chem. Phys., 13, 2391–2413, https://doi.org/10.5194/acp-13-2391-2013, 2013. a, b

Rose, C., Collaud Coen, M., Andrews, E., Lin, Y., Bossert, I., Lund Myhre, C., Tuch, T., Wiedensohler, A., Fiebig, M., Aalto, P., Alastuey, A., Alonso-Blanco, E., Andrade, M., Artíñano, B., Arsov, T., Baltensperger, U., Bastian, S., Bath, O., Beukes, J. P., Brem, B. T., Bukowiecki, N., Casquero-Vera, J. A., Conil, S., Eleftheriadis, K., Favez, O., Flentje, H., Gini, M. I., Gómez-Moreno, F. J., Gysel-Beer, M., Hallar, A. G., Kalapov, I., Kalivitis, N., Kasper-Giebl, A., Keywood, M., Kim, J. E., Kim, S.-W., Kristensson, A., Kulmala, M., Lihavainen, H., Lin, N.-H., Lyamani, H., Marinoni, A., Martins Dos Santos, S., Mayol-Bracero, O. L., Meinhardt, F., Merkel, M., Metzger, J.-M., Mihalopoulos, N., Ondracek, J., Pandolfi, M., Pérez, N., Petäjä, T., Petit, J.-E., Picard, D., Pichon, J.-M., Pont, V., Putaud, J.-P., Reisen, F., Sellegri, K., Sharma, S., Schauer, G., Sheridan, P., Sherman, J. P., Schwerin, A., Sohmer, R., Sorribas, M., Sun, J., Tulet, P., Vakkari, V., van Zyl, P. G., Velarde, F., Villani, P., Vratolis, S., Wagner, Z., Wang, S.-H., Weinhold, K., Weller, R., Yela, M., Zdimal, V., and Laj, P.: Seasonality of the particle number concentration and size distribution: a global analysis retrieved from the network of Global Atmosphere Watch (GAW) near-surface observatories, Atmos. Chem. Phys., 21, 17185–17223, https://doi.org/10.5194/acp-21-17185-2021, 2021. a

Rose, D., Nowak, A., Achtert, P., Wiedensohler, A., Hu, M., Shao, M., Zhang, Y., Andreae, M. O., and Pöschl, U.: Cloud condensation nuclei in polluted air and biomass burning smoke near the mega-city Guangzhou, China – Part 1: Size-resolved measurements and implications for the modeling of aerosol particle hygroscopicity and CCN activity, Atmos. Chem. Phys., 10, 3365–3383, https://doi.org/10.5194/acp-10-3365-2010, 2010. a

Schmale, J., Henning, S., Henzing, B., Keskinen, H., Sellegri, K., Ovadnevaite, J., Bougiatioti, A., Kalivitis, N., Stavroulas, I., Jefferson, A., Park, M., Schlag, P., Kristensson, A., Iwamoto, Y., Pringle, K., Reddington, C., Aalto, P., Äijälä, M., Baltensperger, U., Bialek, J., Birmili, W., Bukowiecki, N., Ehn, M., Fjæraa, A. M., Fiebig, M., Frank, G., Fröhlich, R., Frumau, A., Furuya, M., Hammer, E., Heikkinen, L., Herrmann, E., Holzinger, R., Hyono, H., Kanakidou, M., Kiendler-Scharr, A., Kinouchi, K., Kos, G., Kulmala, M., Mihalopoulos, N., Motos, G., Nenes, A., O'Dowd, C., Paramonov, M., Petäjä, T., Picard, D., Poulain, L., Prévôt, A. S. H., Slowik, J., Sonntag, A., Swietlicki, E., Svenningsson, B., Tsurumaru, H., Wiedensohler, A., Wittbom, C., Ogren, J. A., Matsuki, A., Yum, S. S., Myhre, C. L., Carslaw, K., Stratmann, F., and Gysel, M.: Collocated observations of cloud condensation nuclei, particle size distributions, and chemical composition, Sci. Data, 4, https://doi.org/10.1038/sdata.2017.3, 2017. a, b, c

Schmale, J., Henning, S., Decesari, S., Henzing, B., Keskinen, H., Sellegri, K., Ovadnevaite, J., Pöhlker, M. L., Brito, J., Bougiatioti, A., Kristensson, A., Kalivitis, N., Stavroulas, I., Carbone, S., Jefferson, A., Park, M., Schlag, P., Iwamoto, Y., Aalto, P., Äijälä, M., Bukowiecki, N., Ehn, M., Frank, G., Fröhlich, R., Frumau, A., Herrmann, E., Herrmann, H., Holzinger, R., Kos, G., Kulmala, M., Mihalopoulos, N., Nenes, A., O'Dowd, C., Petäjä, T., Picard, D., Pöhlker, C., Pöschl, U., Poulain, L., Prévôt, A. S. H., Swietlicki, E., Andreae, M. O., Artaxo, P., Wiedensohler, A., Ogren, J., Matsuki, A., Yum, S. S., Stratmann, F., Baltensperger, U., and Gysel, M.: Long-term cloud condensation nuclei number concentration, particle number size distribution and chemical composition measurements at regionally representative observatories, Atmos. Chem. Phys., 18, 2853–2881, https://doi.org/10.5194/acp-18-2853-2018, 2018. a, b, c, d, e, f, g, h, i, j, k, l, m

Schmeisser, L., Backman, J., Ogren, J. A., Andrews, E., Asmi, E., Starkweather, S., Uttal, T., Fiebig, M., Sharma, S., Eleftheriadis, K., Vratolis, S., Bergin, M., Tunved, P., and Jefferson, A.: Seasonality of aerosol optical properties in the Arctic, Atmos. Chem. Phys., 18, 11599–11622, https://doi.org/10.5194/acp-18-11599-2018, 2018. a

Seinfeld, J. H. and Pandis, S. N.: Atmospheric Chemistry and Physics: From Air Pollution to Climate Change, John Wiley & Sons, New York, NY, USA, ISBN 9780471178156, 1998. a

Seinfeld, J. H., Bretherton, C., Carslaw, K. S., Coe, H., DeMott, P. J., Dunlea, E. J., Feingold, G., Ghan, S., Guenther, A. B., Kahn, R., Kraucunas, I., Kreidenweis, S. M., Molina, M. J., Nenes, A., Penner, J. E., Prather, K. A., Ramanathan, V., Ramaswamy, V., Rasch, P. J., Ravishankara, A. R., Rosenfeld, D., Stephens, G., , and Wood, R.: Improving our fundamental understanding of the role of aerosol−cloud interactions in the climate system, P. Natl. Acad. Sci. USA, 113, 5781–5790, https://doi.org/10.1073/pnas.1514043113, 2016. a

Shen, Y., Virkkula, A., Ding, A., Luoma, K., Keskinen, H., Aalto, P. P., Chi, X., Qi, X., Nie, W., Huang, X., Petäjä, T., Kulmala, M., and Kerminen, V.-M.: Estimating cloud condensation nuclei number concentrations using aerosol optical properties: role of particle number size distribution and parameterization, Atmos. Chem. Phys., 19, 15483–15502, https://doi.org/10.5194/acp-19-15483-2019, 2019. a, b, c, d, e, f, g

Sherman, J. P., Sheridan, P. J., Ogren, J. A., Andrews, E., Hageman, D., Schmeisser, L., Jefferson, A., and Sharma, S.: A multi-year study of lower tropospheric aerosol variability and systematic relationships from four North American regions, Atmos. Chem. Phys., 15, 12487–12517, https://doi.org/10.5194/acp-15-12487-2015, 2015. a

Shinozuka, Y., Clarke, A. D., DeCarlo, P. F., Jimenez, J. L., Dunlea, E. J., Roberts, G. C., Tomlinson, J. M., Collins, D. R., Howell, S. G., Kapustin, V. N., McNaughton, C. S., and Zhou, J.: Aerosol optical properties relevant to regional remote sensing of CCN activity and links to their organic mass fraction: airborne observations over Central Mexico and the US West Coast during MILAGRO/INTEX-B, Atmos. Chem. Phys., 9, 6727–6742, https://doi.org/10.5194/acp-9-6727-2009, 2009. a, b

Shinozuka, Y., Clarke, A. D., Nenes, A., Jefferson, A., Wood, R., McNaughton, C. S., Ström, J., Tunved, P., Redemann, J., Thornhill, K. L., Moore, R. H., Lathem, T. L., Lin, J. J., and Yoon, Y. J.: The relationship between cloud condensation nuclei (CCN) concentration and light extinction of dried particles: indications of underlying aerosol processes and implications for satellite-based CCN estimates, Atmos. Chem. Phys., 15, 7585–7604, https://doi.org/10.5194/acp-15-7585-2015, 2015. a, b, c

Shupe, M. D., Rex, M., Blomquist, B., Persson, P. O. G., Schmale, J., Uttal, T., Althausen, D., Angot, H., Archer, S., Bariteau, L., Beck, I., Bilberry, J., Bucci, S., Buck, C., Boyer, M., Brasseur, Z., Brooks, I. M., Calmer, R., Cassano, J., Castro, V., Chu, D., Costa, D., Cox, C. J., Creamean, J., Crewell, S., Dahlke, S., Damm, E., de Boer, G., Deckelmann, H., Dethloff, K., Dütsch, M., Ebell, K., Ehrlich, A., Ellis, J., Engelmann, R., Fong, A. A., Frey, M. M., Gallagher, M. R., Ganzeveld, L., Gradinger, R., Graeser, J., Greenamyer, V., Griesche, H., Griffiths, S., Hamilton, J., Heinemann, G., Helmig, D., Herber, A., Heuzé, C., Hofer, J., Houchens, T., Howard, D., Inoue, J., Jacobi, H.-W., Jaiser, R., Jokinen, T., Jourdan, O., Jozef, G., King, W., Kirchgaessner, A., Klingebiel, M., Krassovski, M., Krumpen, T., Lampert, A., Landing, W., Laurila, T., Lawrence, D., Lonardi, M., Loose, B., Lüpkes, C., Maahn, M., Macke, A., Maslowski, W., Marsay, C., Maturilli, M., Mech, M., Morris, S., Moser, M., Nicolaus, M., Ortega, P., Osborn, J., Pätzold, F., Perovich, D. K., Petäjä, T., Pilz, C., Pirazzini, R., Posman, K., Powers, H., Pratt, K. A., Preußer, A., Quéléver, L., Radenz, M., Rabe, B., Rinke, A., Sachs, T., Schulz, A., Siebert, H., Silva, T., Solomon, A., Sommerfeld, A., Spreen, G., Stephens, M., Stohl, A., Svensson, G., Uin, J., Viegas, J., Voigt, C., von der Gathen, P., Wehner, B., Welker, J. M., Wendisch, M., Werner, M., Xie, Z., and Yue, F.: Overview of the MOSAiC expedition: Atmosphere, Elementa: Science of the Anthropocene, 10, https://doi.org/10.1525/elementa.2021.00060, 00060, 2022. a

Sutton, M., Dragosits, U., Tang, Y., and Fowler, D.: Ammonia emissions from non-agricultural sources in the UK, Atmos. Environ., 34, 855–869, https://doi.org/10.1016/S1352-2310(99)00362-3, 2000. a

Tao, J., Zhao, C., Kuang, Y., Zhao, G., Shen, C., Yu, Y., Bian, Y., and Xu, W.: A new method for calculating number concentrations of cloud condensation nuclei based on measurements of a three-wavelength humidified nephelometer system, Atmos. Meas. Tech., 11, 895–906, https://doi.org/10.5194/amt-11-895-2018, 2018. a

Twomey, S.: he nuclei of natural cloud formation part II: The supersaturation in natural clouds and the variation of cloud droplet concentration, Geofisica Pura e Applicata, 43, 243–249, https://doi.org/10.1007/BF01993560, 1959. a, b

Vaishya, A., Jennings, S. G., and O'Dowd, C.: Seasonal Variation of the Aerosol Light Scattering Coefficient in Marine Air of the Northeast Atlantic, Adv. Meteorol., 2011, 170490, https://doi.org/10.1155/2011/170490, 2011. a

Varble, A., Nesbitt, S., Salio, P., Avila, E., Borque, P., DeMott, P., McFarquhar, G., van den Heever, S., Zipser, E., Gochis, D., Houze, R., Jensen, M., Kollias, P., Kreidenweis, S., Leung, R., Rasmussen, K., Romps, D., and Williams, C.: Cloud, Aerosol, and Complex Terrain Interactions (CACTI) Field Campaign Report, Tech. rep., DOE Office of Science Atmospheric Radiation Measurement (ARM) Program, https://www.arm.gov/publications/programdocs/doe-sc-arm-19-028.pdf (last access: 19 August 2025), 2019. a

Vié, B., Pinty, J.-P., Berthet, S., and Leriche, M.: LIMA (v1.0): A quasi two-moment microphysical scheme driven by a multimodal population of cloud condensation and ice freezing nuclei, Geosci. Model Dev., 9, 567–586, https://doi.org/10.5194/gmd-9-567-2016, 2016. a

Vogelmann, A. M., McFarquhar, G. M., Ogren, J. A., Turner, D. D., Comstock, J. M., Feingold, G., Long, C. N., Jonsson, H. H., Bucholtz, A., Collins, D. R., Diskin, G. S., Gerber, H., Lawson, R. P., Woods, R. K., Andrews, E., Yang, H.-J., Chiu, J. C., Hartsock, D., Hubbe, J. M., Lo, C., Marshak, A., Monroe, J. W., McFarlane, S. A., Schmid, B., Tomlinson, J. M., and Toto, T.: RACORO Extended-Term Aircraft Observations of Boundary Layer Clouds, B. Am. Meteorol. Soc., 93, 861–878, https://doi.org/10.1175/BAMS-D-11-00189.1, 2012. a

Wang, J., Cubison, M. J., Aiken, A. C., Jimenez, J. L., and Collins, D. R.: The importance of aerosol mixing state and size-resolved composition on CCN concentration and the variation of the importance with atmospheric aging of aerosols, Atmos. Chem. Phys., 10, 7267–7283, https://doi.org/10.5194/acp-10-7267-2010, 2010. a, b

Wang, N., Wang, Y., Lu, C., Zhu, B., Yan, X., Sun, Y., Xu, J., Zhang, J., and Shen, Z.: Interpretable ensemble learning unveils main aerosol optical properties in predicting cloud condensation nuclei number concentration, npj Clim. Atmos. Sci., 8, https://doi.org/10.1038/s41612-025-01181-y, 2025a. a, b

Wang, Y., Zhang, R., Wang, N., Xu, J., Zhang, J., Cui, C., Lu, C., Zhu, B., Sun, Y., and Zhu, Y.: The Role of Relative Humidity in Estimating Cloud Condensation Nuclei Number Concentration Through Aerosol Optical Data: Mechanisms and Parameterization Strategies, Geophys. Res. Lett., 25, https://doi.org/10.1029/2024GL112734, 2025b. a, b, c

Watson, T. B.: Aerosol Chemical Speciation Monitor (ACSM) Instrument Handbook, Tech. Rep. DOE/SC-ARM-TR-196, U.S. Department of Energy, Brookhaven National Laboratory, https://www.osti.gov/servlets/purl/1375336 (last access: 8 July 2025), 2017. a

Wilbourn, E. K., Lacher, L., Guerrero, C., Vepuri, H. S. K., Höhler, K., Nadolny, J., Pantoya, A. D., Möhler, O., and Hiranuma, N.: Measurement report: A comparison of ground-level ice-nucleating-particle abundance and aerosol properties during autumn at contrasting marine and terrestrial locations, Atmos. Chem. Phys., 24, 5433–5456, https://doi.org/10.5194/acp-24-5433-2024, 2024. a

Wilson, T. W., Ladino, L. A., Alpert, P. A., Breckels, M. N., Brooks, I. M., Browse, J., Burrows, S. M., Carslaw, K. S., Huffman, J. A., Judd, C., Kilthau, W. P., Mason, R. H., McFiggans, G., Miller, L. A., Nájera, J. J., Polishchuk, E., Rae, S., Schiller, C. L., Si, M., Vergara Temprado, J., Whale, T. F., Wong, J. P. S., Wurl, O., Yakobi-Hancock, J. D., Abbatt, J. P. D., Aller, J. Y., Bertram, A. K., Knopf, D. A., and Murray, B. J.: A marine biogenic source of atmospheric ice-nucleating particles, Nature, 525, 234–238, https://doi.org/10.1038/nature14986, 2015. a

Wu, Z. J., Zheng, J., Shang, D. J., Du, Z. F., Wu, Y. S., Zeng, L. M., Wiedensohler, A., and Hu, M.: Particle hygroscopicity and its link to chemical composition in the urban atmosphere of Beijing, China, during summertime, Atmos. Chem. Phys., 16, 1123–1138, https://doi.org/10.5194/acp-16-1123-2016, 2016. a

Zhou, S., Guo, F., Chao, C.-Y., Yoon, S., Alvarez, S. L., Shrestha, S., Flynn, J. H. I., Usenko, S., Sheesley, R. J., and Griffin, R. J.: Marine Submicron Aerosols from the Gulf of Mexico: Polluted and Acidic with Rapid Production of Sulfate and Organosulfates, Environ. Sci. Technol., 57, 5149–5159, https://doi.org/10.1021/acs.est.2c05469, 2023. a

Download
Short summary
This study presents a comprehensive analysis of cloud condensation nuclei (CCN) phenomenology across nine observatories in diverse environments. We evaluate CCN prediction methods based on aerosol chemical composition and optical properties, including empirical and machine learning approaches. While simplified chemical schemes provide first-order estimates, incorporating optical data substantially improves CCN prediction accuracy in regions without direct measurements.
Share
Altmetrics
Final-revised paper
Preprint